![]() | Phyton-International Journal of Experimental Botany | ![]() |
DOI: 10.32604/phyton.2022.021884
ARTICLE
Enhancement of Ultrasonic Seed Treatment on Yield, Grain Quality Characters, and 2-Acetyl-1-Pyrroline Biosynthesis in Different Fragrant Rice Genotypes
1State Key Laboratory for Conservation and Utilization of Subtropical Agricultural Bioresources, South China Agricultural University, Guangzhou, 510642, China
2Scientific Observing and Experimental Station of Crop Cultivation in South China, Ministry of Agriculture, Guangzhou, 510642, China
3Guangzhou Key Laboratory for Science and Technology of Aromatic Rice, Guangzhou, 510642, China
*Corresponding Author: Xiangru Tang. Email: tangxr@scau.edu.cn
#These authors have contributed equally to this work
Received: 11 February 2022; Accepted: 11 March 2022
Abstract: Fragrant rice is popular for the good grain quality and special aroma. The present study conducted a field experiment to investigate the effects of ultrasonic seed treatment on grain yield, quality characters, physiological properties and aroma biosynthesis of different fragrant rice genotypes. The seeds of three fragrant rice genotypes were exposed to 1 min of ultrasonic vibration and then cultivated in paddy field. The results of present study showed that ultrasonic seed treatment increased grain yield of all fragrant rice genotypes but the responses of yield formation to ultrasonic were varied with different genotypes. Compared with control, ultrasonic seed treatment increased grain 2-acetyl-1-pyrroline (2-AP, the key component of fragrant rice aroma) content by 13.40%–44.88%. Ultrasonic seed treatment also reduced the crude protein contents in grains. The head rice rate, rice length, chalky rice rate, and chalkiness degree were influenced by ultrasonic for one or two fragrant rice genotypes. The activities of peroxidase and superoxide dismutase were also enhanced due to ultrasonic seed treatment. In conclusion, ultrasonic seed treatment increased grain, regulated grain aroma and quality, and improved stress resistance of fragrant rice varieties.
Keywords: Fragrant rice; yield formation; crop growth; grain quality; 2-acetyl-1-pyrroline
Fragrant rice (Oryza sativa L.) is a series of rice varieties famous worldwide for its good quality characters and ‘popcorn-like’ aroma [1]. Compared with non-fragrant rice, fragrant rice is more attractive to consumers, although with a much higher price in markets [2,3]. In recent years, more and more agronomists and scientists have begun to pay attention to improving the productivity and quality of fragrant rice because of the increased global demand [4,5].
The characteristic aroma is the most valuable trait of fragrant rice, and there are more than 200 volatile compounds were detected in fragrant rice aroma [6]. Many scientists believe that 2-acetyl-1-pyrroline (2-AP) is the key flavor compound of that aroma, and it is found that 2-AP biosynthesis is a very complicated process in fragrant rice tissue [7,8]. The study by Yoshihashi et al. [9] showed that supplementation of proline increased 2-AP content in fragrant rice plants and indicated that proline is one of the precursors of 2-AP. The study by Poonlaphdecha et al. [10] showed that 1-pyrroline is a limiting substrate of 2-AP. Chen et al. [11] discovered that the expression of a gene, BADH2, inhibited that 2-AP formation in fragrant rice.
Recently, many studies showed that grain 2-AP content and yield formation of fragrant rice are substantially affected by some cultivation measures. For example, the study by Luo et al. [12] revealed that foliar application of selenium not only promoted biofortification but also substantially increased 2-AP content of fragrant rice. The research by Mo et al. [7] revealed that more input of nitrogen during the growth duration remarkably increased yield and 2-AP content. Bao et al. [13] demonstrated that alternate wetting and drying water management could remarkably increase grain yield and 2-AP content. The study by Li et al. [14] revealed that rice-duck co-culture facilitated the yield formation and 2-AP biosynthesis of fragrant rice. Moreover, it is found that the different planting seasons substantially affected the grain 2-AP content by varying the climates during the growth duration [15]. It seems that the productivity and grain quality of fragrant rice could be influenced by many factors such as fertilization, water management, and climate condition.
Ultrasonic treatment, which utilizes low to medium-frequency waves (20–100 kHz), is an affordable, simple, safe, and eco-friendly method to improve seed germination and crop growth [16]. The study by Liu et al. [17] showed that ultrasound at 20 kHz improved the growth of the solid-cultured aloe callus and indicated that it was attributed to the mechanical stress and microstreaming by acoustic cavitation. Our previous studies revealed that ultrasonic seed treatment not only enhanced the cadmium tolerance of Brassica napus L. but also promoted the growth and productivity of rice under lead stress [18,19]. The study by Huang et al. [20] revealed that ultrasonic seed treatment reduced the transportation of cadmium to grain in rice plants. In 2014, we conducted a single-season field experiment and discovered that ultrasonic seed treatment enhanced the net photosynthetic rate and copper uptake of fragrant rice [21].
Besides grain yield, quality is an important factor in determining rice producers’ income and commercial value of rice [22]. However, the effects of ultrasonic seed treatment on aroma and other quality characters of fragrant rice remained largely unexplored. Moreover, there need more field experiments with more fragrant rice varieties before the large-scale popularization of ultrasonic technology in agriculture. Hence, we conducted a field experiment in two cropping seasons and three fragrant rice genotypes to investigate the effects of ultrasonic seed treatment on growth, yield formation, grain quality characters, and 2-AP content of fragrant rice.
2.1 Plant Materials, Growth Conditions, and Experiment Design
A field experiment was conducted in Huangjiashan village (22.62°N, 111.57°E), Luoping Town, Yunfu City, Guangdong Province, China, during two rice growing seasons (early season and late season) of 2021. The site enjoys a subtropical monsoon climate. The experimental soil was sandy loam consisting of 16.54 g kg−1 organic matter, 1.26 g kg−1 total nitrogen, 1.47 g kg−1 total phosphorus, and 10.87 mg kg−1 total potassium with a pH of 5.90. Seeds of three fragrant rice genotypes, Xiangyaxiangzhan (Xiangsimiao126 × Xiangyaruanzhan, bred by Taishan Institute of Agricultural Sciences), Meixiangzhan-2 (Lemont × Fengaozhan, bred by Rice Research Institute, Guangdong Academy of Agricultural Sciences), 19xiang (Guguangzhan × Xiangyaxiangzhan, by Rice Research Institute, Guangdong Academy of Agricultural Sciences), were used as plant materials in the present study. All varieties are conventional rice and widely cultivated in South China for fragrant rice production. Their information could be found in China Rice Data Center (https://www.ricedata.cn/variety/). The three varieties were chosen as plant materials because they are the main fragrant rice varieties planted in South China. Such choice in the present study would benefit the popularization of the application of ultrasonic seed treatment in fragrant rice production. In the early season, pre-germinated seeds were sown into seedbeds on March 02, the seedlings were transplanted into the paddy field on April 04, and the harvest was on July 09. In the late season, pre-germinated seeds were sown into seedbeds on July 19, the seedlings were transplanted into the paddy field on August 04, and the harvest was on November 09. Experiments were arranged in a split-plot design with rice varieties as the main plot, and ultrasonic treatment (CK: all seeds were without ultrasonic seed treatment; UT: before germination, the seeds were put into tunnel ultrasonic processor (5ZCG-T6, Golden Rice Agricultural Science & Technology Co., Ltd., Guangzhou, China) in a stainless-steel plate, treated at 50 kHz frequency for 1.0 min at room temperature.) as the subplot with four replicates. The plot size was 24 m2 (4 m × 6 m).
2.2 Crop Management and Plant Sampling
Commercial compound fertilizer (manufactured by Zhongxiang Phosphorus Fertilizer Company, China, total nitrogen contents = 15%, N:P2O5:KCl = 15%:15%:15%) was applied at the same amount of 900 kg ha−1 in each plot. The water management was carried out according to the methods of Pan et al. [23]. Weeds, diseases, and insects were strictly controlled throughout two cropping seasons. At the heading stage (about 60 days after transplanting), fresh leaves were separated from the main plants and stored at −80°C for physio-biochemical analysis. At the harvest, fresh grains were also collected and stored at −80°C for biochemical analysis and the determination of 2-AP and volatile compounds.
2.3 Determination of Yield and Yield Components
At harvest, the effective panicle number of ten representative plants was recorded in each plot, and rice grains were harvested from three sampling areas (1.00 m2) in each plot and then manually threshed to determine the grain yield with the standard grain moisture content adjusted to 14%. Six rice plants in each plot were also collected to measure the 1000-grain weight, seed-setting rate and grain number per panicle according to the methods of Yang et al. [22].
2.4 Determination of the Milling, Nutrient, and Appearance Quality
Before grain quality evaluation, the grain samples were air-dried to 12%–13% of moisture content and stored for at least three months. 210 g rice grains from each treatment were taken from storage, and the brown rice rate was measured and calculated with a rice huller (Jiangsu, China). The milled rice and head rice rates were measured and calculated using a Jingmi testing rice grader (Zhejiang, China). The length, width, chalky rice rate, and chalkiness degree of head rice were estimated by scanner (MRS-9600TFUL, Shanghai Zhongjing Technology Co., Ltd., Shanghai, China) and rice appearance quality analysis and detection system (Hangzhou Wanshen Testing Technology Co., Ltd., Hangzhou, Zhejiang, China). The crude protein and amylose content were determined using the Infratec-1241 grain analyzer (FOSS-TECATOR, HOGANAS, Sweden).
2.5 Determination of 2-AP and Other Volatile Components Contents
The grain 2-AP content was determined according to the methods of Mo et al. [2] by synchronization distillation and extraction method (SDE) combined with GCMS-QP 2010 Plus (Shimadzu Corporation, Japan) and expressed as μg kg−1.
2.6 Determination of Proline, 1-Pyrroline, and Methylglyoxal Contents
The determination of proline was carried out according to the methods of Mostofa et al. [24] with sulfosalicylic for extraction and acidic-ninhydrin for chromogenic reaction. The absorbance was read at 520 nm, and proline content was expressed as μg g−1. The determination of methylglyoxal content was carried out according to the methods of Banu et al. [25]. In a total volume of 1 mL, 250 μL of 7.2 mM 1,2-diaminobenzene, 100 μL of 5 M perchloric acid, and 650 μL of the neutralized supernatant were added in that order. The absorbance of the derivative was read at 336 nm. The determination of 1-pyrroline content was carried out according to the methods of Luo et al. [8]. Samples (0.5 ml) of the reaction mixtures were mixed with 1 ml of 0.01 M o-amino benzaldehyde (in 0.02 M phosphate buffer, pH 7.0), 1 ml of 0.2 M phosphate buffer, pH7.0, and water to give a total volume of 3 ml. The mixtures were left at room temperature for 30 min, and the 1-pyrroline content was calculated from the E430, assuming ε = 1860 cm−l.
2.7 Determination of Peroxidase (POD EC 1.11.1.7), Catalase (CAT, EC 1.11.1.6), Superoxide (SOD, EC 1.15.1.1) Activities, and Malondialdehyde (MDA) Contents
The POD activity was determined according to the methods of Kong et al. [26]. The Enzyme extract was reacted with 0.3% H2O2% and 0.2% guaiacol in phosphate buffer (pH 7.0). The absorbance was read at 470 nm. One POD unit of enzyme activity was defined as the absorbance increase because of guaiacol oxidation. The determination of SOD and CAT activities was carried out according to the methods of Mostofa et al. [24] and expressed as U g−1 min−1. The determination of MDA content was carried out according to the methods of Yiğit et al. [27]. After reacting with thiobarbituric acid at a boiling water bath for 20 min, the absorbance of the supernatant was read at 532 nm, 600 nm, and 450 nm. The final result of MDA was expressed as μmol g−1.
Analysis of variance was performed with Statistix 8.1 (Analytical Software, Tallahassee, FL, USA), and the means of treatments were compared based on the least significant difference (LSD) test at the 0.05 probability level. The figures were made using SigmaPlot 12.5 (Systat Software Inc., California, USA).
3.1 Grain Yield and Yield Components
Table 1 shows different fragrant rice genotypes’ grain yield and yield components in two cropping seasons. In the early season, compared with CK, UT treatment increased grain yield by 20.30%, 6.41%, and 8.98% for Xiangyaxiangzhan, Meixiangzhan-2, and 19xiang, respectively, although the difference for Meixiangzhan-2 was insignificant. In the late season, compared with CK, UT treatment increased grain yield by 42.83%, 8.18%, and 4.76% for Xiangyaxiangzhan, Meixiangzhan-2, and 19xiang, respectively, although the difference for 19xiang was insignificant. The higher grain number per panicle was recorded in UT treatment than CK except for 19xiang in the late season. Compared with CK, UT treatment also significantly increased 1000-grain weight for Xiangyaxiangzhan and 19xiang in the late season.

3.2 Grain Milling and Nutrient Quality
Table 2 shows different fragrant rice genotypes’ grain milling and nutrient quality in two cropping seasons. Compared with CK, UT treatment significantly increased the head rice rate for Xiangyaxiangzhan in the early and late seasons. 13.92%, 13.28%, and 15.44% lower crude protein contents were recorded in UT treatment than CK for Xiangyaxiangzhan, Meixiangzhan-2, and 19xiang, respectively in the early season, and 12.08%, 1.94%, and 4.91% lower crude protein contents were recorded in UT treatment than CK for Xiangyaxiangzhan, Meixiangzhan-2, and 19xiang, respectively in late season. Moreover, compared with CK, UT treatment slightly and insignificantly increased amylose content for three fragrant rice varieties in both seasons.

Table 3 shows different fragrant rice genotypes’ grain milling and nutrient quality in two cropping seasons. Compared with CK, UT treatment significantly decreased chalky rice rate and chalkiness degree for 19xiang in the late season. Higher rice length was recorded in UT treatment than CK for Xiangyaxiangzhan and 19xiang, while lower rice length was recorded in UT treatment than CK for Meixiangzhan-2 in early and late seasons, although the differences were insignificant. There was no substantial difference between UT treatment and CK in rice width for three fragrant rice genotypes in both seasons.

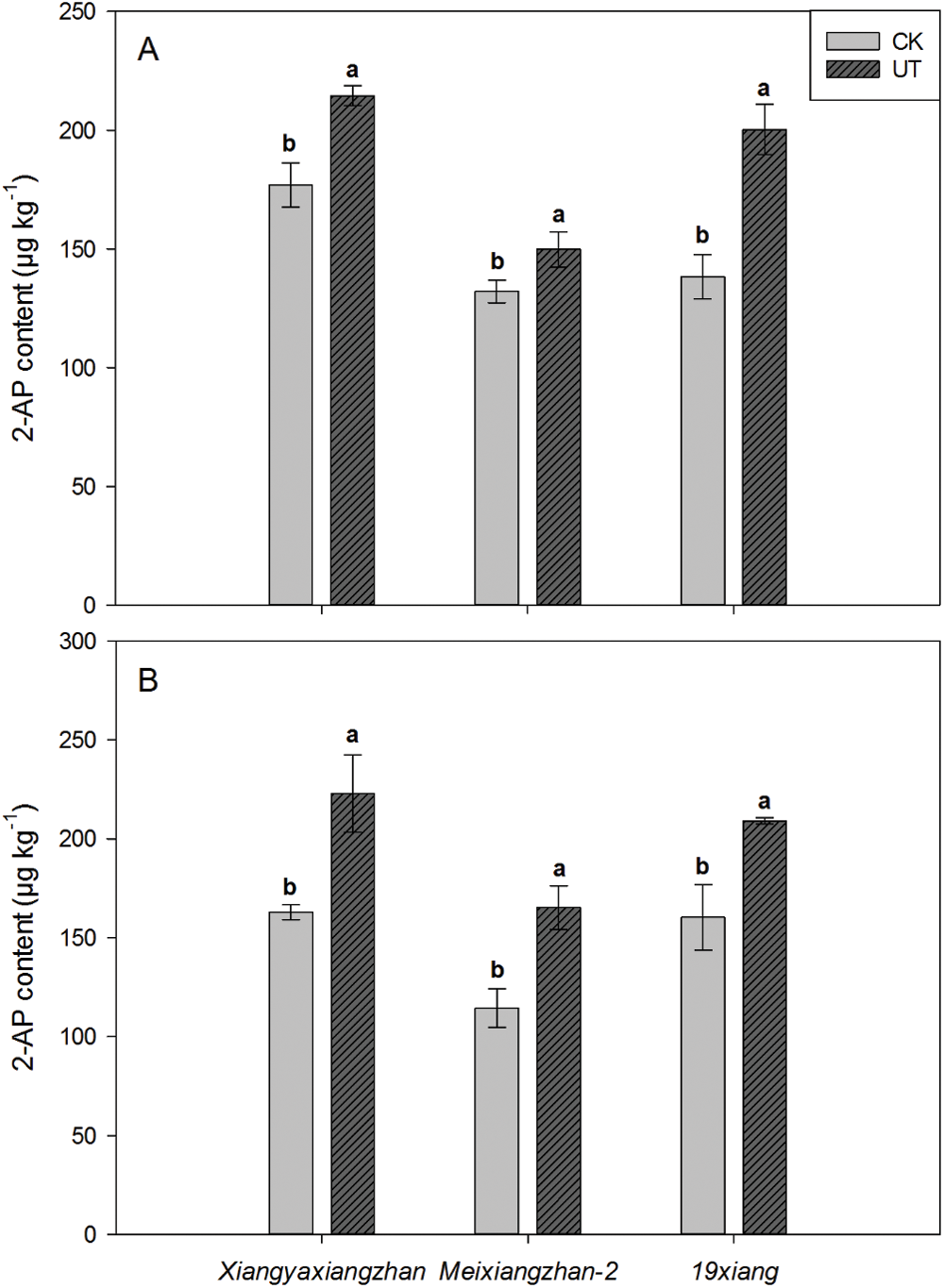
Fig. 1 shows the grain 2-AP content of different fragrant rice genotypes in two cropping seasons. In the early season, compared with CK, UT treatment significantly increased 2-AP content by 21.26%, 13.40%, and 44.88% for Xiangyaxiangzhan, Meixiangzhan-2, and 19xiang, respectively. In the late season, compared with CK, UT treatment significantly increased 2-AP content by 36.74%, 44.39%, and 30.45% for Xiangyaxiangzhan, Meixiangzhan-2, and 19xiang, respectively.

Figure 1: Effects of ultrasonic seed treatment on grain proline content of different fragrant rice genotypes. A for the early season; B for the late season; Means sharing a common letter do not differ significantly at P ≤ 0.05 according to the least significant difference (LSD) test
3.5 Proline, 1-Pyrroline, and Methylglyoxal Contents
Fig. 2 shows the grain 2-AP content of different fragrant rice genotypes in two cropping seasons. Compared with CK, UT treatment significantly reduced grain proline content by 33.35%, 12.49%, and 21.05% for Xiangyaxiangzhan, Meixiangzhan-2, and 19xiang in the early season, and by 18.61%, 42.13%, and 30.68% for Xiangyaxiangzhan, Meixiangzhan-2, and 19xiang in late season, respectively. Higher 1-pyrroline content was recorded in UT treatment than CK for three fragrant rice varieties in both seasons, although the differences for 19xiang in the early season were insignificant. There was no significant difference between UT treatment and CK in methylglyoxal content.

Figure 2: Effects of ultrasonic seed treatment on grain contents of proline, 1-pyrroline, and methylglyoxal of different fragrant rice genotypes. A, C, and E for the early season; B, D, and F for the late season; Means sharing a common letter do not differ significantly at P ≤ 0.05 according to the least significant difference (LSD) test
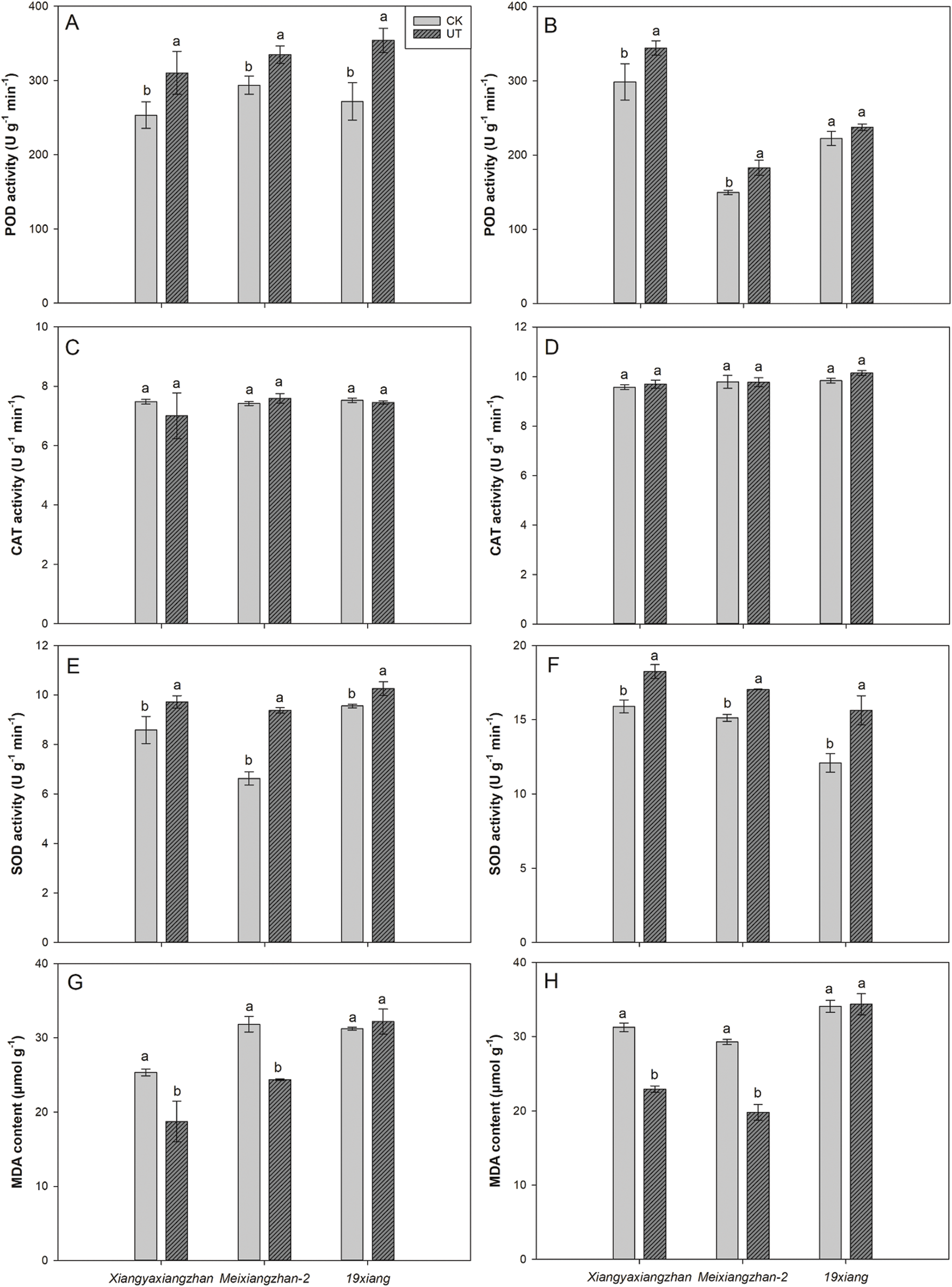
3.6 Antioxidant Enzymes Activities and MDA Content
Fig. 3 shows the activities of POD, CAT, SOD, and MDA content of different fragrant rice genotypes in two cropping seasons. Higher POD activity was recorded in UT treatment than CK for three fragrant rice genotypes in early and late seasons, although the difference for 19xiang in the late season was insignificant. Compared with CK, UT treatment significantly enhanced SOD activity by 13.20%, 41.56%, and 7.35% for Xiangyaxiangzhan, Meixiangzhan-2, and 19xiang in the early season, and by 14.81%, 12.68%, and 29.30% for Xiangyaxiangzhan, Meixiangzhan-2, and 19xiang in late season, respectively. There was no substantial difference between UT treatment and CK in CAT activity. Lower MDA content was recorded in UT treatment than CK for Xiangyaxiangzhan and Meixiangzhan-2 in both seasons.

Figure 3: Effects of ultrasonic seed treatment on activities of POD, CAT, SOD, and MDA content of different fragrant rice genotypes. A, C, E, and G for the early season; B, D, F, and H for the late season; Means sharing a common letter do not differ significantly at P ≤ 0.05 according to the least significant difference (LSD) test
The present study revealed the application potential of ultrasonic in fragrant rice production by showing the benefits of ultrasonic seed treatment on yield formation and grain quality characters of different fragrant rice genotypes. Compared with CK, UT treatment increased the grain yield of three fragrant rice varieties by 4.76%–42.83% across two cropping seasons. Our results were consistent with the study by Mo et al. [21]. The improvement in yield was attributed to the increased grain number per panicle for three fragrant rice varieties. However, we observed that the roles of ultrasonic seed treatment on yield formation of fragrant rice were affected by cropping seasons and varied with genotypes. For example, ultrasonic seed treatment significantly increased seed-setting rate and 1000-grain weight for Xiangyaxiangzhan in the late season but had no significant effect in the early season. The differences in the improvement of ultrasonic seed treatment on yield formation might be affected by the climate conditions. The growth period of fragrant rice varieties in the present study was about 120 days, and the microclimate of the paddy field could be complicitly varied across days and months [28]. The study by Yang et al. [29] showed that the alteration of microclimate had substantial effects on rice agronomic performance. The responses of yield formation of different fragrant rice genotypes to ultrasonic seed treatment also were slightly different. Overall, ultrasonic seed treatment had substantial effects on promoting the yield formation of fragrant rice varieties.
In the present experiment, we observed that ultrasonic seed treatment significantly reduced the grain protein content of three fragrant rice varieties in both cropping seasons. Our results were inconsistent with the study of Mo et al. [21], which showed that ultrasonic seed treatment has no effect on protein content. The differences might be attributed to the ultrasonic frequency and treating time. Normally, rice grains are composed of 80%–85% starch, 4%–10% protein, 1% lipid, and 10% moisture. Many factors contribute to rice grain quality, including the content of starch, the fine structure of amylopectin, and the interactions of starch with proteins, lipids, and polysaccharides that do not originate from starch [30]. The study by Zhang et al. [31] showed that high amylose content would cause a higher hardness of cooked rice. Lyon et al. [32] indicated that the harder cooked rice was attributed to high protein content. The research by Tsukaguchi et al. [33] also showed that protein content influences the texture of cooked rice, increases hardness, and reduces stickiness. Our findings showed that ultrasonic seed treatment substantially reduced grain protein content of three fragrant rice genotypes without affecting the amylose content, which indicated that ultrasonic seed treatment could make better texture with the lower hardness of cooked fragrant rice.
2-AP is the key component of fragrant rice aroma. In the present experiment, we observed that ultrasonic seed treatment substantially increased grain 2-AP content of three fragrant rice genotypes. Our results also showed that reduced the proline content and increased 1-pyrroline content, which indicated that ultrasonic seed treatment enhanced 2-AP biosynthesis by promoting the conversion from proline to 1-pyrroline in fragrant rice grains.
In addition, we observed that ultrasonic seed treatment not only enhanced the activities of enzymes, including POD and SOD, but also reduced MDA content (except for 19xiang) in fragrant rice leaves. It is thought that MDA production is a sign of oxidative stress, which affects the structure and function of intercellular and intracellular membranes, resulting in increased ion leakage through cell membranes [18,19]. The decreased MDA content indicated that ultrasonic seed treatment improved the conditions of intercellular and intracellular membranes, and it might be attributed to the enhancement of POD and SOD activities. POD and SOD are the key enzymes in eliminating reactive oxygen and alleviating oxidative damage in plant tissue [34]. Our results were consistent with the study by Mo et al. [21]. As mentioned above, the microclimate conditions in paddy fields are complicated, and the rice plants would face irregular stress such as transient extreme temperature, strong wind, and so on. Our results agreed with our previous studies and indicated that ultrasonic seed treatment could enhance the stress resistance of rice plants [19,20].
In general, ultrasonic seed treatment substantially affects fragrant rice varieties’ growth, yield formation, grain quality, and physiological properties. The study by Huang et al. [20] indicated that mechanical agitation and physical effects were generated from acoustic cavitation led to ultrasound waves inducing bioeffects on plant cells. In the present study, we observed that ultrasonic seed treatment altered the activities of POD and SOD while the enhancement of 2-AP content also indicated the possible changes of related enzymes. Such regulations might be attributed to the changes of gene expression or/and enzyme structure. In order to reveal the mechanism of ultrasonic application of fragrant rice performances, more studies need to be conducted on multiple levels.
Ultrasonic seed treatment increased grain yield of all fragrant rice genotypes, but the responses of yield formation to ultrasonic were varied with different genotypes. Ultrasonic seed treatment reduced the crude protein content and increased the 2-AP content. The increment in 2-AP content was attributed to the conversion form proline. The activities of POD and SOD were also enhanced due to ultrasonic seed treatment. Overall, ultrasonic seed treatment could enhance productivity and stress resistance, increase 2-AP content, and regulate the grain quality of fragrant rice varieties.
Authorship: The authors confirm contribution to the paper as follows: study conception and design: Tang X, Duan M, Mo Z, and Pan S; data collection: Lan R, Wu F, and Lai R; analysis and interpretation of results: Lan R and Wu F; draft manuscript preparation: Lan R. All authors reviewed the results and approved the final version of the manuscript.
Funding Statement: This study was supported by National Natural Science Foundation of China (31971843), The Technology System of Modern Agricultural Industry in Guangdong (2020KJ105) and Guangzhou Science and Technology Project (202103000075). Xiangru Tang received the grants.
Conflicts of Interest: The authors declare that they have no conflicts of interest to report regarding the present study.
1. Wakte, K., Zanan, R., Hinge, V., Khandagale, K., Nadaf, A. et al. (2017). Thirty-three years of 2-acetyl-1-pyrroline, a principal basmati aroma compound in scented rice (Oryza sativa L.A status review. Journal of the Science of Food and Agriculture, 97(2), 384–395. DOI 10.1002/jsfa.7875. [Google Scholar] [CrossRef]
2. Mo, Z., Li, W., Pan, S., Fitzgerald, T. L., Xiao, F. et al. (2015). Shading during the grain filling period increases 2-acetyl-1-pyrroline content in fragrant rice. Rice, 8(1), DOI 10.1186/s12284-015-0040-y. [Google Scholar] [CrossRef]
3. Sakthivel, K., Sundaram, R. M., Shobha Rani, N., Balachandran, S. M., Neeraja, C. N. (2009). Genetic and molecular basis of fragrance in rice. Biotechnology Advances, 27(4), 468–473. DOI 10.1016/j.biotechadv.2009.04.001. [Google Scholar] [CrossRef]
4. Hui, S., Li, H., Mawia, A. M., Zhou, L., Cai, J. et al. (2022). Production of aromatic three-line hybrid rice using novel alleles of BADH2. Plant Biotechnology Journal, 20(1), 59–74. DOI 10.1111/pbi.13695. [Google Scholar] [CrossRef]
5. Ghosh, M., Gorain, J., Pal, A. K., Saha, B., Chakraborti, P. et al. (2021). Study of seed morphology and influence of ageing and storage conditions on germination and seedling vigour of non-basmati aromatic rice. Journal of Stored Products Research, 93(5), 101863. DOI 10.1016/j.jspr.2021.101863. [Google Scholar] [CrossRef]
6. Champagne, E. I. (2008). Rice aroma and flavor: A literature review. Cereal Chemistry, 85(4), 447–456. DOI 10.1094/CCHEM-85-4-0445. [Google Scholar] [CrossRef]
7. Mo, Z., Li, Y., Nie, J., He, L., Pan, S. et al. (2019). Nitrogen application and different water regimes at booting stage improved yield and 2-acetyl-1-pyrroline (2AP) formation in fragrant rice. Rice, 12(1), 74. DOI 10.1186/s12284-019-0328-4. [Google Scholar] [CrossRef]
8. Luo, H., Duan, M., Kong, L., He, L., Chen, Y. et al. (2021). The regulatory mechanism of 2-acetyl-1-pyrroline biosynthesis in fragrant rice (Oryza sativa L.) under different soil moisture contents. Frontiers in Plant Science, 12. DOI 10.3389/fpls.2021.772728. [Google Scholar] [CrossRef]
9. Yoshihashi, T., Huong, N. T. T., Inatomi, H. (2002). Precursors of 2-acetyl-1-pyrroline, a potent flavor compound of an aromatic rice variety. Journal of Agricultural and Food Chemistry, 50(7), 2001–2004. DOI 10.1021/jf011268s. [Google Scholar] [CrossRef]
10. Poonlaphdecha, J., Gantet, P., Maraval, I., Sauvage, F., Menut, C. et al. (2016). Biosynthesis of 2-acetyl-1-pyrroline in rice calli cultures: Demonstration of 1-pyrroline as a limiting substrate. Food Chemistry, 197, 965–971. DOI 10.1016/j.foodchem.2015.11.060. [Google Scholar] [CrossRef]
11. Chen, S., Yang, Y., Shi, W., Ji, Q., He, F. et al. (2008). Badh2, encoding betaine aldehyde dehydrogenase, inhibits the biosynthesis of 2-acetyl-1-pyrroline, a major component in rice fragrance. The Plant Cell, 20(7), 1850–1861. DOI 10.1105/tpc.108.058917. [Google Scholar] [CrossRef]
12. Luo, H., He, L., Du, B., Pan, S., Mo, Z. et al. (2020). Biofortification with chelating selenium in fragrant rice: Effects on photosynthetic rates, aroma, grain quality and yield formation. Field Crops Research, 255, 107909. DOI 10.1016/j.fcr.2020.107909. [Google Scholar] [CrossRef]
13. Bao, G., Ashraf, U., Wang, C., He, L., Wei, X. et al. (2018). Molecular basis for increased 2-acetyl-1-pyrroline contents under alternate wetting and drying (AWD) conditions in fragrant rice. Plant Physiology and Biochemistry, 133, 149–157. DOI 10.1016/j.plaphy.2018.10.032. [Google Scholar] [CrossRef]
14. Li, M., Li, R., Liu, S., Zhang, J., Luo, H. et al. (2019). Rice-duck co-culture benefits grain 2-acetyl-1-pyrroline accumulation and quality and yield enhancement of fragrant rice. The Crop Journal, 7(4), 419–430. DOI 10.1016/j.cj.2019.02.002. [Google Scholar] [CrossRef]
15. Kong, L., Luo, H., Mo, Z., Pan, S., Liu, Z. et al. (2020). Grain yield, quality and 2-acetyl-1-pyrroline of fragrant rice in response to different planting seasons in South China. Phyton-International Journal of Experimental Botany, 89(3), 705–714. DOI 10.32604/phyton.2020.010953. [Google Scholar] [CrossRef]
16. Teixeira Da Silva, J. A., Dobránszki, J. (2014). Sonication and ultrasound: Impact on plant growth and development. Plant Cell, Tissue and Organ Culture (PCTOC), 117(2), 131–143. DOI 10.1007/s11240-014-0429-0. [Google Scholar] [CrossRef]
17. Liu, Y., Takatsuki, H., Yoshikoshi, A., Wang, B., Sakanishi, A. (2003). Effects of ultrasound on the growth and vacuolar H+-ATPase activity of aloe arborescens callus cells. Colloids and Surfaces B: Biointerfaces, 32(2), 105–116. DOI 10.1016/S0927-7765(03)00150-4. [Google Scholar] [CrossRef]
18. Rao, G., Huang, S., Ashraf, U., Mo, Z., Duan, M. et al. (2019). Ultrasonic seed treatment improved cadmium (Cd) tolerance in Brassica napus L. Ecotoxicology and Environmental Safety, 185, 109659. DOI 10.1016/j.ecoenv.2019.109659. [Google Scholar] [CrossRef]
19. Rao, G., Ashraf, U., Huang, S., Cheng, S., Abrar, M. et al. (2018). Ultrasonic seed treatment improved physiological and yield traits of rice under lead toxicity. Environmental Science and Pollution Research, 25(33), 33637–33644. DOI 10.1007/s11356-018-3303-5. [Google Scholar] [CrossRef]
20. Huang, S., Rao, G., Ashraf, U., Deng, Q., Dong, H. et al. (2021). Ultrasonic seed treatment improved morpho-physiological and yield traits and reduced grain Cd concentrations in rice. Ecotoxicology and Environmental Safety, 214, 112119. DOI 10.1016/j.ecoenv.2021.112119. [Google Scholar] [CrossRef]
21. Mo, Z., Liu, Q., Xie, W., Ashraf, U., Abrar, M. et al. (2020). Ultrasonic seed treatment and Cu application modulate photosynthesis, grain quality, and Cu concentrations in aromatic rice. Photosynthetica, 58(3), 682–691. DOI 10.32615/ps.2020.009. [Google Scholar] [CrossRef]
22. Yang, D., Peng, S., Zheng, C., Xiang, H., Huang, J. et al. (2021). Effects of nitrogen fertilization for bud initiation and tiller growth on yield and quality of rice ratoon crop in Central China. Field Crops Research, 272, 108286. DOI 10.1016/j.fcr.2021.108286. [Google Scholar] [CrossRef]
23. Pan, S., Wen, X., Wang, Z., Ashraf, U., Tian, H. et al. (2017). Benefits of mechanized deep placement of nitrogen fertilizer in direct-seeded rice in South China. Field Crops Research, 203, 139–149. DOI 10.1016/j.fcr.2016.12.011. [Google Scholar] [CrossRef]
24. Mostofa, M. G., Rahman, M. M., Siddiqui, M. N., Fujita, M., Tran, L. P. (2020). Salicylic acid antagonizes selenium phytotoxicity in rice: Selenium homeostasis, oxidative stress metabolism and methylglyoxal detoxification. Journal of Hazardous Materials, 394, 122572. DOI 10.1016/j.jhazmat.2020.122572. [Google Scholar] [CrossRef]
25. Banu, M. N. A., Hoque, M. A., Watanabe-Sugimoto, M., Islam, M. M., Uraji, M. et al. (2010). Proline and glycinebetaine ameliorated NaCl stressvia scavenging of hydrogen peroxide and methylglyoxal but not superoxide or nitric oxide in tobacco cultured cells. Bioscience, Biotechnology, and Biochemistry, 74(10), 2043–2049. DOI 10.1271/bbb.100334. [Google Scholar] [CrossRef]
26. Kong, L., Ashraf, U., Cheng, S., Rao, G., Mo, Z. et al. (2017). Short-term water management at early filling stage improves early-season rice performance under high temperature stress in South China. European Journal of Agronomy, 90, 117–126. DOI 10.1016/j.eja.2017.07.006. [Google Scholar] [CrossRef]
27. Yiğit, İ., Atici, Ö. (2021). Seed priming with nitric oxide mitigates exogenous methylglyoxal toxicity by restoring glyoxalase and antioxidant systems in germinating maize (Zea mays L.) seeds. Cereal Research Communications, DOI 10.1007/s42976-021-00208-3. [Google Scholar] [CrossRef]
28. Wu, Y., Guo, C., Sun, Y., Liu, F., Yang, Z. et al. (2021). Relationship between canopy microclimate at grain filling stage and rice quality of directly seeded rice under water and nitrogen interaction. Chinese Journal of Rice Science, 35(3), 269–278 (in Chinese). [Google Scholar]
29. Yang, G., Guo, Z., Ji, H., Sheng, J., Chen, L. et al. (2018). Application of insect-proof nets in pesticide-free rice creates an altered microclimate and differential agronomic performance. PeerJ, 6, e6135. DOI 10.7717/peerj.6135. [Google Scholar] [CrossRef]
30. Balindong, J. L., Ward, R. M., Liu, L., Rose, T. J., Pallas, L. A. et al. (2018). Rice grain protein composition influences instrumental measures of rice cooking and eating quality. Journal of Cereal Science, 79, 35–42. DOI 10.1016/j.jcs.2017.09.008. [Google Scholar] [CrossRef]
31. Zhang, Z., Zhang, S., Yang, J., Zhang, J. (2008). Yield, grain quality and water use efficiency of rice under non-flooded mulching cultivation. Field Crops Research, 108(1), 71–81. DOI 10.1016/j.fcr.2008.03.004. [Google Scholar] [CrossRef]
32. Lyon, B. G., Champagne, E. T., Vinyard, B. T., Windham, W. R., Barton, F. E. et al. (1999). Effects of degree of milling, drying condition, and final moisture content on sensory texture of cooked rice. Cereal Chemistry Journal, 76(1), 56–62. DOI 10.1094/CCHEM.1999.76.1.56. [Google Scholar] [CrossRef]
33. Tsukaguchi, T., Nitta, S., Matsuno, Y. (2016). Cultivar differences in the grain protein accumulation ability in rice (Oryza sativa L.). Field Crops Research, 192, 110–117. DOI 10.1016/j.fcr.2016.04.022. [Google Scholar] [CrossRef]
34. Zhang, H., Qin, Y., Huang, K., Zhan, F., Li, R. et al. (2021). Root metabolite differences in two maize varieties under lead (Pb) stress. Frontiers in Plant Science, 12. DOI 10.3389/fpls.2021.656074. [Google Scholar] [CrossRef]
![]() | This work is licensed under a Creative Commons Attribution 4.0 International License, which permits unrestricted use, distribution, and reproduction in any medium, provided the original work is properly cited. |