![]() | Phyton-International Journal of Experimental Botany | ![]() |
DOI: 10.32604/phyton.2022.021090
ARTICLE
Effects of Drought Stress on Key Enzymes of Carbon Metabolism, Photosynthetic Characteristics and Agronomic Traits of Soybean at the Flowering Stage under Different Soil Substrates
1College of Agriculture, Northeast Agricultural University, Harbin, 150030, China
2Harbin Academy of Agricultural Sciences, Harbin, 150030, China
*Corresponding Author: Shoukun Dong. Email: shoukundong@163.com
Received: 27 December 2021; Accepted: 03 March 2022
Abstract: Soybean is an important legume food crop, and its seeds are rich in nutrients, providing humans and animals with edible oil and protein feed. However, soybean is sensitive to water requirements, and drought is an important factor limiting soybean yield and quality. This study used Heinong 84 (drought resistant variety) and Hefeng 46 (intermediate variety) as tested varieties planted in chernozem, albic, and black soils. The effects of drought stress on the activities of key enzymes in carbon metabolism and photosynthetic characteristics of soybean were studied during the flowering stage, most sensitive to water. (1) The activities of SS-1, 6PGDH, and G6PDH enzymes in soybean leaves first increased and then decreased under drought stress. The enzyme activity was the highest under moderate drought stress and weakest in the blank group. (2) Drought stress increased Phi2, PhiNO, and Fm in soybean leaves and reached the highest value under severe drought; with the increase in drought stress, PhiNPQ and Fv/Fm of soybean leaves gradually decreased, reaching the lowest under severe drought. (3) With the increase in drought stress, F0 and Fs of soybean leaves showed a single peak curve, and the maximum was at moderate drought. (4) Correlation analysis showed that F0 was greatly affected by varieties and soil types; Fs, F0, and Fm soil varieties had a great influence, and chlorophyll fluorescence parameters were affected differently under drought stress with different drought degrees. (5) Drought stress changed the agronomic traits and yield of soybean. With the increase of drought degree, plant height, node number of main stem, effective pod number, 100-seed weight and total yield decreased continuously. (6) Drought stress affected the dry matter accumulation of soybean. With the increase of drought degree, the dry matter accumulation gradually decreased. Among them, the leaf was most seriously affected by drought, and SD decreased by about 55% compared with CK. Under the condition of black soil, the dry matter accumulation of soybean was least affected by drought.
Keywords: Soybean; drought; chlorophyll fluorescence parameters; agronomic character; key enzymes of carbon metabolism; correlation analysis
Soybean (Glycine max (Linn.) Merr.) originated in China and is one of the main food crops [1] . Soybean grains are rich in nutrients and provide the necessary edible oil and protein feed for humans and animals [2]. Soybeans are more sensitive to water, especially at the flowering stage, and have a higher water demand [3]. Drought has become a crucial factor restricting soybean yield and quality due to northern China’s lack of water resources. As multidimensional stress, drought can cause changes in crop phenotypes, physiology, biochemistry, and molecular level [4]. It leads to metabolic disorders and photosynthesis termination in severe cases, eventually leading to crop death [5]. Carbon metabolism as an important metabolic pathway for soybean growth and development is sensitive to drought stress and closely related to plant growth and development, including photosynthetic sucrose synthesis and the pentose phosphate pathway during respiration [6]. Sucrose and its metabolites provide the energy basis for plant growth and are the main regulatory factors of cell metabolism [7], which play a key role in transporting photosynthetic products [8]. Sucrose synthase (SS-1) is a key enzyme for sucrose synthesis in plant tissues, which can catalyze the conversion of glucose diphosphate and fructose to sucrose. Sucrose has the function of stabilizing protein, and can scavenge reactive oxygen species [9], which plays a regulatory role in plant cells under drought conditions [10]. Dominguez et al. [11] found that SS-1 is involved in regulating abiotic stress. Khan et al. [12] found that sucrose content in plants increased with increasing salt stress. In addition, the pentose phosphate pathway (PPP) can maintain the redox balance between cells when crops are subjected to abiotic stress [12]. Glucose-6-phosphate dehydrogenase (G6PDH) and 6-phosphogluconate dehydrogenase (6PGDH) are the two key rate-limiting enzymes in the PPP pathway, adjust the PPP approach. Khan et al. [12] found that G6PDH and 6PGDH gene expression and enzyme activity increased in plants under salt stress.
Chernozem, albic, and black soil belong to the black soil series, is the main soil type in Northeast China, characterized by a strong humus accumulation process. Studies have shown that, there are some differences in the degree of adaptation of soybean to drought under different soil matrix conditions [13]. Therefore, clarifying the different effects of different soils on soybean under drought conditions can screen out suitable soil for soybean cultivation, which is important in improving production.
Chlorophyll fluorescence is a fast and effective probe for plant photosynthesis [14], which can quickly provide substantial amounts of photosynthetic data without causing damage to plants. As an accurate tool, chl fluorescence parameter analysis has been used to accurately study the effects of various stress factors, such as high and low temperature [15], radiation quality and intensity [16], water stress [17], salinity [18], heavy metals [19], and particulate matter pollution [20]. For most plants, chlorophyll fluorescence parameters such as Fv/Fm, initial fluorescence F0, maximum fluorescence yield Fm, non-photochemical quenching NPQt, and PS II utilization efficiency Phi2 under drought stress can directly reflect the changes in photosynthetic characteristics of plants. Therefore, chlorophyll fluorescence parameters are commonly used to explore drought stress [21].
Presently, there are few systematic reports on the drought stress of soybeans in different soil matrices. In this study, two soybean varieties (Heinong 84 and Hefeng 46) and three soil matrices (chernozem soil, albic soil, and black soil), the effects of drought stress on the key enzyme activities of carbon metabolism and chlorophyll fluorescence characteristics of soybean under different soil conditions were explored in the flowering stage of soybean, which was the most sensitive to water. At the same time, the seed test of soybean was carried out to explore the changes of agronomic traits, yield and dry matter accumulation, so as to provide theoretical basis for exploring the drought resistance cultivation of soybean and the influence of soil on drought resistance of soybean.
2.1 Plant Materials and Treatment Methods
This experiment mainly used Heinong 84 (HN84) and Hefeng 46 (HF46). HN84: Drought-tolerant soybean varieties, sub-limited podding habits, high protein varieties, protein content 42.30% (fat content 19.58%), need ≥ 10°C active accumulated temperature 2400°C. HF46: Medium drought-tolerant soybean varieties, sub-limited podding habits, high oil varieties, fat content 21.28% (protein content 39.75%), need ≥ 10°C accumulated temperature 2382°C [22]. Methods for measuring drought resistance information refer to Wang et al. [22]. Were used in this experiment. Main instruments: Multifunctional plant measuring instrument (MultispeQV2.0, Beijing Huinuored Technology Co., Ltd., Beijing, China); Soil moisture meter ECH2O-TE/EC-TM (EM-50, Decagon, Washington DC, USA). The drought resistance of soybean varieties was determined by drought resistance evaluation at seed germination stage, and the test results are shown in Fig. 1. This study was conducted at Northeast Agricultural University, China. The tested soils were chernozem, albic, and black. To observe and sample conveniently, the plastic bucket for the potted plant was 35 cm in height and 30 cm in diameter. Before the test, the chernozem, albic, and black soils drying treatment. Remove impurities in the soil, the treated soil into the plastic barrel, each barrel put 14 kg soil. Soybean seeds with full-grain and uniform size were selected for sowing, and four plants per pot were fixed after emergence, and soybean plants were kept growing under suitable conditions. The combination of EM-50 and weighing method was used to control water in the experiment to carry out different degrees of drought treatment on potted soybean plants entering the flowering stage (R2 stage).

Figure 1: Evaluation of drought tolerance during seed germination
The experiment was divided into control and treatment groups. The determination method of soil relative water content. According to Dong et al. [23], the soil water content was controlled at the appropriate level by soil weighing method. The control group maintained appropriate water (CK), and the soil water content was 70%–80% of the field capacity. The treatment group was divided into three groups: soil water content of 50%–60% of field capacity marked as mild drought (LD); 40%–50% soil moisture content of field capacity was recorded as moderate drought (MD); and soil water content of 30%–40% of field capacity is marked as severe drought (SD). Each treatment remained stable for three days, and after that, sampling began. At 8:00–9:00 a.m., the inverted second and third soybean leaves were mixed and divided into four replicates, quickly frozen in liquid nitrogen, and stored at –80°C in an ultra-low temperature refrigerator. The contents of organic matter, total nitrogen, total phosphorus, total potassium and field water holding capacity in chernozem soil were 33.45, 2.56, 0.70, 25.44 g/kg and 33.7%; The contents of organic matter, total nitrogen, total phosphorus total potassium and field water holding capacity in albic soil were 32.78, 2.42, 0.74, 22.60 g/kg and 33.6%; The contents of organic matter, total nitrogen, total phosphorus, total potassium and field water holding capacity in black soil were 34.73, 2.68, 0.85, 28.86 g/kg and 35.8%, respectively.
2.2 Determination of Key Enzymes in Carbon Metabolism of Soybean
SS-1 content was determined by decoction method [24], 6PGDH content was determined by Tang et al. [25], G6PDH content was determined by Esposito et al. [26].
2.3 Determination of Photosynthetic Indexes of Soybean
The sunny and windless weather was selected and measured from 11:00 to 13:00 on the sampling day, multi-functional plant measuring instrument, MultispeQV2.0 (Beijing Huinuored Technology Co., Ltd., Beijing, China), photosynthetic indexes of middle leaves of soybean functional leaves (top three leaves) at R2 stage were determined. And each treatment was repeated ten times, taking the average value, the determination temperature is 25–30°C, and the light intensity is greater than 1000 μmol·m−2·s−1. The measurement indexes were as follows: the effective quantum yield (Phi2) of photosynthetic system II, the quantum yield of regulatory energy dissipation (PhiNPQ), the quantum yield of non-regulatory energy dissipation (PhiNO), relative chlorophyll content (relative chlorophyll), maximum fluorescence (Fm), initial fluorescence, initial fluorescence (F0), steady-state fluorescence (Fs), non-photochemical quenching (NPQ), and PSII primary light energy conversion efficiency (Fv/Fm).
2.4 Determination of Dry Matter Accumulation in Soybean
The soybean plants with drought at seedling stage were divided into three parts: leaves, petioles and stems. They were killed at 105°C for 30 min, dried at 80°C to constant weight, and weighed. The dry matter mass of leaves, petioles, stems and plants was obtained after grinding.
2.5 Determination of Agronomic Traits and Yield of Soybean
After the soybean was fully mature, all the potted soybeans were harvested and brought back to the laboratory. The plant height, node number of main stem, effective pod number, 100-seed weight and total yield were measured. Seed test standard reference “Soybean germplasm description specification and data standard” [27].
All data were processed with Microsoft Office Excel 2010, statistical analysis of the data was performed using IBM SPSS software (version 21.0: IBM Corporation, Armonk, NY, USA), figures were produced using OriginPro 2021 (OriginLab Corp., Northampton, MA, USA) software.
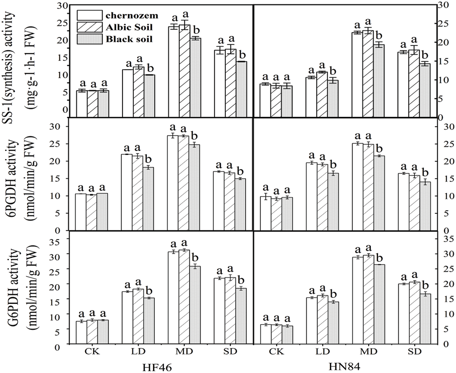
3.1 Effects of Drought Stress on Key Enzymes of Carbon Metabolism under Different Soil Types
As shown in Fig. 2, the effects of drought treatment on the activities of key enzymes in the carbon metabolism of soybean under different soil types showed that with an increase in drought stress, the activities of SS-1, 6PGDH, and G6PDH in soybean leaves first increased and then decreased, reaching the maximum under moderate drought stress and the minimum under suitable water.

Figure 2: Effects of drought stress on key enzymes of carbon metabolism
The SS-1 enzyme activity was the highest under MD condition and the lowest under CK condition. Compared with CK, MD increased by 238.24%, 245.15% and 194.46% in chernozem soil, albic soil and black soil, respectively. The SS-1 enzyme activity of HN84 was higher than that of HF46 in CK and lower than that of HF46 in LD, MD, and SD. After drought treatment, the activities of sucrose synthase in leaves of two soybean varieties were in the order of albic soil > chernozem soil > black soil. There was no significant difference among the three soils under suitable water content, and the differences began to appear after drought treatment. Overall, the SS-1 enzyme activity of the two varieties was highest under albic soil cultivation.
6PGDH activity was the highest under MD condition and the lowest under CK condition. In chernozem soil, albic soil and black soil, MD conditions increased by 158.94%, 164.76% and 131.00% compared with CK conditions, respectively. The 6PGDH enzyme activity of HN84 was lower than that of HF46 in the four treatments. The 6PGDH enzyme activity in the two varieties were in the order, chernozem soil > albic soil > black soil. There was among the three soils the difference began to appear after drought treatment. Under mild, moderate, and severe drought conditions, there were significant indigenous differences among chernozem, albic, and black soils, and there was no significant difference between chernozem and albic soils. In general, the 6PGDH activity of the two varieties was the highest under the cultivation conditions of chernozem soil.
The activity of G6PDH was the highest under MD condition and the lowest under CK condition. In chernozem soil, albic soil and black soil, MD conditions increased by 307.31%, 295.9% and 226.58% compared with CK, respectively. The G6PDH enzyme activity of HN84 was lower than that of HF46 in the four treatments. The G6PDH activity of soybean leaves in the two varieties was of the order: albic soil > chernozem soil > black soil. Under suitable water content, there were differences among the three soils after drought treatment. Under mild, moderate, and severe drought conditions, there were significant indigenous differences among albic, chernozem, and black soils. Overall, the G6PDH activity of the two varieties was highest under albic soil cultivation.
3.2 Effect of Drought Stress on Light Quantum Yield under Different Soil Types
As shown in Fig. 3, with the increase in drought Phi2 and PhiNO, light quantum yield increased gradually and reached the maximum in severe drought, and was increasingly large, and severe drought was significantly higher than its three water statuses. With an increase in the degree of drought, the light quantum yield of PhiNPQ decreased gradually and reached its lowest under severe drought stress, and the differences under various water conditions were different. With the aggravation of drought degree, the decrease in amplitude gradually increased.

Figure 3: Effects of drought stress on light quantum yield under different soil types
With the increase in the degree of drought, Phi2 also increased, reaching a maximum under SD conditions and the lowest under CK conditions. Compared with CK, SD increased by 633.33%, 597.92% and 970.27% in chernozem soils, albic soil and black soil, respectively. The variation of HN84 in the three soils was similar to that of HF46. The increase in HN84 SD compared with MD was significantly lower than that in HF46. At HN84, there was no significant difference in the mild drought. Black soil was significantly higher than albic and chernozem soils at moderate and severe drought, and there was no significant difference between albic and chernozem soils. At HF46, there were significant differences among the three soils under mild, moderate, and severe drought. Overall, the Phi2 of the two varieties was high under black soil cultivation.
With the increase in the degree of drought, PhiNO also increased, reaching a maximum under SD conditions and the lowest under CK conditions. Compared with CK, SD increased by 102.15%, 153.09% and 243.84% in black calcareous soil, albic soil and black soil, respectively. The variation of HN84 in the three soils was similar to that of HF46. HN84, mild drought, albic soil, and black soil were significantly higher than that of black chernozem soil. Moderate drought and albic soil were significantly higher than black soil, chernozem, chernozem soil, and black soil no significant difference. Significant differences among the three soils were observed for HF46 in severe drought, and mild drought had no significant difference among the three soils.In general, PhiNO of the two varieties was high under black soil cultivation conditions.
With the increase in the degree of drought, PhiNPQ decreased, reaching the maximum under CK conditions and the lowest under SD conditions, and the differences under various water conditions were different. With the aggravation of drought degree, the decrease in amplitude gradually increased. The variation of HN84 in the three soils was similar to that of HF46. For HN84, the chernozem was significantly higher than that of albic and black soils, and there was no significant difference between the albic and black soils. For HF46, black chernozem and albic soil values were significantly higher than those of black soil, and there was no significant difference between black chernozem and albic soils. In general, the PhiNPQ of the two varieties was high under black soil cultivation conditions.
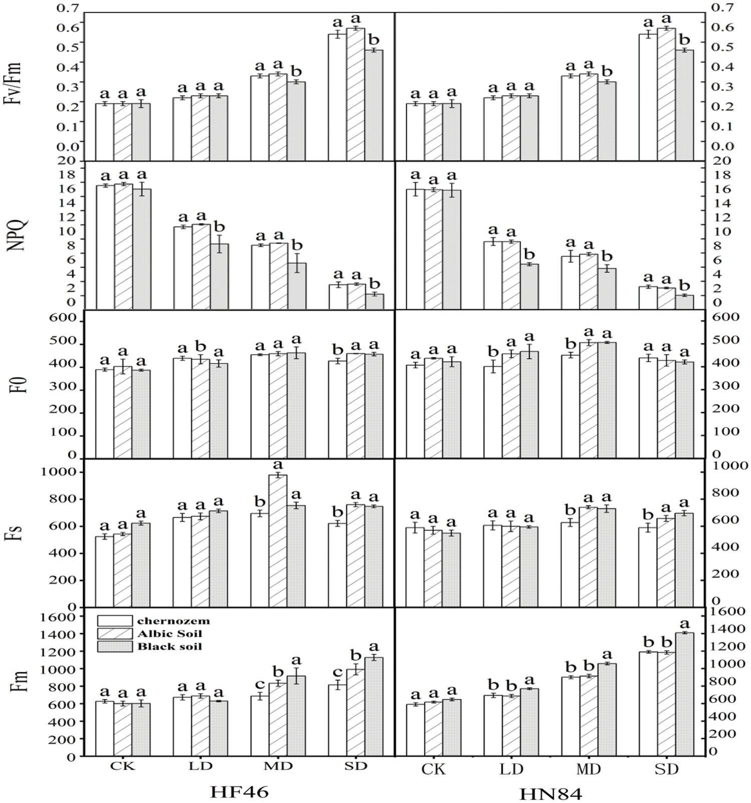
3.3 Effects of Drought Stress on Chlorophyll Fluorescence Parameters under Different Soil Types
As shown in Fig. 4, with the increase in the degree of drought, F0 and Fs showed a unimodal trend, reaching the maximum under moderate drought stress. Fm and Fv/Fm showed an upward trend, reaching the maximum under severe drought conditions; NPQ showed a downward trend, with the highest suitable moisture and the lowest severe drought.

Figure 4: Effects of drought stress on chlorophyll fluorescence parameters under different soil types
With the increase in the degree of drought, soybean F0 first increased and then decreased, reaching a maximum under moderate drought. Compared with CK, MD increased by 16.68%, 13.9% and 19.54% in chernozem soil, albic soil and black soil, respectively. In HN84, F0 was greater than HF46 under CK conditions, and the change in F0 was similar to that of HF46 in three different varieties. There was no significant difference in suitable water content between the two varieties. For HN84, there were significant differences among albic, black, and black chernozem soils under mild and moderate drought, Under severe drought conditions, there were no significant differences among the three soils. HF46, mild drought, albic, and chernozem were significantly higher than black, albic, and chernozem soils, which did not differ significantly. There were no significant differences in the moderate drought. In severe drought, the values of albic and black soils were significantly higher than those of chernozem. Overall, in black soil cultivation conditions, two varieties F0 were high.
With the increase in drought degree, soybean Fs first increased and then decreased, reaching a maximum under moderate drought. Three different soil types of HF46 showed similar patterns, with the maximum under MD and the minimum under CK. In chernozem soil, albic soil and black soil, MD increased by 32.64%, 80.25% and 20.97% compared with CK, respectively. The change in F0 in HN84 was similar to that in HF46, showing a single peak trend, and reached a maximum under moderate drought stress. Under moderate and severe drought conditions, the albic and black soils were significantly higher than those of chernozem, and there was no significant difference between the albic and black soils. Overall, under the condition of black soil cultivation, the F0 of the two varieties was high.
With the increase in drought degree, soybean Fm showed a gradual upward trend, reaching a maximum under severe drought. In the HF46 varieties, in chernozem soil, albic soil and black soil, SD increased by 29.89%, 64.92% and 79.18% respectively compared with CK. The change in Fm in HN84 was similar to that in HF46. The Fm value of HN84 under SD conditions was significantly higher than that under HF46 conditions. For HN84, under mild, moderate, and severe drought, the black soil was significantly higher than that of albic and chernozem soils, and there was no significant difference between albic and chernozem soils. For HF46, there was no significant difference among the three soils under mild drought conditions. Under moderate and severe drought conditions, the order was black soil > albic soil > chernozem soil, and there were significant differences among them. Overall, under black soil cultivation conditions, the Fm of the two varieties was high.
With the increase in the degree of drought, the Fv/Fm of soybean showed a decreasing trend, and Fv/Fm was the smallest under severe drought. Under CK conditions, Fv/Fm was higher than the other three water states. Among the HF46 varieties. In chernozem soil, albic soil and black soil, LD increased by 120.69%, 131.03% and 93.10% compared with CK, respectively. The change in Fv/Fm in HN84 was similar to that in HF46, and the value of Fv/Fm gradually decreased with increasing drought stress. The value of Fv/Fm in HN84 under CK was significantly higher than that under HF46. Concurrently, there was no significant difference between the three soils of the two varieties under suitable moisture and mild drought conditions. Under moderate and severe drought conditions, the order was albic soil > chernozem soil > black soil. Overall, the Fv/Fm of the two soybean varieties was high under the conditions of albic soil cultivation.
With the increase in the degree of drought, the NPQ of soybean gradually decreased, reaching its lowest under severe drought and the highest under blank conditions. In HF46, in chernozem soil, albic soil and black soil, SD increased by 395.48%, 388.98% and 664.13% compared with CK, respectively. The NPQ values of the three soils in HN84 were lower than those in HF46, and the NPQ values under different drought conditions were similar to those in HF46. Simultaneously, there was no significant difference among the three soils under suitable water content for the two varieties, and the difference began to appear after drought treatment. Under mild, moderate, and severe drought conditions, the order was albic soil > chernozem soil > black soil. Overall, the NPQ of the two varieties was high under the albic soil cultivation.
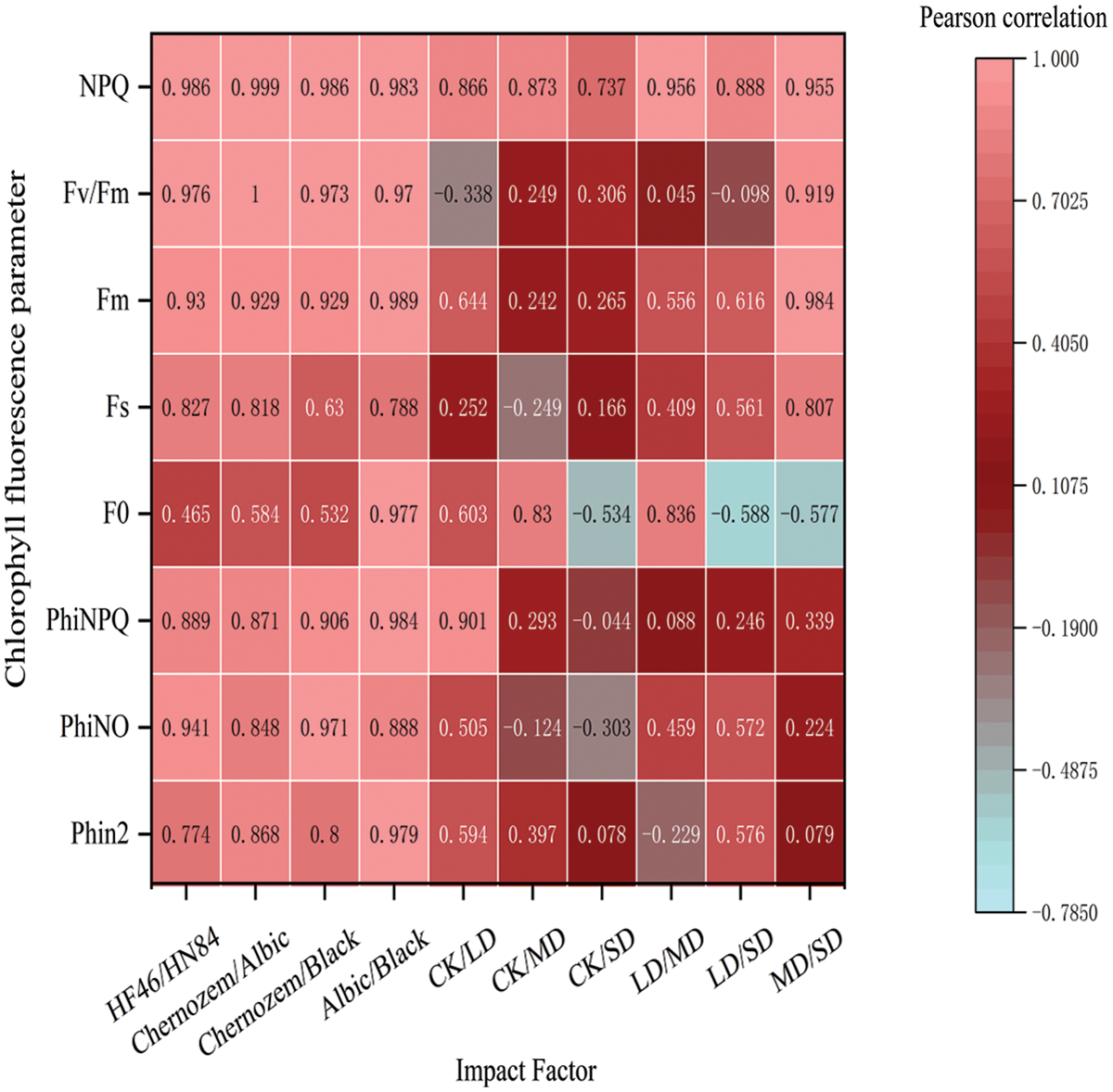
3.4 Correlation Analysis of Chlorophyll Fluorescence Parameters
The eight chlorophyll fluorescence parameters obtained in this experiment were analyzed by Pearson correlation analysis with two soybean varieties, three soil types, and four drought degrees to correlate various influencing factors on chlorophyll fluorescence parameters. As shown in Fig. 5, the test results showed that NPQ had the strongest correlation with varieties, soil quality and drought degree, while Phi2 and PhiNPQ were the weakest. In addition, Fs, Phi2, and F0 were greatly affected by the variety; Fs, PhiNO, and Phi2 were greatly affected by soil conditions; phi2, PhiNO, PhiNPQ, and Fs changed significantly during MD-SD; NPQ, Fm, and F0 changed significantly during CK-LD; and Fv/Fm changed significantly during LD-SD.

Figure 5: Correlation of chlorophyll fluorescence parameters with soil, varieties, and drought degree
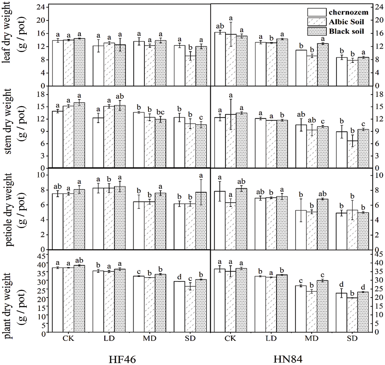
3.5 Effect of Drought Stress on Dry Matter Accumulation under Different Soil Types
As shown in Fig. 6, the effects of drought stress on dry matter accumulation were different under different soil types. Leaf dry weight, stem dry weight, petiole dry weight and plant dry weight decreased with the aggravation of drought. Under the condition of albic soil, drought had the most significant effect on dry matter accumulation. Compared with CK, SD of leaf dry weight decreased by about 55%, SD of stem dry weight decreased by about 30%, SD of petiole dry weight decreased by about 25%, and SD of whole plant dry weight decreased by about 30%. Compared with HF46 and HN84, the dry matter accumulation of HN84 was greater than that of HF46, which was greatly affected by drought. In different soil types, the change of dry matter accumulation: black soil < chernozem soil < albic soil, indicating that black soil has strong ability to adapt to drought.

Figure 6: Effects of drought stress on dry matter accumulation in different soil types
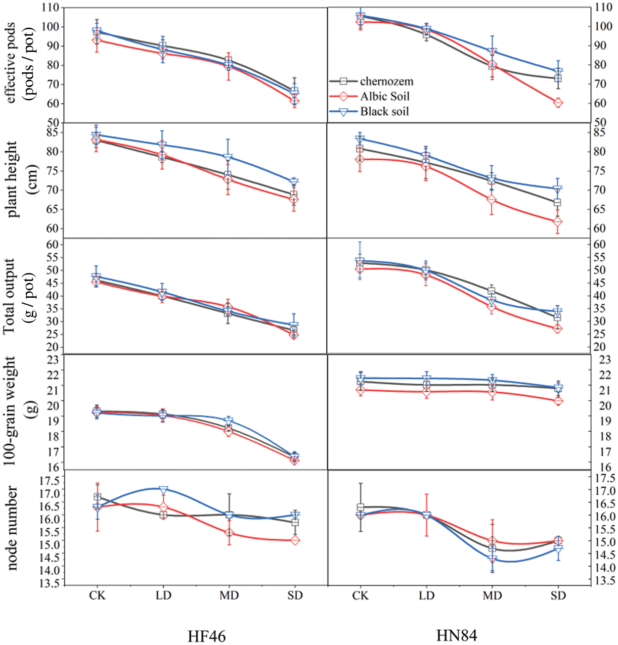
3.6 Effects of Drought Stress on Agronomic Traits and Yield under Different Soil Types
As shown in Fig. 7, under different types of soil, different degrees of drought have different effects on agronomic traits and yield of soybean. The test results showed that the effective pod number of soybean decreased with the deepening of drought. The effective pod number was the largest under CK condition, and the effective pod number was the smallest under SD condition. In summary, the effective pod number of SD decreased by about 30% compared with that of CK. The plant height decreased with the increase of drought degree. The plant height was the highest in CK and the lowest in SD. In general, the plant height SD decreased by about 15% compared with CK in the two varieties. The number of main stem nodes was also affected by different soil and drought, but the results were less affected by soil and drought than the number of effective pods and plant height. The 100-grain weight and total yield were closely related to drought degree. Among them, the 100-grain weight of HN84 had little change, and the 100-grain weight and total yield of SD decreased by 5% and 38% compared with CK, respectively. The 100-grain weight and total yield of HF46 changed significantly, and the 100-grain weight and total yield of SD decreased by 16% and 40% compared with CK, respectively. Compared with three different soil types, black soil was least affected by different degrees of drought, and could maintain relatively stable yield and agronomic traits.

Figure 7: Effects of drought stress on agronomic traits and yield under different soil types
Drought can destroy normal metabolic processes in plants, such as changes in the osmotic potential of plant tissues and impaired photosynthesis [28]. Carbon metabolism is a basic physiological, metabolic pathway involved in plant growth and development. Carbohydrates directly impact the growth rate and development status of plants and play a key role in transforming plants from vegetative to reproductive growth [29]. Cui et al. [6] conducted drought stress on cotton bolls. The results showed that the activities of 6PGDH and SS-1 in the main stem leaves and proximal leaves of cotton bolls increased under mild drought conditions, consistent with the results of this experiment. Guo et al. [30] studies have shown that SS-1 is a key enzyme in sucrose synthesis. Sucrose can be used not only as a scavenger of osmotic regulators and reactive oxygen species to stabilize cells, but also as a signal molecule to regulate gene expression in plants under abiotic stress. This study showed that key enzymes involved in plant carbon metabolism increased under moderate and severe drought stress. Aliche et al. [31] found that the normal metabolic system in plants was seriously damaged due to the increasing stress, which destroyed the balance of the enzyme system in plants and seriously affected the enzyme activity. Jiang et al. [32] conducted drought stress on maize at the grain-filling stage, and the results showed that the enzyme activities of SS-1 and G6PDH first increased and then decreased with the aggravation of drought stress, consistent with the results of this experiment. 6PGDH and G6PDH are the key rate-limiting enzymes in PPP pathway. The intermediate product E-4-P of PPP pathway can synthesize shikimic acid. Shikimic acid can continue to synthesize chlorogenic acid. Polyphenolic chlorogenic acid can play a role in resisting adversity [33]. The activities of G6PDH and 6PGDH are important limiting factors in this pathway. We found that the activity of key enzymes in carbon metabolism increased under mild drought conditions, probably because plants have a certain drought-resistant mechanism and can adapt to short-term mild drought. This indicated that moderate drought was conducive to improving the activity of key enzymes in carbon metabolism, indicating that SS-1, 6PGDH, and G6PDH as osmotic adjustment enzymes play a positive role in resisting injury and maintaining normal physiological metabolism in the early stage of drought stress.
Plant chlorophyll fluorescence parameters are sensitive to environmental conditions. By detecting the changes in chlorophyll fluorescence characteristics, we can understand the occurrence of environmental stress [34] and predict the impact of stress on plants. Kalaji et al. [35] found that the photosynthetic response center function of plants under non-stress conditions was stronger than that under stress conditions. Therefore, plants grown under non-stress conditions have higher fluorescence parameters, such as Fv/Fm, NPQ, and PhiNPQ. These chlorophyll fluorescence parameters are important indicators for evaluating the degree of plant stress damage [36]. This experiment showed that Fv/Fm, NPQ, and PhiNPQ gradually decreased with an increase in drought degree, indicating that drought stress adversely affected soybean leaves. Yao et al. [37] conducted drought stress treatment on Arabidopsis thaliana. The experimental results showed that NPQ and PhiNPQ decreased with increasing drought stress, and Fv/Fm did not change significantly. It may be that different plant varieties lead to certain differences in fluorescence parameters. Under drought stress, F0 and Fs of soybean leaves increased first and then decreased with the increase in drought degree, and increased positively during CK-MD, showing damage or inactivation of the PS II reaction center structure. During the MD-SD period, it showed negative growth, which was dominated by the thermal dissipation of the PS II antenna pigment, and the variation was large, indicating that drought stress had a great influence on soybean leaves. This may be because soybean leaves start the corresponding resistance mechanism in the early stage of stress, but with the extension of stress time, this mechanism is gradually destroyed, and the emergence of resistance mechanisms shows that soybean has certain drought resistance. Studies have shown that F0 and Fs first increased and then decreased in cucumber [38] and quinoa [39]. Higher Phi2 values can accumulate more energy for dark reaction photosynthetic carbon assimilation to promote the efficient operation of carbon assimilation and organic matter accumulation. The results showed that Fm and Phi2 increased under different drought stress conditions, indicating that drought stress damaged soybean leaves. The increase in PhiNO indicated that soybean leaves had a certain tolerance to drought stress. Zhang et al. [40] treated Paulownia seedlings under drought stress, and the results showed that F0 and Fm increased first and then decreased with the increase in drought degree, consistent with the results of this experiment.
Different soil substrates showed different responses to drought stress in the soybean leaves. The results of this experiment showed that the activities of SS-1 and G6PDH, the key enzymes of carbon metabolism in the two soybean varieties, were the highest under the albic soil cultivation conditions; the activity of 6PGDH was the highest in the black soil, indicating that the albic and black soils as the cultivation substrates were conducive to the accumulation of the key enzymes involved in carbon metabolism in soybean leaves. Studies have found that clayey soil [41] has a good water retention capacity to maintain the normal growth of crops under drought conditions so that high and stable crop yields have a positive effect. The values of chlorophyll fluorescence parameters increased with increasing drought degree under black soil cultivation conditions, such as Phi2, PhiNO, and Fm, indicating that the electron transfer efficiency of soybean leaves under black soil cultivation conditions was higher, this may be related to the soil structure and deep humus layer in black soil [42]. The chlorophyll fluorescence parameters, such as PhiNPQ, Fv/Fm, and NPQ, decreased with an increase in drought degree. The high values indicated that soybean leaves had a high light energy utilization rate and low light inhibition in albic soil. Zhao et al. [43] treated Pueraria in three different soil types. The results showed that soil type significantly affected the chlorophyll fluorescence parameters of Pueraria seedlings.
Soybean is a crop susceptible to drought stress. Under drought conditions, soybean will actively adjust its morphological development to adapt to drought environment [44], conducted drought treatment on maize and found that drought stress at different growth stages significantly inhibited leaf area and plant height of maize. In this experiment, plant height, effective pod number, 100-seed weight, yield and dry matter accumulation decreased with the increase of drought stress. Wang et al. [45] analyzed the agronomic traits of barley under drought stress. The results showed that the grain number per spike, 1000-grain weight and yield of barley decreased, which was consistent with the results of this experiment. Dry matter accumulation is the material basis for yield formation. Under certain conditions, the higher the dry matter accumulation is, the higher the corresponding yield is [46]. Soil moisture conditions affect the dry matter accumulation of crops and the transport of dry matter to various organs [47]. In this experiment, the decrease of dry matter accumulation in soybean leaves was the most significant, indicating that drought had the greatest impact on leaves. Under different soil conditions, the decrease of dry matter accumulation was different. In general, the decrease of dry matter accumulation in black soil was the least, indicating that black soil was suitable for soybean growth under drought conditions. This experiment only discussed the effects of drought stress on the key enzymes of soybean carbon metabolism and chlorophyll fluorescence characteristics, agronomic traits, yield and dry matter accumulation of soybean in different soil substrates. Presently, the research is limited, and the specific mechanism, signal transduction, and gene expression require further exploration and research.
This study revealed the effects of drought stress on key enzymes involved in carbon metabolism and the photosynthetic characteristics, agronomic traits, yield and dry matter accumulation of flowering soybean under different soil substrates. Soybean leaves showed different drought stress characteristics under different degrees of drought, and different soybean varieties and soil matrices had different drought stress characteristics. With the intensification of drought, the activities of key enzymes SS-1, 6PGDH and G6PDH in carbon metabolism of soybean plants increased first and then decreased. Chlorophyll fluorescence parameters Fm, Phi2 and PhiNO increased significantly, PhiNPQ, Fv/Fm and NPQ decreased significantly, F0 and Fs increased first and then decreased, and fluorescence parameters showed relatively stable state under mild drought conditions. The agronomic traits of soybean plants were closely related to drought degree. Plant height, internode number, effective pod number, 100-seed weight and total yield decreased with the increase of drought degree. The dry matter accumulation of leaves, stems, petioles and plants decreased with the aggravation of drought. With the increase in drought stress, the damage caused by drought to soybean leaves increased. In addition, under different soil cultivation conditions, the activities of SS-1 and G6PDH enzymes of the two varieties were the highest in albic soil. The 6PGDH enzyme had the highest activity in chernozem, whereas albic soil had the greatest impact on chlorophyll fluorescence parameters.
Acknowledgement: Thank Shoukun Dong for his guidance and support, thank Xiaomei Li, Xin Wang, Qi Zhou, Yongping Li, Xiaojing Wang for participating in this experiment, thank the Northeast Agricultural University Agricultural College for providing experimental sites and equipment.
Funding Statement: This research was funded by the National Key R&D Program of China, Grant No. 2018YFD1000903. And funded by Natural Science Foundation of Heilongjiang Province of China, Grant No. LH2021C023.
Conflicts of Interest: The authors declare that they have no conflicts of interest to report regarding this study.
1. Foyer, C. H., Lam, H. M., Nguyen, H. T., Siddique, K. H., Varshney, R. K. (2016). Neglecting legumes has compromised human health and sustainable food production. Nature Plants, 2(8), 16112. DOI 10.1038/nplants.2016.112. [Google Scholar] [CrossRef]
2. Al Loman, A., Ju, L. K. (2017). Enzyme-based processing of soybean carbohydrate: Recent developments and future prospects. Enzyme and Microbial Technology, 106, 35–47. DOI 10.1016/j.enzmictec.2017.06.013. [Google Scholar] [CrossRef]
3. Payero, J. O., Irmak, S. (2006). Variable upper and lower crop water stress index baselines for corn and soybean. Irrigation Science, 25(1), 21–32. DOI 10.1007/s00271-006-0031-2. [Google Scholar] [CrossRef]
4. Kim, Y., Chung, Y. S., Lee, E., Tripathi, P., Heo, S. (2020). Root response to drought stress in rice (Oryza sativa L.). International Journal of Molecular Sciences, 21(4), 1513. DOI 10.3390/ijms21041513. [Google Scholar] [CrossRef]
5. Zandalinas, S. I., Cohen, I. H., Fritschi, F. B., Mittler, R. (2020). Coordinated systemic stomatal responses in soybean. Plant Physiology, 183(4), 1428–1431. DOI 10.1104/pp.20.00511. [Google Scholar] [CrossRef]
6. Cui, G., Zhang, Y., Zhang, W., Lang, D., Zhang, X. et al. (2019). Response of carbon and nitrogen metabolism and secondary metabolites to drought stress and salt stress in plants. Journal of Plant Biology, 62(6), 387–399. DOI 10.1007/s12374-019-0257-1. [Google Scholar] [CrossRef]
7. Fugate, K. K., Eide, J. D., Martins, D. N., Grusak, M. A., Deckard, E. L. (2019). Colocalization of sucrose synthase expression and sucrose storage in the sugarbeet taproot indicates a potential role for sucrose catabolism in sucrose accumulation. Journal of Plant Physiology, 240, 153016. DOI 10.1016/j.jplph.2019.153016. [Google Scholar] [CrossRef]
8. Ribeiro, R. V., Machado, E. C., Magalhaes Filho, J. R., Lobo, A. K. (2017). Increased sink strength offsets the inhibitory effect of sucrose on sugarcane photosynthesis. Journal of Plant Physiology, 208, 61–69. DOI 10.1016/j.jplph.2016.11.005. [Google Scholar] [CrossRef]
9. Zang, D. D., Zhao, H. T., Fan, L. L., Shao, L. L. (2021). Cloning LcSUS1 from lonicera caerulea and its expression analysis under drought stress. Molecular Plant Breeding, 2021, 1–9. [Google Scholar]
10. White, H. P. J. (2011). Sugar signaling in root responses to low phosphorus availability. Plant Physiology, 156(3), 1033–1040. DOI 10.1104/pp.111.175380. [Google Scholar] [CrossRef]
11. Dominguez, P. G., Donev, E., Derba-Maceluch, M., Bunder, A., Hedenstrom, M. (2021). Sucrose synthase determines carbon allocation in developing wood and alters carbon flow at the whole tree level in aspen. New Phytologist, 229(1), 186–198. DOI 10.1111/nph.16721. [Google Scholar] [CrossRef]
12. Khan, H. A., Siddique, K. H. M., Colmer, T. D. (2017). Vegetative and reproductive growth of salt-stressed chickpea are carbon-limited: Sucrose infusion at the reproductive stage improves salt tolerance. Journal of Experimenatl Botany, 68(8), 2001–2011. DOI 10.1093/jxb/erw177. [Google Scholar] [CrossRef]
13. Chang, C., Zhang, J., Liu, T., Song, K., Xie, J. et al. (2020). Rhizosphere fungal communities of wild and cultivated soybeans grown in three different soil suspensions. Applied Soil Ecology, 153, 103586. DOI 10.1016/j.apsoil.2020.103586. [Google Scholar] [CrossRef]
14. Banks, J. M. (2017). Continuous excitation chlorophyll fluorescence parameters: A review for practitioners. Tree Physiology, 37(8), 1128–1136. DOI 10.1093/treephys/tpx059. [Google Scholar] [CrossRef]
15. Xia, Q., Tan, J., Ji, X., Jiang, Y., Guo, Y. (2018). Modelling and simulation of chlorophyll fluorescence from photosystem II as affected by temperature. IET Systems Biology, 12(6), 304–310. DOI 10.1049/iet-syb.2018.5030. [Google Scholar] [CrossRef]
16. Li, Y., Liu, Z., Shi, Q., Yang, F., Wei, M. (2021). Mixed red and blue light promotes tomato seedlings growth by influencing leaf anatomy, photosynthesis, CO2 assimilation and endogenous hormones. Scientia Horticulturae, 290, 110500. DOI 10.1016/j.scienta.2021.110500. [Google Scholar] [CrossRef]
17. Azhar, A., Makihara, D., Naito, H., Asano, K. (2020). Sago palm (Metroxylon sagu Rottb.) response to drought condition in terms of leaf gas exchange and chlorophyll a fluorescence. Plant Production Science, 24(1), 65–72. DOI 10.1080/1343943X.2020.1794914. [Google Scholar] [CrossRef]
18. Tsai, Y. C., Chen, K. C., Cheng, T. S., Lee, C., Lin, S. H. et al. (2019). Chlorophyll fluorescence analysis in diverse rice varieties reveals the positive correlation between the seedlings salt tolerance and photosynthetic efficiency. BMC Plant Biology, 19(1), 403. DOI 10.1186/s12870-019-1983-8. [Google Scholar] [CrossRef]
19. Chen, Q., Zhao, X., Lei, D., Hu, S., Shen, Z. et al. (2017). Hydrogen-rich water pretreatment alters photosynthetic gas exchange, chlorophyll fluorescence, and antioxidant activities in heat-stressed cucumber leaves. Plant Growth Regulation, 83(1), 69–82. DOI 10.1007/s10725-017-0284-1. [Google Scholar] [CrossRef]
20. Wang, C., Linderholm, H. W., Song, Y., Wang, F., Liu, Y. et al. (2020). Impacts of drought on maize and soybean production in Northeast China during the past five decades. International Journal of Environmental Research and Public Health, 17(7), 2459. DOI 10.3390/ijerph17072459. [Google Scholar] [CrossRef]
21. Ni, Z., Lu, Q., Huo, H., Zhang, H. (2019). Estimation of chlorophyll fluorescence at different scales: A review. Sensors, 19(13), 3000. DOI 10.3390/s19133000. [Google Scholar] [CrossRef]
22. Wang, L. B., Liu, L. J., Pei, Y. F., Dong, S. K., Sun, C. Z. et al. (2013). Drought resistance identification of soybean germplasm resources at bud stage. Journal of Northeast Agricultural University, 43, 36–43. [Google Scholar]
23. Dong, S. K., Dong, Y. C., Yang, L., Qin, X. Y., Wang, W. J. et al. (2020). Effects of drought stress and re-watering on osmotic adjustment ability and yield of soybean. Journal of Northeast Agricultural University (English Edition), 27(3), 1–8. [Google Scholar]
24. Tang, Z. C. (2002). Guide to modern plant physiology experiment. Beijing: Science Press. [Google Scholar]
25. Tang, Y. T., Li, G. Y., Su, Y. C., Guo, J. L., Xu, L. P. (2014). Cloning of 6PGDH gene in sugarcane positively responding to salt stress. Journal of Fujian Agriculture and Forestry University, 43(2), 156–164. DOI 10.13323/j.cnki.j.fafu(nat.sci.). 2014.02.001. [Google Scholar] [CrossRef]
26. Esposito, S., Carfagna, S., Massaro, G. (2001). Glucose-6-phosphate dehydrogenase in barley roots: Kinetic properties and localization of the isoforms. Planta, 212(4), 627–634. DOI 10.1007/s004250000443. [Google Scholar] [CrossRef]
27. Qiu, L. J., Chang, R. Z. (2006). Specification for description and data standards of soybean germplasm resources. Beijing: China Agricultural Publishing House. [Google Scholar]
28. Wang, H., Wang, Y., Zhuang, W. E., Chen, W. (2020). Effects of fish culture on particulate organic matter in a reservoir-type river as revealed by absorption spectroscopy and fluorescence EEM-PARAFAC. Chemosphere, 239(5720), 124734. DOI 10.1016/j.chemosphere.2019.124734. [Google Scholar] [CrossRef]
29. Li, J., Zeng, L., Cheng, Y., Lu, G., Fu, G. et al. (2018). Exogenous melatonin alleviates damage from drought stress in Brassica napus L. (rapeseed) seedlings. Acta Physiologiae Plantarum, 40(3), 43. DOI 10.1007/s11738-017-2601-8. [Google Scholar] [CrossRef]
30. Guo, S. Q., Liu, J. Z. (2021). Effects of water stress on leaves of ‘Cabernet Sauvignon’ grape at different leaf agesffect of sugar content and related metabolic enzyme activity. Northern Horticulture, 12, 17–21. DOI 10.11937/bfyy.20203493. [Google Scholar] [CrossRef]
31. Aliche, E. B., Theeuwen, T., Oortwijn, M., Visser, R. G. F., van der Linden, C. G. (2020). Carbon partitioning mechanisms in POTATO under drought stress. Plant Physiology and Biochemistry, 146(5), 211–219. DOI 10.1016/j.plaphy.2019.11.019. [Google Scholar] [CrossRef]
32. Jiang, Z., Piao, L., Guo, D., Zhu, H., Wang, S. (2021). Regulation of maize kernel carbohydrate metabolism by abscisic acid applied at the grain-filling stage at low soil water potential. Sustainability, 13(6), 3125. DOI 10.3390/su13063125. [Google Scholar] [CrossRef]
33. Chen, J. T., Yu, G. (2019). Effect of qingzao jiufei tang on enzymatic activity and regulatory factor of key. enzyme G6PD in pentose phosphate energy metabolism pathway in lung cancer. Chinese Journal of Experimental Traditional Medical Formulae, 26(4), 59–63. DOI 10.13422/j.cnki.syfjx.20200426. [Google Scholar] [CrossRef]
34. Slattery, R. A., VanLoocke, A., Bernacchi, C. J., Zhu, X. G., Ort, D. R. (2017). Photosynthesis, light use efficiency, and yield of reduced-chlorophyll soybean mutants in field conditions. Frontiers in Plant Science, 8, 549. DOI 10.3389/fpls.2017.00549. [Google Scholar] [CrossRef]
35. Kalaji, H. M., Račková, L., Paganová, V., Swoczyna, T., Rusinowski, S. et al. (2018). Can chlorophyll-a fluorescence parameters be used as bio-indicators to distinguish between drought and salinity stress in Tilia cordata Mill? Environmental and Experimental Botany, 152(Suppl. 8), 149–157. DOI 10.1016/j.envexpbot.2017.11.001. [Google Scholar] [CrossRef]
36. Kaňa, R. (2018). Application of spectrally resolved fluorescence induction to study light-induced nonphotochemical quenching in algae. Photosynthetica, 56(1), 132–138. DOI 10.1007/s11099-018-0780-1. [Google Scholar] [CrossRef]
37. Yao, J., Sun, D., Cen, H., Xu, H., Weng, H. et al. (2018). Phenotyping of arabidopsis drought stress response using kinetic chlorophyll fluorescence and multicolor fluorescence imaging. Frontiers in Plant Science, 9, 603. DOI 10.3389/fpls.2018.00603. [Google Scholar] [CrossRef]
38. Plich, J., Boguszewska-Mańkowska, D., Marczewski, W. (2020). Relations between photosynthetic parameters and drought-induced tuber yield decrease in katahdin-derived potato cultivars. Potato Research, 63(4), 463–477. DOI 10.1007/s11540-020-09451-3. [Google Scholar] [CrossRef]
39. Manaa, A., Goussi, R., Derbali, W., Cantamessa, S., Essemine, J. et al. (2021). Photosynthetic performance of quinoa (Chenopodium quinoa Willd.) after exposure to a gradual drought stress followed by a recovery period. Biochimica et Biophysica Acta-BioenergeticsI, 1862(5), 148383. DOI 10.1016/j.bbabio.2021.148383. [Google Scholar] [CrossRef]
40. Zhang, Y., Ru, G., Xiao, M. (2021). Influence of drought stress on the growth and chlorophyll fluorescence of Paulownia seedling. Journal of Central South University of Forestry, 41(6), 22–30. DOI 10.1007/s10653-020-00691-3. [Google Scholar] [CrossRef]
41. Liu, Z., Zhou, W., Shen, J., Li, S., He, P. (2014). Soil quality assessment of Albic soils with different productivities for eastern China. Soil and Tillage Research, 140(3), 74–81. DOI 10.1016/j.still.2014.02.010. [Google Scholar] [CrossRef]
42. Zhong, X., Gan, Y., Deng, Y. (2021). Distribution, origin and speciation of soil selenium in the black soil region of Northeast China. Environmental Geochemistry and Health, 43(3), 1257–1271. DOI 10.1007/s10653-020-00691-3. [Google Scholar] [CrossRef]
43. Zhao, Q., Yan, L., Yu, L. (2021). Effects of soil thickness and soil types on chlorophyll fluorescence characteristics of the pueraria lobata in the karst micro-habitat. Journal of West China Forestry Science, 49(5), 129–135. DOI 10.16473/j.cnki.xblykx1972.2020.05.020. [Google Scholar] [CrossRef]
44. Xiao, J. F., Liu, Z. D., Liu, Z. G., Nan, J. Q. (2011). Effects of drought at different growth stages and different water availabilities on growth and water consumption characteristics of summer maize. Journal of Maize Sciences, 19(4), 54–58. DOI 10.13597/j.cnki.maize.science.2011.04.025. [Google Scholar] [CrossRef]
45. Wang, X., Nia, S. H. (2022). Effects of drought stress on agronomic traits, yield and quality of central asian barley. Xinjiang Agricultural Sciences, 70–78. [Google Scholar]
46. Wang, H. L., Wang, R. F., Liu, B. (2020). Effects of harvesting at different growth stage on agronomic and nutritional quality related traits of sweet sorghum. Scientia Agricultura Sinica, 53(14), 2804–2813. DOI 10.3864/j.issn.0578-1752.2020.14.005. [Google Scholar] [CrossRef]
47. Liu, W. M., Hou, P., Liu, G. Z., Yang, Y. S., Guo, X. X. et al. (2020). Contribution of total dry matter and harvest index to maize grain yield–A multisource data analysis. Food and Energy Security, 9(4), 256. DOI 10.1002/fes3.256. [Google Scholar] [CrossRef]
![]() | This work is licensed under a Creative Commons Attribution 4.0 International License, which permits unrestricted use, distribution, and reproduction in any medium, provided the original work is properly cited. |