![]() | Phyton-International Journal of Experimental Botany | ![]() |
DOI: 10.32604/phyton.2022.021268
ARTICLE
Genome-Wide Identification and Expression Profiling of the Shaker K+ Channel and HAK/KUP/KT Transporter Gene Families in Grape (Vitis vinifera L.)
1College of Agriculture, Key Laboratory of Molecular Module-Based Breeding of High Yield and Abiotic Resistant Plants in Universities of Shandong, Yantai, 264025, China
2Shandong Institute of Sericulture, Yantai, 264002, China
3The Engineering Research Institute of Agriculture and Forestry, Ludong University, Yantai, 264025, China
*Corresponding Author: Zhizhong Song. Email: 3614@ldu.edu.cn
#These authors contributed equally to this work
Received: 05 January 2022; Accepted: 24 February 2022
Abstract: Potassium (K+) is an essential macronutrient for plants to maintain normal growth and development. Shaker-like K+ channels and HAK/KUP/KT transporters are critical components in the K+ acquisition and translocation. In this study, we identified 9 Shaker-like K+ channel (VvK) and 18 HAK/KUP/KT transporter (VvKUP) genes in grape, which were renamed according to their distributions in the genome and relative linear orders among the distinct chromosomes. Similar structure organizations were found within each group according to the exon/intron structure and protein motif analysis. Chromosomal distribution analysis showed that 9 VvK genes and 18 VvKUP genes were unevenly distributed on 7 or 10 putative grape chromosomes. Three pairs of tandem duplicated genes and one pair of segmental duplicated genes were observed in the expansion of the grape VvKUP genes. Gene expression omnibus (GEO) data analysis showed that VvK and VvKUP genes were expressed differentially in distinct tissues. Various cis-acting regulatory elements pertinent to phytohormone responses and abiotic stresses, including K+ deficiency response and drought stress, were detected in the promoter region of VvK and VvKUP genes. This study provides valuable information for further functional studies of VvK and VvKUP genes, and lays a foundation to explore K+ uptake and utilization in fruit trees.
Keywords: Vitis vinifera; Shaker-like K+ channel; HAK/KUP/KT transporter; genome-wide analysis; bioinformatics
Potassium (K+) is an essential macronutrient for plants to maintain crucial roles in a number of biochemical and physiological processes [1–3]. Plants take up K+ from the soil solution via roots surface, which are further transported to the shoot, distributed within cells into different compartments and recycled from source to sink organs by various K+ transport systems, including Shaker-like K+ channels, HAK/KUP/KT transporters, tandem-pore K+ (TPK) channels, HKT transporters, and cation-proton antiporters (CPAs) [3–5].
Shaker-like K+ channels were the first plant K+ channels identified at the molecular level [6]. In Arabidopsis, there are 9 Shaker-like K+ channels, including the inward rectifying K+ channels KAT1, KAT2, AKT1, AKT5 and SPIK, the weak rectifying K+ channel AKT2, the outward-rectifying K+ channels SKOR and GORK, and the regulatory subunit KC1. Recent years, Shaker K+ channel genes have also been identified in tomato [7,8], barley [9], maize [10], rice [11], carrot [12], grape [13,14], ammopoptanthus [15], strawberry [16], pear [17], and osier willow [18]. In addition, HAK/KUP/KT transporters are present in bacteria, fungi, and plants, but not in animals [1,19,20]. The plant HAK/KUP/KT transporter genes were first identified in Arabidopsis [21,22] and barley [23]. Notably, plant genome contains large number of HAK/KUP/KT transporter genes, and there are 13 in Arabidopsis, 15 in strawberry [24], 16 in peach [25,26], 21 in tomato, 27 in rice, 31 in poplar, 57 in Panicum virgatum [27]. These HAK/KUP/KT transporter genes exhibited diverse roles in K+ uptake and translocation, salt tolerance and osmotic potential regulation, root morphology and shoot phenotype regulation [28–30].
Grape (Vitis vinifera L.) is one of the most important fruit crops in the world [31]. In particular, K+ is the most abundant cation within the grape berry, which plays an important role in all grape developmental stages [13,32–35]. Moreover, high K+ in grape berry leads to an excessive neutralization of organic acids, resulting in grape berry with low acidity at harvest, and yielding wines with poor properties [36]. Given the importance of K+ to grape and wine quality, the mechanisms driving the accumulation of this cation though the vine into the berry is worthy of exploration.
In this study, 9 Shaker-like K+ channel (VvK) and 18 HAK/KUP/KT transporters (VvKUP) genes were isolated and characterized in grape, and the detailed gene location, phylogenetic relationships, gene structures and tissue expression profiles were further investigated. This study provides a foundation for further functional study of Shaker-like K+ channels and HAK/KUP/KT transporters in grape.
2.1 Identification and Classification of Putative Grape VvK and VvKUP Genes
Grape genome datasets were downloaded from the Ensembl Plants (http://plants.ensembl.org/index.html). The protein sequences of 9 Shaker K+ channel genes and 13 HAK/KUP/KT transporter genes of Arabidopsis were obtained from the Arabidopsis Information Resource (TAIR) (http://www.arabidopsis.org). BLASTP searches against the grape genome database (http://www.genoscope.cns.fr externe/GenomeBrowser/Vitis/) were performed with the full-length sequences of Arabidopsis Shaker K+ channel and HAK/KUP/KT family genes as queries, respectively. To confirm the existence of the Shaker K+ channel protein domains (PF00520.31, PF00027.29 and PF11834.8) [17] or K+ transporter (PF02705) domains, the candidate proteins were analyzed using Pfam (http://pfam.xfam.org) and Simple Modular Architecture Research Tool (http://smart.embl-heidelberg.de/). To distinguish the candidate grape VvK and VvKUP genes, we named them in accordance with the order of the corresponding chromosomal locations identified from the grape genome database (Table 1). The molecular weights, isoelectric points (pI) and grand average of hydropathicity (GRAVY) of VvK and VvKUP proteins were calculated by the ExPasy website (https://web.expasy.org/protparam/). The subcellualr locations of VvK and VvKUP proteins were predicted by WoLF PSORT (http://www.genscript.com/psort/wolf_psort.html).

2.2 Chromosomal Localization, Phylogenetic Tree and Duplication Events of VvK and VvKUP Genes
The physical chromosomal locations of VvK and VvKUP genes were obtained from the grape genome annotation information. The chromosomal representation of VvK and VvKUP genes were plotted using TBtools software. The phylogenetic tree was generated using MEGA7.0 with the neighbor-joining method, and the bootstrap analysis was set to 1000 replicates. Gene duplication was verified based on two rules: (1) the length of the shorter aligned sequence covered >75% of the longer sequence; and (2) the similarity of the two aligned sequences was >75%. Two genes separated by fewer genes in 100-kb chromosome fragment were considered as tandem duplicated genes [37,38]. The segmental duplicated genes were identified by searching the segmental genome duplications of grape were identified using MCScanX software.
The nonsynonymous substitution ratios (Ka), synonymous substitution ratios (Ks) and Ka/Ks ratios of 6 pairs VvKUP genes were calculated by KaKs_Calculator 2.0 software based on the NG method. The divergence time (T) was calculated as T = Ks/(2 × 6.1 × 10−9) × 10−6 Mya [39]. Values greater than 1 indicates positive selection, values equal to 1 indicate neutral evolution, and values less than 1 indicates purifying selection [40].
2.3 Analysis of VvK and VvKUP Gene Structures and Conserved Motifs
The exon-intron structure of VvK and VvKUP genes was determined by comparing predicted coding sequences with their corresponding full-length sequence using the online program Gene Structure Display Server (GSDS: http://gsds.cbi.pku.edu.cn). According to the amino acid sequence, the motifs of VvK and VvKUP proteins were analyzed by using MEME program (http://meme-suite.org/tools/meme). The optimized parameters were employed as the following: the maximum number of motifs, 20; and the optimum width of each motif, between 6 and 100 residues.
2.4 Cis-Acting Elements Prediction of the Promoter Regions of VvK and VvKUP Genes
The 2000-bp upstream sequence of coding regions of VvK and VvKUP genes were retrieved from the grape genome database and then analyzed on the PlantCARE online server (http://bioinformatics.psb.ugent.be/webtools/plantcare/html/).
2.5 Analysis Tissue-Specific Expression Patterns of VvKs and VvKUPs
The expression profiles of VvK and VvKUP genes were determined in V. vinifera cv ‘Corvina’ (clone48) from different tissues or organs at distinct developmental stages. Microarray data were obtained from the NCBI gene expression omnibus (GEO) datasets under the series entry GSE36128 (https://www.ncbi.nlm.nih.gov/geo/query/acc.cgi) [41,42]. Expression value of each gene in all tested tissues/orgains were quantified by FPKM (fragments per kilobase of transcript per million fragments mapped), and graphically characterized using Multi Experiment Viewer (MeV) software.
2.6 Plant Materials and Treatments
Six-year-old V. vinifera cv. Chardonnay plants grown under standard field conditions were selected from the Key Laboratory of Molecular Module-Based Breeding of High Yield and Abiotic Resistant Plants in Universities of Shandong (Ludong University), Yantai, China. The single shoot stems of V. vinifera cv. Chardonnay tube seedlings were attached to B5 solid medium and cultured under the following conditions: 28°C day 16 h/18°C night 8 h, and a relative humidity ranging from 70%–75%, in the incubator for 35 days. Then, the seedlings were subjected to K+ depletion, 200 mM NaCl, and 10% PEG treatment for 3, 12, or 24 h, respectively. The B5 medium was used as the control conditions. Grape leaves were frozen in liquid nitrogen and stored at −80°C for RNA extraction and gene expression analysis.
2.7 RNA Extraction, cDNA Synthesis and Quantitative Real-Time PCR (qRT-PCR)
Total RNA was extracted from each tissue using Trizol (TAKARA, Dalian, China), following the manufacturer’s instructions. First-strand cDNA was synthesized from 1.0 μg total RNA by using Primer Script RT reagent kit (TAKARA, Dalian, China) according to the manufacturer’s instructions. Specific primers were designed using the BLAST tool against the grape genome (Supplemental Table 1). qRT-PCR analysis was performed with an IQ5 real-time PCR machine (Bio-Rad, Hercules, CA, USA) using SYBR Green (TAKARA, Dalian, China) with three replicates. PCR procedure was conducted as follows: 94°C for 30 s; 94°C for 5 s, 60°C for 15 s, 72°C for 15 s, 40 cycles, followed by melting curve analysis (65°C to 95°C at 0.1°C s−1). The grape UBI gene (Gene code: Loc100259511) was used as the internal control. All reactions were performed in triplicates, and three biological repeats were conducted. The relative transcript level of each gene is calculated using the Normalized Expression method (2−ΔΔCT method).
3.1 Genome-Wide Identification of VvK and VvKUP Genes in Grape
In this present study, a total number of 9 non-redundant Shaker K+ channel and 18 HAK/KUP/KT transporter genes were screened and identified (Table 1). According to their distributions in genome and relative linear orders among the respective chromosome, these genes were entitled as VvK1-9 for Shaker K+ channel genes and VvKUP1-18 for HAK/KUP/KT transporter genes, respectively. The basic information of VvK and VvKUP proteinsare listed in Table 1, including the protein identifier, protein length (aa), molecular weight (KDa), isoelectric point (pIs), and grand average of hydropathicity (GRAVY). In general, the protein length varied from 631 to 898 aa for VvKs and 606 to 833 aa for VvKUPs. Correspondingly, the molecular weight ranged from 72.53 to 101.54 KDa for VvKs and 67.99 to 92.29 KDa for VvKUPs, while the pIs varied from 5.91 to 8 for VvKs and 5.85 to 9.53 for VvKUPs, respectively. The number of transmembrane (TM) segments was 6 for VvKs and 10-12 for VvKUPs. Protein subcellular predication showed that the majority of VvKs and VvKUPs occurred in the plasma membrane.
3.2 Chromosomal Distribution and Duplication of VvK and VvKUP Genes
Notably, there are 2, 1, 2, 1, 1, 1 and 1 VvK genes were located on chromosome chr4, 10, 11, 12, 14, 17 and 18 (Fig. 1), respectively. VvKUP genes were unevenly distributed on 10 of 19 putative grape chromosomes, and no VvKUP genes were located on chr 3, 4, 5, 8, 9, 10, 11, 15, 16 and 18. As shown in Fig. 1, chr1 contained the largest number (5) of VvKUP genes (VvKUP1, VvKUP2, VvKUP3, VvKUP4, and VvKUP5), followed by chr7 (4 genes, i.e., VvKUP8, VvKUP9, VvKUP10, and VvKUP11). VvKUP14 and VvKUP15 were observed on Chr14, whereas only one VvKUP gene was found on chr2 (VvKUP6), chr6 (VvKUP7), chr12 (VvKUP12), chr13 (VvKUP13), chr17 (VvKUP16) and chr19 (VvKUP17). However, the chromosome location of VvKUP18 was still unclear for the incomplete grape genome sequence. Moreover, the lengths of chromosomes can be estimated by the scale on the left. The distribution of VvKUP genes was not random; instead, an enrichment region showed a relatively high density on some chromosomes (like chr1 and chr7) or chromosome fragments (such as the top and the bottom of the chromosome). During the long term of evolution, both tandem duplication and segmental duplication contributes to the generation of gene family [43]. Tandem duplication usually resulted in gene clusters and segmental duplication might lead to scattered family members [43]. Therefore, gene duplication events were also identified for VvK and VvKUP genes. According to the defined criteria, gene duplication events were not observed among VvK genes, while 6 VvKUP genes were predicted to be tandem duplicated genes, as shown in Fig. 1, two and four tandem duplicated genes indicated by green blocks located on chromosome 1 and 7, separately (Fig. 1). Furthermore, only one pair of duplicated segment, VvKUP5/VvKUP14, was identified within the grape genome (Fig. 1). These result indicates that tandem duplication and segmental duplication are both important in the expansion of the VvKUP gene family in grape.

Figure 1: Chromosomal distribution and gene duplications of VvK (A) and VvKUP (B) genes. The tandem duplicated genes are represented by green rectangles, and the segmental duplicated genes are links by line. The scale bars on the left indicated the length (Mb) of grape chromosomes
We also calculated the value of Ka/Ks of segmental genes’ pairs, which could be used as an indicator for the selection pressure of a gene during evolution. Our results showed that the Ka/Ks values of all the predicted VvKUPs were less than 1, indicating that the 6 pairs of VvKUP proteins were under purifying selection pressure. In addition, the divergence time of grape VvKUP genes was also estimated via a divergence rate of 1.5 × 10−8 mutations per Ks site per year [44,45]. In this present study, the divergence time of 8 VvKUP genes was between 3.1391 and 5.3778 MYA (Table 2).

3.3 Phylogenetic Analysis of VvK and VvKUP Proteins
Neighbor-joining phylogenetic trees were constructed by conducting multiple sequence alignments of full-length protein sequences of VvK (Fig. 2A) and VvKUP proteins (Fig. 2B), respectively. In particular, VvK proteins were divided into 5 group, which was more closely related to Arabidopsis than rice. These results showed that 9 grape, 9 Arabidopsis and 11 rice Shaker K+ channel protein sequences were clustered into 5 groups, I–V, which were in accordance with that of Rosaceae and Arabidopsis [17]. In particular, 2 Shaker K+ channel proteins from grape, 3 from Arabidopsis and 2 from rice were clustered within Group I, 1 Shaker K+ channel protein from grape, 2 from Arabidopsis and 3 from rice were clustered within Group II, while VvK6, AtAKT2 and OsAKT2 were closely clustered within Group III, VvK1, AtKAT3/KC1 and 3 OsKCs were clustered within Group IV, and 4 members from grapes, 2 from Arabidopsis and 2 from rice were clustered within Group V.

Figure 2: Phylogenetic relationship analysis. (A) Shaker K+ channels and (B) HAK/KUP/KT transporters homologs are obtained from grape, Arabidopsis and rice. The trees were generated using MEGA7.0 software by the neighbor-joining method. The number next to the branch show the 1000 bootstrap replicates expressed in percentage
A total number of 58 HAK/KUP/KT transporter proteins (including 18 from grape, 13 from Arabidopsis, and 27 from rice) were used to construct the phylogenetic tree, which were mainly classified into 4 groups, I–IV (Fig. 2B). Notably, Group II was the largest that containing 24 HAK/KUP/KT transporter members. In contrast, Group IV had the smallest number (5) of HAK/KUP/KT transporter members.
3.4 Structural Analysis of VvK and VvKUP Genes
Motif analysis showed that 10 conserved motifs were identified in VvK and VvKUP proteins (Fig. 3), and motif logos were also demonstrated in supplemental Fig. 1. The exon and intron structures of VvK and VvKUP genes were also analyzed and visualized by Gene Structure Display Server 2.0. As showed in Fig. 3A and Supplemental Table 2, VvK gene family are divided into 5 groups, according to the phylogenetic tree. Motif analysis showed that 5 of the motifs (Motif 1, 2, 3, 5 and 6) were shared by all of the VvK proteins. Meanwhile, Motif 4 can be found twice in Groups I, III and V, once in Groups II, but was not observed in Group IV. Motif 8 was missing in Group IV and motif 9 was not found in both Group II and IV.

Figure 3: Gene structure and motif composition analysis. Left: Unrooted neighbor-joining phylogenetic tree of VvK (A) and VvKUP (B) proteins. Middle: Motif structure of VvK (A) and VvKUP (B) proteins. Colored boxes indicate different conserved motifs. Right: Exon/intron organization of VvK (A) and VvKUP (B) genes. Exons are shown as yellow boxes, and introns are shown as gray lines
All of VvK and VvKUP genes’ coding sequences (CDS) were disrupted by introns, the VvK genes had 9 to 12 introns, whereas the VvKUP genes contained 5 to 9 introns. In addition, No. 10 and 11, No. 9, and No. 10 introns were specificly observed in Groups I, II and III of VvK genes, respectively. All VvK genes of Group V had 11-12 introns except VvK9, which had 9 introns. There were 5 to 9 introns in VvKUP genes, which were less than that in VvK genes (9 to 12 introns). In particular, 10 VvKUP genes (VvKUP1, 2, 4, 6, 8, 9, 10, 11, 13 and 17) possessed 7 introns, whereas VvKUP3 harbored 5 introns, the differences of gene structure may be due to changes in gene duplication. Although harboring similar exon/intron structures, the length of hese introns mentioned above was quite distinct (Fig. 3B). Especially, VvKUP12 contained the longest intron length (∼44 kb), which was significantly different from the other genes. The protein structures of VvKUP proteins were broadly conserved, and 4 motifs (motifs 1, 3, 8 and 10) are prevalent in all VvKUP proteins (Fig. 3B and Supplemental Table 2). Interestingly, VvKUP12 belonging to the VvKUP protein of Group III missed motif 4, 6 and 7.
Furthermore, VvK and VvKUP genes clustering to the same group usually have similar motif compositions and exon/intron structures (Fig. 3), implying that the function of the VvK and VvKUP proteins within the same groups are similar but there may be functional divergences between different groups.
3.5 Cis-Acting Elements Analysis of VvK and VvKUP Genes
Cis-acting elements prediction showed that all VvKs and VvKUPs possessed cis-acting regulatory element involved in light responsiveness (LRE). 8 VvKs and 16VvKUPs harbored at least 1 stress response-related cis-acting element in their promoter regions (Fig. 4), including, cis-acting element in defense and stress responsiveness (DSR), cis-acting element involved in low-temperature responsiveness (LTR), and MYB binding site involved in drought-inducibility (MBS). For example, 5 VvKs (VvK3/4/6/7/9) and 7 VvKUPs (VvKUP1/2/6/8/11/14/16) harbored MBS element, indicating that they may play crucial roles in response to drought. In addition, phytohormone regulatory elements were also identified in 7 VvKs and all 18 VvKUPs promoter regions, such as cis-acting element involved in the abscisic acid responsiveness (ABRE), cis-acting element involved in gibbllin-responsiveness (GA), cis-acting regulatory element involved in the MeJA-responsiveness (MeJA), auxin responsive element (Auxin), cis-acting element involved in salicylic acid responsiveness (SA). For example, 7 VvKs (VvK1/2/3/4/5/7/8) and 11 VvKUPs (VvKUP1/2/5/6/8/10/11/13/14/15/16/17/18) harbored ABRE element.

Figure 4: Predicted cis-elements in promoter region of VvK and VvKUP genes. Promoter sequences (−2000 bp) of VvK and VvKUP genes are analyzed by PlantCARE. The upstream length of the translation start site can be inferred according to the scale at the bottom. ASI: enhancer-like element involved in anoxic specific inducibility, SR: cis-acting regulatory element involved in seed-specific regulation, ARE: cis-acting regulatory element essential for the anaerobic induction, EE: cis-regulatory element involved in endosperm expression, ME: cis-acting regulatory element related to meristem expression, LRE: cis-acting regulatory element involved in light responsiveness, DSR: cis-acting element in defense and stress responsiveness, LTR: cis-acting element involved in low-temperature responsiveness, MBS: MYB binding site involved in drought-inducibility, ABRE: cis-acting element involved in the abscisic acid responsiveness, GA: cis-acting element involved in gibbllin-responsiveness, MeJA: cis-acting regulatory element involved in the MeJA-responsiveness, Auxin: auxin responsive element, SA: cis-acting element involved in salicylic acid responsiveness
The presence of abiotic stress-responsive elements implies that VvKs and VvKUPs may be regulated by various stresses. In particular, 4 VvKs (VvK1, 3, 4 and 7) and 7 VvKUPs (VvKUP1, 2, 6, 8, 11, 14 and 16) harbored both MBS and ABRE elements, indicating that these genes may play important role in ABA induced drought stresses.
3.6 Tissue-Specific Expression Profiles of VvK and VvKUP Genes
Global transcriptomic data of developmental phases from 54 tested tissues or organs were retrieved from GEO DataSets (GSE36128). Hierarchical clustering was used to visualize the relative expression levels of VvK and VvKUP genes in different tissues (Fig. 5). As shown in Fig. 5, some genes exhibited similar transcript accumulation patterns in different tissues, while other genes showed tissue-specific expression profiles, suggesting the functional divergence of VvK or VvKUP genes during grape growth and development. Notably, VvK1 was ubiquitously high expressed in all tested tissues, especially in roots, and VvK4 was preferentially expressed in roots, stem, buds and seeds. In contrast, VvK3 exhibited the highest expression in stem but quite low in buds, tendril and seeds. In addition, VvK5 and VvK8 were mainly expressed in roots, stem, leaves, rachis and tendril, while VvK2, VvK7 and VvK9 were relatively high expressed in reproductive organs, like pollen, stamen and grape berry.

Figure 5: Hierarchical clustering of the expression profiles of VvK and VvKUP genes in grape. Expression value of each gene in all tested tissues/orgains were quantified by FPKM (fragments per kilobase of transcript per million fragments mapped). Heatmap experiments were performed with Multi Experiment Viewer (MeV) software. The scale denoted the relative expression level. Note: Stem-G, green stem; Stem-W, woody stem; Leaf-Y, young leaf; Leaf-FS, mature leaf; Leaf-S, senescencing leaf; Rachis-FS, rachis fruit set; Rachis-PFS, rachis post-fruit set; Rachis-V, rachis veraison; Rachis-MR, rachis mid-ripening; Rachis-R, rachis ripening; Bud-S, bud swell; Bud-B, bud burst; Bud-AB, bud after-burst; Bud-L, latent bud; Bud-W, winter bud; Tendril-Y, young tendril; Tendril-WD, well developed tendril; Tendril-FS, mature tendril; Inflorescence-Y, young inflorescence; Inflorescence-WD, well developed inflorescence; Flower-FB, flowering begins; Seed-V, seed veraison; Seed-MR, seed mid-ripening; Seed-FS, seed fruit set; Seed-PFS, seed post-fruit set; BerryPericarp-FS, berry pericarp fruit set; BerryPericarp-PFS, berry pericarp post-fruit set; BerryPericarp-V, berry pericarp veraison; BerryPericarp-MR, berry pericarp mid-ripening; BerryPericarp-R, berry pericarp ripening; BerryFlesh-PFS, berry flesh post fruit set; BerryFlesh-V, berry flesh veraison; BerryFlesh-MR, berry flesh mid-ripening; BerryFlesh-R, berry flesh ripening; BerryFlesh-PHWI, berry flesh post-harvest withering I; BerryFlesh-PHWII, berry flesh post-harvest withering II; BerryFlesh-PHWIII, berry flesh post-harvest withering III; BerryPericarp-PHWI, berry pericarp post-harvest withering I; BerryPericarp-PHWII, berry pericarp post-harvest withering II; BerryPericarp-PHWIII, berry pericarp post-harvest withering III; BerrySkin-PFS, berry skin post-fruit set; BerrySkin-V, berry skin veraison; BerrySkin-MR, berry skin mid-ripening; BerrySkin-R, berry skin ripening; BerrySkin-PHWI, berry skin post-harvest withering I; BerrySkin-PHWII, berry skin post-harvest withering II; BerrySkin-PHWIII, berry skin post-harvest withering III
In particular, VvKUP2/9/10 were highly and constantly expressed in all tested tissues, and the highest expression level was observed in roots (VvKUP2) or flowers (VvKUP9 and VvKUP10). Moreover, genes from the same group may have similar expression pattern.
In details, 8 genes (VvKUP7/8/9/10/13/14/15/17) exhibited higher expression in reproductive organs, such as the rachis, pollen, stamen, carpel, petal, grape berry and seeds compared to other tissues, indicating that they may function in flower and berry development. However, VvKUP2/3/4/5/6 were expressed preferentially in the vegetative organs. Among them, VvKUP2/4/5/6 genes were expressed at relatively high levels in the roots, and VvKUP3 was highly expressed in the leaves. Mean-while, VvKUP1/11/16/18 genes showed relative higher expression in grape berry.
3.7 qRT-PCR Analysis of VvK and VvKUP Genes under Different Abiotic Stresses
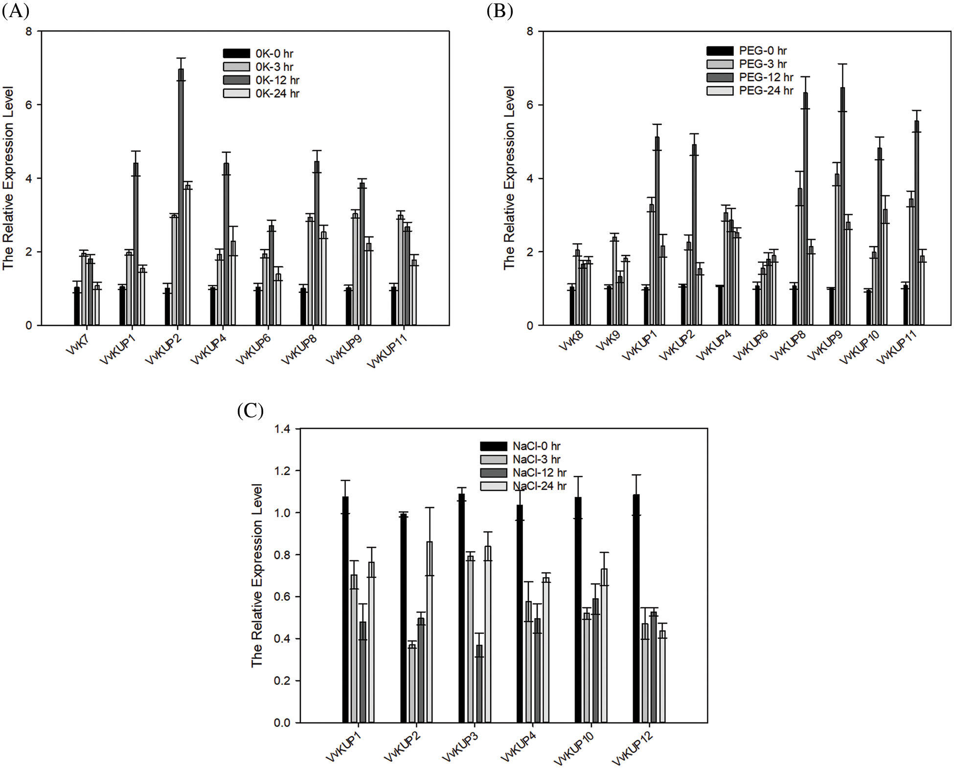
In general, the relative expression level of the VvK and VvKUP genes under K+ deficiency, NaCl, and PEG treatment were checked within 24 h. Notably, all VvK genes showed little difference under K+ deficiency, with the exception of VvK7 that was up-regulated by 1.8-fold during the beginning 12 h but recovered to the normal level at 24 h (Fig. 6A). Compared with the control, the expression level of 7 genes (VvKUP1, 2, 4, 6, 8, 9 and 11) were up-regulated more than 3-fold under K+ deficiency.

Figure 6: qRT-PCR analysis of VvK and VvKUP genes. (A) K+ deficiency. (B) PEG treatment. (C) NaCl treatment. Data represented the mean of three biological replicates. Error bars represented standard deviations from three independent technical replicates
The expression levels of VvK and VvKUP genes varied distinctly under NaCl and PEG treatment. In particular, 2 VvK genes (VvK8 and 9) and 8 VvKUP genes (VvKUP1, 2, 4, 6, 8, 9, 10 and 11) were up-regulated after a 12-h PEG treatment, and none of the genes were down-regulated (Fig. 6B). In total, 6 VvKUP genes (VvKUP1, 2, 3, 4, 10 and 12) were down-regulated under NaCl treatment, while none VvK gene was responsive to NaCl stress (Fig. 6C). The distinct expression patterns may reflect the differential response and regulatory mechanisms of the VvK and VvKUP genes under various abiotic stress conditions.
K+ is an indispensable macronutrient for plant growth and development [1–3]. In particular, Shaker-like K+ channel and HAK/KUP/KT transporters contribute to root K+ acquisition, and the features and functions of Shaker-like K+ channels or HAK/KUP/KT transporters have been identified in different plant species, such as Arabidopsis, rice, wheat, peach, Saccharum, and pear. Notably, K+ is the most abundant cation within grape berry at all developmental stages [46]. However, comprehensive analysis of VvK and VvKUP genes in grape was still unclear. In this present study, we isolated 9 VvK and 18 VvKUP genes from grape and carried out detailed bioinformatic analysis.
Shaker-like K+ channel genes in grape underwent no tandem and segmental duplications, which was in accordance with homologs from 5 Rosaceae plants, including Chinese white pear, apple, peach, strawberry, chinese plum [17]. The members of Shaker-like K+ channel genes in peach and grape as well as in Arabidopsis doesn’t depend on the genome size of different species. Notably, the genome size of peach is 265 Mb and peach possesses only 6 Shaker-like K+ channel genes, grape had a larger genome size (490 Mb) and possesses 9 Shaker-like K+ channel genes. Although the genome size of Arabidopsis (∼125 Mb) is smaller than peach and grape, there are still 9 Shaker-like K+ channel genes in Arabidopsis. It was reported that a linear relationship between the size of the genome and number of genes in prokaryotes [47,48], but do not exist in eukaryotes. There are 5 more KUP genes in grape than in Arabidopsis, which might be caused by the expansion of VvKUP genes in grape genome.
Positive selection accumulates new advantageous mutations and spreads them throughout the population, while purify selection is the process by which deleterious mutations are removed [49]. In this study, the Ka/Ks ration in VvKUP genes was calculated to investigate which selection process drove the evolution of the VvKUP genes. The Ka/Ks ration values of all VvKUP genes were less than 1 (Table 2), suggesting that purify selection may play an important role during the evolution of VvKUP transporters.
The tissue/organ-specific expression patterns usually reflect their corresponding biological functions. The differential expression status of VvK and VvKUP genes among distinct tissues or organs may be associated with specific physiological processes in grape. According to the in silico GEO assessments, 2 VvK (VvK1 and 4) and 4 VvKUP (VvKUP2, 4, 5 and 6) genes were expressed highly in roots, implying that these genes might be involved in root development (Fig. 5). While 4 VvK (VvK2, 6, 7 and 9) and 8 VvKUP (VvKUP7, 8, 9, 10, 13, 14, 15 and 17) genes highly expressed in pollen, stamen, carpel, petal and flowers, indicates that these genes may function in flower development. A great majority of VvK and VvKUP genes were accumulated in different tissues, indicating that functional divergence had been occurred during grape development. Favorably, these findings was in line with previous studies of K+ channels and transports in grape, like VvK1.1 and VvK1.2 [13], VvK2.1 [50], VvK3.1 [34], VvK5.1 [35], VvKUP1 and VvKUP2 [32].
In terms of the transcription level, many ion channel and transporter genes were significantly induced under nutrient depletion, like deficiencies in K+, nitrogen, phosphorus, or sulfur, and such a transcriptional induction may eventually enhance nutrient absorption from the external environment [51]. Transcriptional regulation of K+ transporter genes is one of the most important mechanisms for plant to cope with abiotic stresses. In this study, the expression of 7 VvKUP genes (VvKUP1, 2, 4, 6, 8, 9 and 11) was up-regulated by K+ deficiency (Fig. 6), which was in line with the previous reports, including AtHAK5 [52], AtKUP3 [3], OsHAK1 [53], OsHAK5 [54], HvHAK1 [23], LeHAK5 [55] and CaHAK1 [56] induced to some extent by K+ deficiency. In addition, expression of 8 VvKUP (VvKUP1, 2, 4, 6, 8, 9, 10 and 11) genes were induced by PEG treatment (Fig. 6B). These findings are similar to that of ApKUP3 in alligatorweed [29] and OsHAK1 in rice [57], and ApKUP3 or OsHAK1 overexpression transgenic seedlings exhibited higher tolerance to drought stress [29,57]. The growth medium composition can largely alter the root cell activity due to the changes in root cell membrane potentials [58]. In this study, 6 VvKUP genes (VvKUP1, 2, 3, 4, 10 and 12) were slightly down-regulated under NaCl treatment (Fig. 6C), suggesting that these genes might be involved in the maintaining of root cell membrane potentials.
In contrast to VvKUP genes, the expression of VvK genes were rarely regulated by K+ deficiency, NaCl or PEG treatments, which might be caused by our experiments that mainly focus on the early treatment-expression response stage. The treatment time lasted no more than 24 h, whereas the expression of VvK1.1 and VvK3.1 responded to PEG and NaCl stresses after being treated for 10 days [33,34]. Notably, few K+ channel genes are transcriptionally regulated by K+ deficiency [59]. Nonetheless, our findings were faithfully in accordance with previous propositions that K+ channels are regulated primarily at the posttranslational level, whereas the K+ transporters are regulated primarily at the transcriptional level [4].
Acknowledgement: We thank Shasha Yang for technical support during this study.
Authorship: The authors confirm contribution to the paper as follows: study conception and design: Han Lei, Zhizhong Song; data collection: Han Lei, Junlin Li; analysis and interpretation of results: Han Lei, Junlin Li. Zhizhong Song; draft manuscript preparation: Han Lei, Zhizhong Song. All authors reviewed the results and approved the final version of the manuscript.
Funding Statement: This work was financially supported from grants of the Shandong Provincial Natural Science Foundation Project (Grant No. ZR2021MC086) and National Science Foundation of China (31601819 and 3151743).
Conflicts of Interest: The authors declare that they have no conflicts of interest to report regarding the present study.
1. Lebaudy, A., Véry, A., Sentenac, H. (2007). K+ channel activity in plants: Genes, regulations and functions. FEBS Letters, 581, 2357–2366. DOI 10.1016/j.febslet.2007.03.058. [Google Scholar] [CrossRef]
2. Sustr, M., Soukup, A., Tylova, E. (2019). Potassium in root growth and development. Plants, 8(10), 435. DOI 10.3390/plants8100435. [Google Scholar] [CrossRef]
3. Gierth, M., Maser, P. (2007). Potassium transporters in plants--involvement in K+ acquisition, redistribution and homeostasis. FEBS Letters, 581, 2348–2356. DOI 10.1016/j.febslet.2007.03.035. [Google Scholar] [CrossRef]
4. Wang, Y., Wu, W. H. (2013). Potassium transport and signaling in higher plants. Annual Review of Plant Biology, 64, 451–476. DOI 10.1146/annurev-arplant-050312-120153. [Google Scholar] [CrossRef]
5. Ahmad, I., Maathuis, F. J. (2014). Cellular and tissue distribution of potassium: Physiological relevance, mechanisms and regulation. Journal of Plant Physiology, 171, 708–714. DOI 10.1016/j.jplph.2013.10.016. [Google Scholar] [CrossRef]
6. Pilot, G., Gaymard, F., Mouline, K., Cherel, I., Sentenac, H. (2003). Regulated expression of Arabidopsis shaker K+ channel genes involved in K+ uptake and distribution in the plant. Plant Molecular Biology, 51, 773–787. DOI 10.1023/A:1022597102282. [Google Scholar] [CrossRef]
7. Hartje, S., Zimmermann, S., Klonus, D., Mueller-Roeber, B. (2000). Functional characterisation of LKT1, a K+ uptake channel from tomato root hairs, and comparison with the closely related potato inwardly rectifying K+ channel SKT1 after expression in Xenopus oocytes. Planta, 210, 723–731. DOI 10.1007/s004250050673. [Google Scholar] [CrossRef]
8. Rodenas, R., Garcia-Legaz, M. F., Lopez-Gomez, E., Martinez, V., Rubio, F. et al. (2017). NO3−, PO43− and SO42− deprivation reduced LKT1-mediated low-affinity K+ uptake and SKOR-mediated K+ translocation in tomato and Arabidopsis plants. Physiologia Plantarum, 160, 410–424. DOI 10.1111/ppl.12558. [Google Scholar] [CrossRef]
9. Boscari, A., Clement, M., Volkov, V., Golldack, D., Hybiak, J. et al. (2009). Potassium channels in barley: Cloning, functional characterization and expression analyses in relation to leaf growth and development. Plant Cell Environment, 32, 1761–1777. DOI 10.1111/j.1365-3040.2009.02033.x. [Google Scholar] [CrossRef]
10. Bauer, C. S., Hoth, S., Haga, K., Philippar, K., Aoki, N. et al. (2000). Differential expression and regulation of K+ channels in the maize coleoptile: Molecular and biophysical analysis of cells isolated from cortex and vasculature. Plant Journal, 24, 139–145. DOI 10.1046/j.1365-313X.2000.00844.x. [Google Scholar] [CrossRef]
11. Obata, T., Kitamoto, H. K., Nakamura, A., Fukuda, A., Tanaka, Y. (2007). Rice shaker potassium channel OsKAT1 confers tolerance to salinity stress on yeast and rice cells. Plant Physiology, 144, 1978–1985. DOI 10.1104/pp.107.101154. [Google Scholar] [CrossRef]
12. Formentin, E., Naso, A., Varotto, S., Picco, C., Gambale, F. et al. (2006). KDC2, a functional homomeric potassium channel expressed during carrot embryogenesis. FEBS Letters, 580, 5009–5015. DOI 10.1016/j.febslet.2006.08.017. [Google Scholar] [CrossRef]
13. Cuellar, T., Azeem, F., Andrianteranagna, M., Pascaud, F., Verdeil, J. L. et al. (2013). Potassium transport in developing fleshy fruits: The grape inward K+ channel VvK1.2 is activated by CIPK-CBL complexes and induced in ripening berry flesh cells. Plant Journal, 73, 1006–1018. DOI 10.1111/tpj.12092. [Google Scholar] [CrossRef]
14. Shen, J. Y., Tang, M. L., Yang, Q. S., Gao, Y. C., Liu, W. H. et al. (2020). Cloning, expression and electrophysiological function analysis of potassium channel gene VviSKOR in grape. Scientia Agricultura Sinica, 53(15), 3158–3168 (in Chinese). [Google Scholar]
15. Yang, G. Z., Sentenac, H., Very, A. A., Su, Y. H. (2015). Complex interactions among residues within pore region determine the K+ dependence of a KAT1-type potassium channel AmKAT1. Plant Journal, 83, 401–412. DOI 10.1111/tpj.12891. [Google Scholar] [CrossRef]
16. Garriga, M., Raddatz, N., Very, A. A., Sentenac, H., Rubio-Melendez, M. E. et al. (2017). Cloning and functional characterization of HKT1 and AKT1 genes of Fragaria spp.–Relationship to plant response to salt stress. Journal of Plant Physiology, 210, 9–17. DOI 10.1016/j.jplph.2016.12.007. [Google Scholar] [CrossRef]
17. Chen, G., Chen, Q., Qi, K., Xie, Z., Yin, H. et al. (2019). Identification of shaker K+ channel family members in rosaceae and a functional exploration of PbrKAT1. Planta, 250, 1911–1925. DOI 10.1007/s00425-019-03275-3. [Google Scholar] [CrossRef]
18. Chen, Y. H., Peng, X. F., Cui, J. J., Jiang, J., Zhang, H. X. et al. (2021). Isolation and functional determination of SKOR potassium channel in purple osier willow, Salix purpurea. International Journal of Genomics, 2021, 6669509, 1–77. DOI 10.1155/2021/6669509. [Google Scholar] [CrossRef]
19. Vastermark, A., Wollwage, S., Houle, M. E., Rio, R., Saier, M. H. (2014). Expansion of the APC superfamily of secondary carriers. Proteins, 82, 2797–2811. DOI 10.1002/prot.24643. [Google Scholar] [CrossRef]
20. Corratge-Faillie, C., Jabnoune, M., Zimmermann, S., Very, A. A., Fizames, C. et al. (2010). Potassium and sodium transport in non-animal cells: The Trk/Ktr/HKT transporter family. Cellular and Molecular Life Sciences, 67, 2511–2532. DOI 10.1007/s00018-010-0317-7. [Google Scholar] [CrossRef]
21. Fu, H. H., Luan, S. (1998). AtKuP1: A dual-affinity K+ transporter from Arabidopsis. Plant Cell, 10, 63–73. [Google Scholar]
22. Kim, E. J., Kwak, J. M., Uozumi, N., Schroeder, J. I. (1998). AtKUP1: An Arabidopsis gene encoding high-affinity potassium transport activity. Plant Cell, 10, 51–62. DOI 10.1105/tpc.10.1.51. [Google Scholar] [CrossRef]
23. Santa-Maria, G. E., Rubio, F., Dubcovsky, J., Rodriguez-Navarro, A. (1997). The HAK1 gene of barley is a member of a large gene family and encodes a high-affinity potassium transporter. Plant Cell, 9, 2281–2289. DOI 10.2307/3870585. [Google Scholar] [CrossRef]
24. Gao, Y. C., Yu, C. Y., Zhang, K., Zhang, H. X., Zhang, S. Y. et al. (2021). Identification and characterization of the strawberry KT/HAK/KUP transporter gene family in response to K+ deficiency. Acta Physiologiae Plantarum, 43(1), 1–13. DOI 10.1007/s11738-020-03172-3. [Google Scholar] [CrossRef]
25. Song, Z. Z., Guo, S. L., Zhang, C. H., Zhang, B. B., Ma, R. J. et al. (2015a). KT/HAK/KUP potassium transporter genes differentially expressed during fruit devcelopment, ripening, and postharvest shelf-life of ‘Xiahui6’ peaches. Acta Physiologiae Plantarum, 37, 131. DOI 10.1007/S11738-015-1880-1. [Google Scholar] [CrossRef]
26. Song, Z. Z., Yang, Y., Ma, R. J., Xu, J. L., Yu, M. L. (2015b). Transcription of potassium transporter genes of KT/HAK/KUP family in peach seedlings and responses to abiotic stresses. Biologia Plantarum, 59(1), 65–73. DOI 10.1007/s10535-014-0462-1. [Google Scholar] [CrossRef]
27. Nieves-Cordones, M., Rodenas, R., Chavanieu, A., Rivero, R. M., Martinez, V. et al. (2016). Uneven HAK/KUP/KT protein diversity among angiosperms: Species distribution and perspectives. Frontiers in Plant Science, 127(7), 1–7. DOI 10.3389/fpls.2016.00127. [Google Scholar] [CrossRef]
28. Song, Z. Z., Yang, S. Y., Zhu, H., Jin, M., Su, Y. H. (2014a). Heterologous expression of an alligatorweed high-affinity potassium transporter gene enhances salinity tolerance in Arabidopsis. American Journal of Botany, 101(5), 840–850. DOI 10.3732/ajb.1400155. [Google Scholar] [CrossRef]
29. Song, Z. Z., Yang, S. Y., Zuo, J., Su, Y. H. (2014b). Over-expression of ApKUP3 enhances potassium nutrition status and drought tolerance in transgenic rice. Biologia Plantarum, 58(4), 649–658. DOI 10.1007/s10535-014-0454-1. [Google Scholar] [CrossRef]
30. Li, W., Xu, G., Alli, A., Yu, L. (2018). Plant HAK/KUP/KT K transporters: Function and regulation. Seminars in Cell & Developmental Biology, 74, 133–141. DOI 10.1016/j.semcdb.2017.07.009. [Google Scholar] [CrossRef]
31. Grimplet, J., Adam-Blondon, A. F., Bert, P. F., Bitz, O., Cantu, D. et al. (2014). The grapevine gene nomenclature system. BMC Genomics, 15, 1077. DOI 10.1186/1471-2164-15-1077. [Google Scholar] [CrossRef]
32. Davies, C., Shin, R., Liu, W., Thomas, M., Schachtman, D. (2006). Transporters expressed during grape berry (Vitis vinifera L.) development are associated with an increase in berry size and berry potassium accumulation. Journal of Experimental Botany, 57, 3209–3216. DOI 10.1093/jxb/erl091. [Google Scholar] [CrossRef]
33. Cuellar, T., Pascaud, F., Verdeil, J. L., Torregrosa, L., Adam-Blondon, A. F. et al. (2010). A grape shaker inward K+ channel activated by the calcineurin B-like calcium sensor 1-protein kinase CIPK23 network is expressed in grape berries under drought stress conditions. Plant Journal, 61, 58–69. DOI 10.1111/j.1365-313X.2009.04029.x. [Google Scholar] [CrossRef]
34. Nieves-Cordones, M., Andrianteranagna, M., Cuellar, T., Cherel, I., Gibrat, R. et al. (2019). Characterization of the grapevine shaker K+ channel VvK3.1 supports its function in massive potassium fluxes necessary for berry potassium loading and pulvinus-actuated leaf movements. New Phytologist, 222, 286–300. DOI 10.1111/nph.15604. [Google Scholar] [CrossRef]
35. Villette, J., Cuellar, T., Zimmermann, S. D., Verdeil, J. L., Gaillard, I. (2019). Unique features of the grapevine VvK5.1 channel support novel functions for outward K+ channels in plants. Journal of Experimental Botany, 70, 6181–6193. DOI 10.1093/jxb/erz341. [Google Scholar] [CrossRef]
36. Villette, J., Cuellar, T., Verdeil, J. L., Delrot, S., Gaillard, I. (2020). Grapevine potassium nutrition and fruit quality in the context of climate change. Frontiers in Plant Science, 11, 123. DOI 10.3389/fpls.2020.00123. [Google Scholar] [CrossRef]
37. Wang, Y., Tang, H., Debarry, J. D., Tan, X., Li, J. et al. (2012). MCScanX: A toolkit for detection and evolutionary analysis of gene synteny and collinearity. Nucleic Acids Research, 40, e49. DOI 10.1093/nar/gkr1293. [Google Scholar] [CrossRef]
38. Zhao, P., Wang, D., Wang, R., Kong, N., Zhang, C. et al. (2018). Genome-wide analysis of the potato Hsp20 gene family: Identification, genomic organization and expression profiles in response to heat stress. BMC Genomics, 19, 61. DOI 10.1186/s12864-018-4443-1. [Google Scholar] [CrossRef]
39. Lynch, M., Conery, J. S. (2000). The evolutionary fate and consequences of duplicate genes. Science, 290, 1151–1155. DOI 10.1126/science.290.5494.1151. [Google Scholar] [CrossRef]
40. Yang, Z. (2007). PAML 4: Phylogenetic analysis by maximum likelihood. Molecular Biology and Evolution, 24, 1586–1591. DOI 10.1093/molbev/msm088. [Google Scholar] [CrossRef]
41. Fasoli, M., Dal Santo, S., Zenoni, S., Tornielli, G. B., Farina, L. et al. (2012). The grapevine expression atlas reveals a deep transcriptome shift driving the entire plant into a maturation program. Plant Cell, 24, 3489–3505. DOI 10.1105/tpc.112.100230. [Google Scholar] [CrossRef]
42. Wang, M., Vannozzi, A., Wang, G., Liang, Y. H., Tornielli, G. B. et al. (2014). Genome and transcriptome analysis of the grapevine (Vitis vinifera L.) WRKY gene family. Horticulture Research, 1, 14016. DOI 10.1038/hortres.2014.16. [Google Scholar] [CrossRef]
43. Cannon, S. B., Mitra, A., Baumgarten, A., Young, N. D., May, G. (2004). The roles of segmental and tandem gene duplication in the evolution of large gene families in Arabidopsis thaliana. BMC Plant Biology, 4, 10. DOI 10.1186/1471-2229-4-10. [Google Scholar] [CrossRef]
44. Koch, M. A., Haubold, B., Mitchell-Olds, T. (2000). Comparative evolutionary analysis of chalcone synthase and alcohol dehydrogenase loci in Arabidopsis, Arabis, and related genera (Brassicaceae). Molecular Biology and Evolution, 17, 1483–1498. DOI 10.1093/oxfordjournals.molbev.a026248. [Google Scholar] [CrossRef]
45. Huang, Z., Duan, W., Song, X., Tang, J., Wu, P. et al. (2015). Retention, molecular evolution, and expression divergence of the auxin/indole acetic acid and auxin response factor gene families in brassica rapa shed light on their evolution patterns in plants. Genome Biology and Evolution, 8, 302–316. DOI 10.1093/gbe/evv259. [Google Scholar] [CrossRef]
46. Rogiers, S. Y., Coetzee, Z. A., Walker, R. R., Deloire, A., Tyerman, S. D. (2017). Potassium in the grape (Vitis vinifera L.) berry: Transport and function. Frontiers in Plant Science, 8, 1629. DOI 10.3389/fpls.2017.01629. [Google Scholar] [CrossRef]
47. Lynch, M., Conery, J. S. (2003). The origins of genome complexity. Science, 302, 1401–1404. DOI 10.1126/science.1089370. [Google Scholar] [CrossRef]
48. Konstantinidis, K. T., Tiedje, J. M. (2004). Trends between gene content and genome size in prokaryotic species with larger genomes. Proceeding of National Academy of Sciences, 101, 3160–3165. DOI 10.1073/pnas.0308653100. [Google Scholar] [CrossRef]
49. Ferry, H., Jones, M., Vaux, D. J., Roberts, I. S., Cornall, R. J. (2003). The cellular location of self-antigen determines the positive and negative selection of autoreactive B cells. Journal of Experimental Medicine, 198, 1415–1425. DOI 10.1084/jem.20030279. [Google Scholar] [CrossRef]
50. Pratelli, R., Lacombe, B., Torregrosa, L., Gaymard, F., Romieu, C. et al. (2002). A grapevine gene encoding a guard cell K+ channel displays developmental regulation in the grapevine berry. Plant Physiology, 128, 564–577. DOI 10.1104/pp.010529. [Google Scholar] [CrossRef]
51. Amtmann, A., Blatt, M. R. (2009). Regulation of macronutrient transport. New Phytologist, 181, 35–52. DOI 10.1111/j.1469-8137.2008.02666.x. [Google Scholar] [CrossRef]
52. Ahn, S., Shin, R., Schachtman, D. (2004). Expression of KT/KUP genes in Arabidopsis and the role of root hairs in K+ uptake. Plant Physiology, 134, 1135–1145. DOI 10.1104/pp.103.034660. [Google Scholar] [CrossRef]
53. Chen, G., Hu, Q. D., Luo, L., Yang, T. Y., Zhang, S. et al. (2015). Rice potassium transporter OsHAK1 is essential for maintaining potassium-mediated growth and functions in salt tolerance over low and high potassium concentration ranges. Plant Cell and Environment, 38, 2747–2765. DOI 10.1111/pce.12585. [Google Scholar] [CrossRef]
54. Yang, T. Y., Zhang, S., Hu, Y. B., Wu, F. C., Hu, Q. D. et al. (2014). The role of a potassium transporter OsHAK5 in potassium acquisition and transport from roots to shoots in rice at low potassium supply levels. Plant Physiology, 166, 945–959. DOI 10.1104/pp.114.246520. [Google Scholar] [CrossRef]
55. Wang, Y. H., Garvin, D. F., Kochian, L. V. (2002). Rapid induction of regulatory and transporter genes in response to phosphorus, potassium, and iron deficiencies in tomato roots. Evidence for cross talk and root/rhizosphere-mediated signals. Plant Physiology, 130, 1361–1370. DOI 10.1104/pp.008854. [Google Scholar] [CrossRef]
56. Martinez-Cordero, M. A., Martinez, V., Rubio, F. (2005). High-affinity K+ uptake in pepper plants. Journal of Experimental Botany, 56, 1553–1562. DOI 10.1093/jxb/eri150. [Google Scholar] [CrossRef]
57. Chen, G., Liu, C., Gao, Z., Zhang, Y., Jiang, H. et al. (2017). OsHAK1, a high-affinity potassium transporter, positively regulates responses to drought stress in rice. Frontiers in Plant Science, 8, 1885. DOI 10.3389/fpls.2017.01885. [Google Scholar] [CrossRef]
58. Rubio, F., Fon, M., Rodenas, R., Nieves-Cordones, M., Aleman, F. et al. (2014). A low K+ signal is required for functional high-affinity K+ uptake through HAK5 transporters. Physiologia Plantarum, 152, 558–570. DOI 10.1111/ppl.12205. [Google Scholar] [CrossRef]
59. Buschmann, P. H., Vaidyanathan, R., Gassmann, W., Schroeder, J. I. (2000). Enhancement of Na+ uptake currents, time-dependent inward-rectifying K+ channel currents, and K+ channel transcripts by K+ starvation in wheat root cells. Plant Physiology, 122, 1387–1397. DOI 10.1104/pp.122.4.1387. [Google Scholar] [CrossRef]
![]() | This work is licensed under a Creative Commons Attribution 4.0 International License, which permits unrestricted use, distribution, and reproduction in any medium, provided the original work is properly cited. |