![]() | Phyton- International Journal of Experimental Botany | ![]() |
DOI: 10.32604/phyton.2021.015048
ARTICLE
Identification of Polymorphic Markers by High-Resolution Melting (HRM) Assay for High-Throughput SNP Genotyping in Maize
1College of Agronomy, Qingdao Agricultural University, Qingdao, China
2Key Laboratory of Qingdao Major Crop Germplasm Resource Innovation and Application, Qingdao, China
3College of Chemistry and Pharmacy, Qingdao Agricultural University, Qingdao, China
4Key Laboratory of Plant Biotechnology in Universities of Shandong Province, College of Life Sciences, Qingdao Agricultural University, Qingdao, China
*Corresponding Author: Meiai Zhao. Email: meiai@qau.edu.cn
Received: 18 November 2020; Accepted: 15 March 2021
Abstract: The development of next generation sequencing (NGS) and high throughput genotyping are important techniques for the QTL mapping and genetic analysis of different crops. High-resolution melting (HRM) is an emerging technology used for detecting single-nucleotide polymorphisms (SNPs) in various species. However, its use is still limited in maize. The HRM analysis was integrated with SNPs to identify three types of populations (NIL population, RIL population and natural population), and the useful tags were screened. The patterns of temperature-shifted melting curves were investigated from the HRM analysis, and compared these with the kit. Among all 48 pairs of primers, 10 pairs of them were selected: six pairs of primers for the NIL population, three pairs of primers for the RIL population, and one pair of primer for the natural population. The marker for the natural population was developed with a matching rate of 80% for the plant height trait, based on the data of the phenotypic characteristics measured in the field. This study provides an effective method for maize genotyping in the classification of maize germplasm resources, which can be applied to other plants for high-throughput SNP genotyping or further mapping.
Keywords: Maize; high-throughput genotyping; HRM; SNP
Maize is one of the most important cereal crops and industrial raw material. It is well-known that the maize genome is large, and SNPs are widely distributed through the genome [1]. With the development of the next generation sequencing (NGS) technology, SNP technology has been widely used in genome association analysis and molecular marker-assisted breeding. Meanwhile, molecular markers-associated with agronomical important traits have increasingly become available in maize. Marker-assisted selection (MAS) has been incorporated into breeding programs, including applications for cultivar identification, parental line selection, improvement of selection efficiency, and the selection of progenies in segregating populations [2,3]. The abundance of single nucleotide polymorphisms (SNPs) has become an attractive tool for MAS due to high-throughput low-cost genotyping and lower genotyping error rates [4–6]. SNP genotyping has been performed through several approaches including pyrosequencing, hybridization, molecular beacons, SNP microarray, single-strand conformation polymorphism (SSCP), denaturing high-performance liquid chromatography, denaturing gradient gel electrophoresis (DGGE), and simple sequence repeat (SSR) [7–9]. With the advent of high-throughput, these methods should be replaced with more time-and labor-saving technologies.
In recent years, researchers have invented more than 20 kinds of SNP genotyping technologies. However, each of these technologies have their advantages and limitations [10]. According to the size of the sample, there are traditional low-throughput SNP genotyping methods, such as the Sanger method, restriction endonuclease digestion, and single-stranded conformation polymorphism. These methods are less costly, but requires a long period of time and has poor degree of automation. Furthermore, the test conditions need to be repeatedly debugged, and these are only suitable for testing a sample with fewer samples and fewer sites. In addition, there are medium-throughput detection methods, such as SNPlex, SnaPshot, TaqMan, and mass spectrometry. The problem with these typing methods is that each data is more expensive and cost effective [11]. The other is representative of a high-throughput sample detection platform based on the Kompetitive Allele-Specific PCR (KASP) technology and gene chip technology. This can detect more sites and enable high-throughput samples. TaqMan technology, KASP technology, and gene chips are presently more rapidly being developed among these detection methods [12]. However, these emerging approaches all present problems of high cost, and the HRM detection technology does not require the design of a fluorescent probe, thereby reducing the cost, and at the same time, allowing these to handle mid-high throughput assays [13]. In terms of the present research status, the typing technology of SNP has developed from an expensive, time-consuming and labor-intensive process to an automated, efficient and relatively cheap DNA label detection method. Taking all factors into consideration, it is reasonable to use the HRM method to detect SNPs in maize.
HRM is a new generation mutation scanning and high-throughput genotyping technology [14]. HRM analysis is an economical, rapid and high-throughput assay for mutation screening and genotyping without sequencing [15]. Unlike conventional methods, HRM analysis can acquire the melting profile that occurs within the instrument immediately following PCR. Furthermore, this does not require manual post-PCR processing, avoiding the risk of contamination with PCR products. In addition, the genotyping of variants does not require a labeled probe, and sequence variants can be distinguished from each other based on their individual melting temperatures. This method greatly simplifies the operation and reduces the analysis time, making it suitable for broad applications [16]. Moreover, this method has been widely applied in mapping SNPs or microsatellite markers in various species, including apple, white lupin, almond, perennial ryegrass, potato and barley [17–22]. It has been considered that HRM analysis is an efficient tool for SNP detection [23,24], with high repeatability and sensitivity, and this is conducive to multi marker screening, germplasm classification, and plant breeding.
The HRM technique, in which PCR is followed by a precise dissociation (melting) behavior, can determine double-stranded DNA amplicons. The accuracy of the melting curve is maximized by acquiring the fluorescence data over small temperature increments (as low as 0.02°C). The samples can be discriminated against according to sequence, length, GC content, or strand complementarity, down to the single base-pair changes. Meanwhile, the efficiency of the HRM procedure is affected by various factors, including the specificity and efficiency of the PCR, amplicon length and position, and DNA template quality. In addition to these factors, the use of PCR products, rather than genomic DNA, in HRM increases the quality of the melting curves, thereby affecting the accuracy and sensitivity of the assay. Furthermore, different reagents can carry out different sensitivity levels of genotyping, in which some kits are unable to amplify these markers, while others are able to successfully amplify these [25]. Therefore, common reagents can be flexibly configured for a variety of ranges of amplified fragments, and the optimization of the reagent before the experiment is crucial for the assay.
SNPs in maize offer an abundance of sites for potential interrogation [26]. However, HRM has been scarcely applied in maize [27], especially for natural populations. Hence, its application on maize has been advocated for genotyping. In the present study, we report the successful application of HRM analysis in rapidly and reliably separating individuals from population isolates. In a previous study conducted by the investigators, some SNPs were discovered by sequencing between parents of Pop1 produced from a cross between H21 and ZN96-619. In summary, a simple molecular approach based on the HRM analysis used in the present study was used for the genotyping of natural populations of maize.
The aims of the present study were, as follows: (1) to use HRM analysis conjugated with PCR for the rapidly discrimination of three populations (near isogenic lines [NIL], recombinant inbred line [RIL], and a population composed of inbred lines) via the melting curve profiles; (2) to develop an accurate genotyping method for maize and other plants suitable for various populations, including linked populations (Pops 1 and 2) and natural populations (Pop 3); (3) to evaluate the ability of the HRM technique as a fast, cost-effective, and accurate method of analysis for the genotyping of maize and other plants for the first time. The present study has implications for the application of HRM as an efficient typing method for studying other plants.
The Pop 1 population (BC5F2) was developed from the cross between ZN96-619 (ZN) and H21, with H21 being the recurrent parent. Part of the Pop 2 population (F6), which comprised of 53 individuals, was used from the cross between Zheng58 and LN28. Furthermore, the Pop 3 population, which included 75 inbred lines of maize with diverse genetics, was used as materials for the HRM assay. Pop 3 was planted in Jiaozhou, China in 2016. The control group associated with plant height included H21, LX9801 (taller lines), FeiLB-3 and 11N597 (shorter lines). These were planted in Jiaozhou and Zaozhuang in China between 2015 and 2016.
The genomic DNA was extracted from the frozen leaves of 72 individuals of Pop 1, 53 individuals of Pop 2, and 75 lines in Pop 3 using the CTAB method [28]. Then, these were purified with phenol, chloroform and isoamyl alcohol (25:24:1). Next, the DNA was analyzed on 1.0% agarose gel, and visualized on the UVP system to check for degradation. Afterwards, the gels were photographed using the UVP Biospectrum system (UVP, LLC, Upland, CA, USA). Then, the pellet was resuspended in TE dilution and analyzed on the NANODROP 2000 spectrophotometer (Thermo Scientific, USA), in order to determine the concentration. The DNA was appropriately diluted in autoclaved centrifuge tubes to obtain the final concentration of 100 ng/µL. The solution was always prepared fresh before use.
All PCR primers were designed using the Primer 5.0 software [29] and synthesized by Shanghai Sunny Biotechnology Co. Ltd., Shanghai, China. based on a previous research. The genomic regions of these two parental lines in Pop 1 were sequenced. By utilizing this sequence knowledge, several SNPs were discovered by sequence alignment between these two parental lines using the DNA-MAN 6.0 program. All PCR primers were tested on these two parental lines for each of the SNP-containing genomic regions in the Techne TC-412 thermocycler (Techne, Burlington, NJ, USA). Each SNP-containing fragment was amplified for HRM using the primers based on the Rotor-Gene Q platform (Tab. 1).

2.4 High-Resolution Melting Analysis
General PCR was applied before HRM to obtain the single band. Each PCR reaction (20 µL, volume) was performed in 11.5 µL of Rnase-free water, 1 µM of each primer, 0.25 mM of dNTP, 200 ng of genomic DNA, and 0.5 µL of Taq enzyme in a PCR instrument under the following thermocycling conditions: four minutes at 94°C; then, 40 cycles of denaturation for 15 s at 94°C, annealing for 30 s and 30 s extension at 72°C, and a final 7 min at 72°C. The PCR products were stored at 4°C.
Each HRM reaction (10 µL, volume) was performed in 5.0 µL of 2 × HRM PCR Master Mix (QIAGEN), 0.4 µM of each primer, and 50 ng of genomic DNA in a Rotor-Gene Q under the following thermocycling conditions: five minutes at 95°C; then, 45 cycles of denaturation for 10 s at 95°C, annealing for 20 s, and 10 s extension at 72°C. After the amplification, a melting step was performed within the 75–90°C range with 0.1°C increments, pausing was performed for two seconds per step, and this was initiated. Afterwards, the genotypes were determined by examining the normalized melt plots using the Rotor-Gene Q series software, with a confidence limit specified at 90%. All samples were amplified with a Ct value below 30. The common reagent consisted of 2 µL of 5 × buffer, 0.25 mM of dNTP, 0.5 µL of Taq enzyme, 0.5 µL of LC Green, 0.3 mM of primers, and 100 ng of genomic DNA. Then, double-distilled water (ddH2O) was added to 10 µL. The thermocycling conditions were the same as those in the HRM kit (QIAGEN, Germany).
3.1 Comparison between Common Reagents and the HRM Kit
In general, HRM analyses are performed using the HRM kit, according to manufacturer’s instructions. However, the cost is expensive, even for a 96-hole plate sample. Furthermore, the common reagents and kits have different reaction systems for HRM analysis under the same conditions of DNA template, the same primer, RNase-Free ddH2O, and other additional components. The common reagents include Taq enzyme, 5 × buffer, dNTP Mix and LC Green fluorescent dyes, while the kit only contains the HRM Analysis Premix (with Eva Green) for the Rotor-Gene Q. The HRM Analysis Premix was constituted through the Eva Green dye and its optimization system of Taq enzyme, 5 × buffer and dNTP. The common reagent can be flexibly configured for different-size amplification fragments using the kit. For the developed inexpensive and widely used HRM assay method, the effect of common reagents and the HRM kit was compared after optimization, based on an identical DNA template and primers. The inbred lines were discriminated by the yellow (H21) and red (ZN) curves, as shown in Fig. 1. The curves for the parents were distinguished using common reagents with each pair of the primers, while this was evenly distinguished by the kit. Some curves could be distinguished more visibly when a common reagent was used (Fig. 1D). Therefore, this demonstrates that the kit can be replaced by a common reagent, and that HRM can be a more cost-efficient genotyping method for maize.

Figure 1: Comparison of HRM melting curves between the common reagent and the reagent kit. (A, B, C) Melt curves of kit. (D, E, F) Melt curves of common reagent. (A, D) Amplification by primer 5. (B, E) Amplification by primer 29. (C, F) Amplification by primer 33. The inbred lines were discriminated by yellow (H21) and red (ZN) curves
3.2 HRM Analysis of the Maize NIL Population
Thirty-two pairs of primers were designed to identify three populations (Pops 1–3). Among these, 15 pairs of primers were for Pop 1, and the remaining 17 pairs of primers were designed for Pops 2 and 3. The melting curves for Pop 1 were identified in three of these 15 pairs of primers based on the difference in Tm: Primers 2–4 (Fig. 2). The remaining 12 pairs of primers were dropped, because the melt peaks of the parents were not unambiguously distinguished. The green and red lines indicated the ZN and H21. H21 and ZN had a Tm of 82.92°C and 83.38°C with Primer 2, a Tm of 82.83°C and 82.53°C with Primer 3, and a Tm of 86.91°C and 86.64°C with Primer 4, respectively (data not shown). The parents were distinguished more visibly in normalized melting curve plots (Fig. 2). Two genotypes were distinguished at temperatures between approximately 82.50°C and approximately 85.00°C, with Primer 2 in 186 bp amplicons (Fig. 2A), between approximately 81.50°C and approximately 84.25°C, with Primer 3 in 259 bp amplicons (Fig. 2B), and between approximately 84.25°C and approximately 88.5°C, with Primer 4 in 364 bp amplicons (Fig. 2C).

Figure 2: HRM analysis for parents of Pop 1, data for only one of the triplicate samples are shown for easier visualization 1. (A) Amplification by Primer 2. (B) Amplification by Primer 3. (C) Amplification by Primer 4
The melting peaks of progenies were successfully discriminated against all three pairs of primers, which were selected in the parents of Pop 1 (Fig. 3). The melting curves were characterized by peaks of 82.96°C, 82.63°C and 86.50°C, or Primers 2–4 (data not shown). It was obvious that the curves of an individual tended to be consistent with the recurrent parent (H21), and distinguished with the non-recurrent parent (ZN) (Figs. 3B and 3C). However, the result for Primer 2 was an exception, in which the individuals were near to the non-recurrent parent. This was because the progeny carried part of the genes of the non-recurrent parent (Fig. 3A).

Figure 3: HRM analysis for Pop 1. (A) Amplification by Primer 2. (B) Amplification by Primer 3. (C) Amplification by Primer 4. Green, red and grey lines stand for recurrent parent, non-recurrent parent and their BC5F2 progenies, respectively
3.3 HRM Analysis of the Maize RIL Population
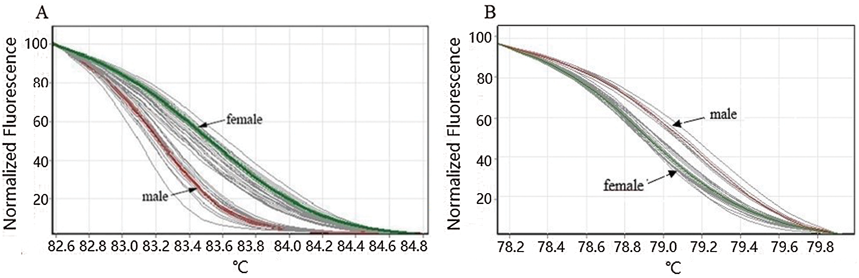
The curves for parents in Pop 2 were distinguished using the HRM assay by three of seventeen pairs of primers: PZE-2, PZE-3 and SYN-7 (Fig. 4). The green and red lines indicate the male and female parent. The PZE-2 primer pair produced one melting peak each for male and female parents, with average melting points of 83.50°C and 83.92°C, respectively. For males and females, PZE-3 produced a melting peak with melting points of 83.89°C and 83.67°C, respectively, while SYN-7 produced melting points of 79.08°C and 78.88°C, respectively, after high-resolution melt analysis (data not shown). The 264-bp amplicons by primer PZE-2 distinguished the two genotypes at temperatures between approximately 82.60°C and approximately 85.20°C (Fig. 4A). The 243-bp amplicons by primer PZE-3 distinguished these two genotypes at temperatures between approximately 83.2°C and approximately 84.40°C (Fig. 4B). Between approximately 78.20°C and approximately 80.00°C, these two genotypes were distinguished by primer SYN-7 with 201 bp of amplicons (Fig. 4C).

Figure 4: HRM analysis for Pop 2; data for only one of the triplicate samples are shown for easier visualization. (A) Amplification by primer PZE-2. (B) Amplification by primer PZE-3. (C) Amplification by primer SYN-7. Green and red lines stand for female and male, respectively
The curves for progenies in Pop 2 were discriminated by two (PZE-2 and SYN-7) of three pairs of the primers, which were selected in the parents (Fig. 5). One pair of primer failed due to no distinction in the melting peaks. Furthermore, some individuals were gathered with the male parent, while the others were gathered with another parent, which were clear. For primer SYN-7, the curves for the 29 offspring were near to the male parent, while 24 individuals were near to the female parent. The green, red and grey lines refer to the female parent, male parent and the F6 progenies, respectively. Furthermore, 19 and 34 individuals were close to the pollen and the female parent, respectively, separately for PZE-2. Moreover, the melting curves were characterized by peaks of 83.27°C and 83.53°C for PZE-2, respectively, and 78.65°C and 78.87°C for SYN-7, respectively (data not shown). Pop 2 distinguished the two genotypes at temperatures between approximately 78.30°C and approximately 79.90°C, respectively, and between approximately 82.60°C and approximately 84.80°C, respectively, by SYN-7 and PZE-2.

Figure 5: 53 progenies were shown with two markers for HRM analysis in Pop 2. (A) Amplification by primer PZE-2. (B) Amplification by primer SYN-7. Green, red and grey lines stand for female, male and their F6 progenies, respectively
3.4 HRM Analysis of the Population of Maize Inbred Lines
With the increasing application of the GWAS method, more and more natural populations have been recently used. Hence, it is necessary to evaluate the usefulness of HRM in this kind of populations. The results have revealed that the curves for Pop 3 were successfully identified by primer SYN-13. Furthermore, 48 (blue lines) and 27 (pink lines) inbred lines were separated by this pair of primers (Fig. 6). This population was distinguished between approximately 78.00°C and approximately 79.70°C (Fig. 6A). Two groups (blue and pink) exhibited a high and narrow melting curve, which was characterized by the peaks of 78.97°C and 78.71°C, respectively (Fig. 6B). The data in Tab. 2 lists the average plant height for every line, with a standard deviation (SD) of <10 cm, and the group of blue and pink lines were derived from Fig. 6. This was 80% of the matching rate, when compared to the data obtained from the phenotypic characters measured in the field for plant height (Tab. 2), which was according to the four control lines and the limited plant height of 190 cm. This suggests that the marker may be correlated to the trait of the plant height in maize.

Figure 6: 75 inbred lines amplified by primer SYN-13 are shown by high resolution melt analysis and melt curve analysis. (A) High resolution melt analysis for Pop 3. (B) Melt curve analysis for Pop 3

A simple and efficient method was developed for the HRM assay in the present study, and the curves of three populations that consisted of maize inbred lines were all discriminated by six pairs of primers, indicating that this is a better approach for the breeding and research of maize.
HRM analysis is a method that has been widely used in clinical chemistry and other fields since it was invented in 2003 [30], and this has recently been introduced into the genotyping of crop plants including rice [31–33]. HRM analysis is performed with DNA amplicons post-PCR without additional processing and data analysis, and this can be automatically achieved automatically in a few minutes [13]. The simplicity, robustness and high-throughput of HRM analysis is of particular importance for marker-assisted breeding where hundreds of thousands of plants need to be genotyped in a timely and cost-effective way.
The common reagent method based on HRM is a rapid and cost-effective assay for genotyping on three types of populations. Common reagents have been utilized for HRM techniques in several studies, such as mutation scanning [34], methylation profiling [35], and genotyping [36]. In the present study, the HRM analysis of PCR products amplified with the presence of LC Green was tested in maize, and the polymorphism of SNPs was identified. This is consistent with the results reported by Leonor et al. [14]. This shows that LC Green was adopted as a saturated dye and as the dye in the kit for the HRM analysis (Fig. 1). Furthermore, even the common PCR effect was sometimes better than the kit (Fig. 1D), in terms of lower price. In the present study, the kit can be replaced by a common reagent for genotyping in maize, which can be an inexpensive and efficient method for genotyping.
HRM analysis is a closed-tube method for the rapid analysis of genetic variations within PCR amplicons [14]. Upon completion of the PCR in the presence of a saturating intercalating dye, such as LC Green, which binds to double-stranded but not single-stranded DNA, the PCR product is heated while the level of fluorescence is measured. As the temperature rises and the duplex melts, the dye is released, and the fluorescence intensity is reduced. Genetic variants with differences in base composition result in differences in melting temperature, which are detected by monitoring the fluorescence during the increase in temperature, and discriminated by their characteristic melting curves, and visualized by the loss of fluorescence, as the DNA duplex melts. The HRM technique can detect all single base changes, with A/T conversions being the most difficult to detect [36,37], requiring high precision instrumentation for temperature control. Differences in amplicon Tm continued to result from different nearest-neighbor interactions, with bases next to the SNP site, but these are usually at 0.40°C [36]. In the present study, the difference in melt temperatures of 0.42°C and 0.20°C for primers PZE-2 and SYN-7, respectively, was based on the genotyping results of parents in Pop 2. This confirms the T/C transition in PZE-2 and the G/A transition in SYN-7, according to the data of the SNP chip. SNPs and INDELs are responsible for the different melting behaviors of amplicons [38]. For SYN29739, the progenies differed by 0.22°C and 0.85°C in melting temperature in Pops 2 and 3, respectively. This suggests that the amplicon contained other SNPs or INDELLs that affected the difference.
The size of the PCR product is a key point for the HRM assay. In the present study, PCR products of 58–400 bp were generated by the HRM analysis (Tab. 1). The melting curves were separated for PCR products of 70–300 bp, which is consistent with the report of Reed et al. [39], in which amplicons for SNP genotyping at 300 bp or less were without error. Although these were not obviously smaller than the amplicon, the amplicon size of 364 bp (Fig. 2C) was discriminated against through normalized melting curves. This suggests that the HRM analysis requires an amplicon size of 400 bp or less to identify the normalized melting curves for these populations.
Linkage population and natural population were both genotyped by SNP markers in the present study, while most articles report linkage populations in ryegrass, barley and almond [19,22,23]. Genotyping using HRM analysis has been rarely applied in natural populations of maize. The SNPs in linkage populations, which include Pops 1 and 2, could be identified in the present study. Pop 1 was a backcross population, and all individuals had the same genetic background as the recurrent parent. This result was consistent with this, except for Primer 2 (Fig. 4A). This indicates that the region of Marker 2 was derived from the non-recurrent parent. Pop 2 was a RIL population, and the curves were correctly distinguished, because plants were selected according to the male and female trait (Fig. 5). Pop 3 was a natural population, which consisted of 75 root inbred lines in different sources, such as popcorn, normal corn, sweet corn, etc. Four control inbred lines (H21 and LX9801) were taller lines, while FeiLB-3and 11N597 were shorter lines. This was based on the data reported by Jiaozhou and Zaozhuang from China (2015 and 2016, respectively), in which the pairwise were assigned into two groups with other lines. This result demonstrates that the HRM technique is a highly efficient SNP genotyping method for detecting both the linkage population and natural populations in maize.
SYN-13 (rs129618901) is a SNP locus located in Chromosome 4:2840426, and is referred to as the left flanking marker of q1PH4-1, which contributes 7.21% to the plant height phenotypic variance, according to the study conducted by Ku et al. [40]. Plant height is a very important agronomic trait related to population density and lodging in maize [41], and stalk lodging causes maize yield losses, which is estimated to be within the range of 5%–20% annually, worldwide [42]. Studies have shown that plant height is strongly controlled by multiple genes with low effect [41], and influenced by the amount of precipitation. The data was collected from three test fields in 2016 in this experiment. An 80% matching-rate between SYN-13 with the phenotypic data of plant height was found. This would be helpful for the research on plant height and yield increase in maize.
The present study, we developed an HRM technique for SNP gene analysis in maize, and the curves of three populations that consisted of maize inbred lines were all discriminated by six pairs of primers. Furthermore, the conditions for the maize high-throughput genotyping were optimized, which offered an efficient scheme for HRM analysis. Moreover, an SNP marker correlated with plant height was developed. These would further contribute to maize breeding programs. As increasing DNA sequence information becomes available, HRM would be a cost-effective and valuable method for SNP genotyping, biodiversity analysis, and gene mapping.
Funding Statement: This work was supported by the National Natural Science Foundation of China (31371636), Key R&D Project in Shandong Province (2016GNC110018) and Applied Basic Research Project of Qingdao (14-2-4-13-jch), “The Innovation Team in Maize” Modern Agricultural System of Shandong Province (SDAIT-02-01), Improved Seed Engineering in Shandong Province (2019LZGC002) and National Natural Science Foundation of China (31201218).
Conflicts of Interest: The authors declare that they have no conflicts of interest to report regarding the present study.
1. Liu, J., Fernie, A. R., Yan, J. B. (2020). The past, present, and future of maize improvement: Domestication, genomics, and functional genomic routes toward crop enhancement. Plant Communications, 1(1), 2590–3462. DOI 10.1016/j.xplc.2019.100010. [Google Scholar] [CrossRef]
2. Manimekalai, R., Suresh, G., Kurup, H. G., Athiappan, S., Kandalam, M. (2020). Role of NGS and SNP genotyping methods in sugarcane improvement programs. Critical Reviews in Biotechnology, 40(6), 865–880. DOI 10.1080/07388551.2020.1765730. [Google Scholar] [CrossRef]
3. Taheri, S., Abdullah, T. S., Jain, S. M., Sahebi, M., Azizi, P. (2017). TILLING, high-resolution melting (HRMand next-generation sequencing (NGS) techniques in plant mutation breeding. Molecular Breeding, 37(3), 1–23. DOI 10.1007/s11032-017-0643-7. [Google Scholar] [CrossRef]
4. Noh, Y. H., Lee, S., Whitaker, V. M., Cearley, K. R., Cha, J. S. (2016). A high-throughput marker-assisted selection system combining rapid DNA extraction high-resolution melting and simple sequence repeat analysis: Strawberry as a model for fruit crops. Journal of Berry Research, 7(1), 23–31. DOI 10.3233/JBR-160145. [Google Scholar] [CrossRef]
5. Imam, J., Alam, S., Mandal, N. P., Variar, M., Shukla, P. (2013). Molecular screening for identification of blast resistance genes in North East and Eastern Indian rice germplasm (Oryza sativa L.) with PCR based makers. Euphytica, 196(2), 199–211. DOI 10.1007/s10681-013-1024-x. [Google Scholar] [CrossRef]
6. Lu, J., Hou, J., Ouyang, Y. D., Luo, H., Zhao, J. H. et al. (2020). A direct PCR-based SNP marker-assisted selection system (D-MAS) for different crops. Molecular Breeding: New Strategies in Plant Improvement, 40(1), 555–561. DOI 10.1007/s11032-019-1091-3. [Google Scholar] [CrossRef]
7. Raizada, A., Souframanien, J. (2020). SNP genotyping and diversity analysis based on genic-SNPs through high resolution melting (HRM) analysis in blackgram [Vigna mungo (L.) Hepper]. Genetic Resources and Crop Evolution, 68, 1–13. DOI 10.1007/s10722-020-01064-6. [Google Scholar] [CrossRef]
8. Yermekbayev, K., Griffiths, S., Chhetry, M., Leverington-Waite, M., Orford, S. et al. (2020). Construction of a genetic map of RILs derived from Wheat ( T. aestivum L.) varieties Pamyati azieva × paragon using high-throughput snp genotyping platform KASP—Kompetitive allele specific PCR. Russian Journal of Genetics, 56(9), 1090–1098. DOI 10.1134/S102279542009015X. [Google Scholar] [CrossRef]
9. Labate, J. A., Glaubitz, J. C., Havey, M. J. (2020). Genotyping by sequencing for SNP marker development in onion. Genome, 63(12), 607–613. DOI 10.1139/gen-2020-0011. [Google Scholar] [CrossRef]
10. Raizada, A., Souframanien, J. (2019). Transcriptome sequencing, de novo assembly, characterisation of wild accession of blackgram (Vigna mungo var. silvestris) as a rich resource for development of molecular markers and validation of SNPs by high resolution melting (HRM) analysis. BMC Plant Biology, 19(1), 23. DOI 10.1186/s12870-019-1954-0. [Google Scholar] [CrossRef]
11. Ying, S., Mu, L., Ping, H. (2014). Single nucleotide polymorphism and its utilization in plant research. Hans Journal of Agricultural Sciences, 4(3), 60–65. DOI 10.12677/HJAS.2014.43010. [Google Scholar] [CrossRef]
12. Semagn, K., Babu, R., Hearne, S., Michael, O. (2014). Single nucleotide polymorphism genotyping using Kompetitive Allele specific PCR (KASPOverview of the technology and its application in crop improvement. Molecular Breeding, 33(1), 1–14. DOI 10.1007/s11032-013-9917-x. [Google Scholar] [CrossRef]
13. Galuszynski, N. C., Potts, A. J. (2020). Application of high-resolution melt analysis (HRM) for screening haplotype variation in a non-model plant genus: Cyclopia (Honeybush). PeerJ, 8(6943), e9187. DOI 10.7717/peerj.9187. [Google Scholar] [CrossRef]
14. Leonor, P., Sónia, G., Sara, B., Ramiro, F. J., Paula, M. L. (2018). Applying high-resolution melting (HRM) technology to olive oil and wine authenticity. Food Research International, 103(5), 170–181. DOI 10.1016/j.foodres.2017.10.026. [Google Scholar] [CrossRef]
15. Chen, R., Chang, L. C., Cai, X., Wu, J., Liang, J. L. et al. (2020). Development of InDel markers for brassica rapa based on a high-resolution melting curve. Horticultural Plant Journal, 7(1), 31–37. DOI 10.1016/j.hpj.2020.05.003. [Google Scholar] [CrossRef]
16. Lagiotis, G., Stavridou, E., Bosmali, I., Osathanunkul, M., Haider, N. et al. (2020). Detection and quantification of cashew in commercial tea products using high resolution melting (HRM) analysis. Journal of Food Science, 85(6), 1629–1634. DOI 10.1111/1750-3841.15138. [Google Scholar] [CrossRef]
17. Arias Aguirre, A., Studer, B., Do Canto, J., Frei, U., Lübberstedt, T. (2014). Validation of two models for self-incompatibility in autotetraploid perennial ryegrass using high resolution melting-based markers. Plant Breed, 133(6), 765–770. DOI 10.1111/pbr.12207. [Google Scholar] [CrossRef]
18. Chagne, D., Gasic, K., Crowhurst, R. N., Han, Y., Bassett, H. C. et al. (2008). Development of a set of SNP markers present in expressed genes of the apple. Genomics, 92(5), 353–358. DOI 10.1016/j.ygeno.2008.07.008. [Google Scholar] [CrossRef]
19. Croxford, A. E., Rogers, T., Caligari, P. D., Wilkinson, M. J. (2008). High-resolution melt analysis to identify and map sequence-tagged site anchor points onto linkage maps: A white lupin (Lupinus albus) map as an exemplar. New Phytologist, 180(3), 594–607. DOI 10.1111/j.1469-8137.2008.02588.x. [Google Scholar] [CrossRef]
20. De, K. D., Douglass, K., Murphy, A., Whitney, S., Nolan, L. et al. (2009). Application of high-resolution DNA melting for genotyping and variant scanning of diploid and autotetraploid potato. Molecular Breed, 25, 67–90. DOI 10.1007/s11032-009-9309-4. [Google Scholar] [CrossRef]
21. Maker, E., Lukas, B., Novak, J. (2008). A strategy to setup codominant microsatellite analysis for high-resolution-melting-curve-analysis (HRM). BMC Genetics, 9, 69–76. DOI 10.1186/1471-2156-9-69. [Google Scholar] [CrossRef]
22. Wu, S. B., Franks, T. K., Hunt, P., Wirthensohn, M. G., Gibson, J. P. et al. (2009). Discrimination of SNP genotypes associated with complex haplotypes by high resolution melting analysis in almond: Implications for improved marker efficiencies. Molecular Breeding, 25(2), 351–357. DOI 10.1007/s11032-009-9324-5. [Google Scholar] [CrossRef]
23. Charikleia, P., Konstantina, Z., Panayiotis, T., Vasileios, P. (2020). High resolution melting (HRM) genotyping in the genus origanum: Molecular identification and discrimination for authentication purposes. Biochemical Genetics, 58(5), 725–737. DOI 10.1007/s10528-020-09970-1. [Google Scholar] [CrossRef]
24. Fu, X. F., Pei, J. X., Zheng, Y. T., Guo, D. D., Xu, S. C. (2020). DNA Fingerprinting of vegetable soybean cultivar ‘Zhexian No. 9’ using 101 new developed HRM-based SNP markers. Legume Research, 43(1), 8–17. DOI 10.18805/LR-456. [Google Scholar] [CrossRef]
25. Venables, S. J., Mehta, B., Daniel, R., Walsh, S. J., van Oorschot, R. A. et al. (2014). Assessment of high resolution melting analysis as a potential SNP genotyping technique in forensic casework. Electrophoresis, 35(21–22), 3036–3043. DOI 10.1002/elps.201400089. [Google Scholar] [CrossRef]
26. Li, D. D., Xu, Z. X., Gu, R. L., Wang, P. X., Demar, L. (2019). Enhancing genomic selection by fitting large-effect SNPs as fixed effects and a genotype-by-environment effect using a maize BC1F3: 4 population. PLoS One, 14(10), e0223898. DOI 10.1371/journal.pone.0223898. [Google Scholar] [CrossRef]
27. Ben, A. S. E., Madi, Z. E., Hochegger, R., Quist, D., Prewein, B. et al. (2014). Mutation scanning in a single and a stacked genetically modified (GM) event by real-time PCR and high resolution melting (HRM) analysis. International Journal of Molecular Sciences, 15(11), 19898–19923. DOI 10.3390/ijms151119898. [Google Scholar] [CrossRef]
28. Wang, Q., Shen, X. X., Qiu, T., Wu, W., Li, L. et al. (2021). Evaluation and application of an efficient plant DNA extraction protocol for laboratory and field testing. Journal of Zhejiang University-Science B (Biomedicine & Biotechnology), 22(2), 99–113. DOI 10.1631/JZUS.B2000465. [Google Scholar] [CrossRef]
29. Clarke, K. R., Gorley, R. N. (2001). Primer v5: User manual/tutorial. PRIMER-E, Plymouth Marine Laboratory, UK. [Google Scholar]
30. Bonants, P. J. M., Carroll, G. C., Weerdt, M., Brouwershaven, I. R., Baayen, R. (2003). Development and validation of a fast PCR-based detection method for pathogenic isolates of the citrus black spot fungus, Guignardia citricarpa. European Journal of Plant Pathology, 109(5), 503–513. DOI 10.1023/A:1024219629669. [Google Scholar] [CrossRef]
31. Wu, S. B., Wirthensohn, M., Hunt, P., Sedgley, M., Gibson, J. (2008). High resolution melting analysis of almond SNPs derived from ESTs. Theoretical and Applied Genetics, 118(1), 1–14. DOI 10.1007/s00122-008-0870-8. [Google Scholar] [CrossRef]
32. Li, J. S., Wang, X. M., Dong, R. X., Yang, Y., Zhou, J. et al. (2011). Evaluation of high-resolution melting for gene mapping in rice. Plant Molecular Biology Reporter, 29(4), 979–985. DOI 10.1007/s11105-011-0289-2. [Google Scholar] [CrossRef]
33. Koeyer, D. D., Douglass, K., Murphy, A., Whitney, S., Nolan, L. et al. (2010). Application of high-resolution DNA melting for genotyping and variant scanning of diploid and autotetraploid potato. Molecular Breeding, 25(1), 67–90. DOI 10.1007/s11032-009-9309-4. [Google Scholar] [CrossRef]
34. Daniela, Z., Petra, L., Vladimir, G., Martin, M., Jiri, Z. et al. (2016). MECP2 mutations in Czech patients with Rett syndrome and Rett-like phenotypes: Novel mutations, genotype-phenotype correlations and validation of high-resolution melting analysis for mutation scanning. Journal of Human Genetics, 61(Suppl 1), 617–625. DOI 10.1038/jhg.2016.19. [Google Scholar] [CrossRef]
35. Le, A. V., Szaumkessel, M., Tan, T. Z., Thiery, J. P., Erik, W. et al. (2018). DNA methylation profiling of breast cancer cell lines along the epithelial mesenchymal spectrum—Implications for the choice of circulating tumour DNA methylation markers. International Journal of Molecular Sciences, 19(9), 2553. DOI 10.3390/ijms19092553. [Google Scholar] [CrossRef]
36. Rosa, M. G., Sergio, G., Etienne, P., Gabriel, D., Laura, P. et al. (2020). High resolution melting and insertion site-based polymorphism markers for wheat variability analysis and candidate genes selection at drought and heat MQTL Loci. Agronomy, 10(9), 1294. DOI 10.3390/agronomy10121924. [Google Scholar] [CrossRef]
37. Leonor, P., Sónia, G., Sara, B., Ramiro, F. J., Paula, M. L. (2018). Applying high-resolution melting (HRM) technology to olive oil and wine authenticity. Food Research International, 103(5), 170–181. DOI 10.1016/j.foodres.2017.10.026. [Google Scholar] [CrossRef]
38. Deryckere, D., De Keyser, E., Eeckhaut, T., Van Huylenbroeck, J., Van Bockstaele, E. (2013). High resolution melting analysis as a rapid and highly sensitive method for cichorium plasmotype characterization. Plant Molecular Biology Reporter, 31(3), 731–740. DOI 10.1007/s11105-012-0547-y. [Google Scholar] [CrossRef]
39. Reed, G. H., Wittwer, C. T. (2004). Sensitivity and specificity of single-nucleotide polymorphism scanning by high-resolution melting analysis. Clinical Chemistry, 50(10), 1748–1754. DOI 10.1373/clinchem.2003.029751. [Google Scholar] [CrossRef]
40. Ku, L., Zhang, L., Tian, Z., Guo, S., Su, H. et al. (2015). Dissection of the genetic architecture underlying the plant density response by mapping plant height-related traits in maize (Zea mays L.). Molecular Genetics and Genomics, 290(4), 1223–1233. DOI 10.1007/s00438-014-0987-1. [Google Scholar] [CrossRef]
41. Li, X., Zhou, Z., Ding, J., Wu, Y., Zhou, B. et al. (2016). Combined linkage and association mapping reveals qtl and candidate genes for plant and ear height in maize. Frontiers in Plant Science, 7, 833–843. DOI 10.3389/fpls.2016.00833. [Google Scholar] [CrossRef]
42. Xue, J., Gao, S., Fan, Y. H., Li, L. L., Ming, B. et al. (2020). Traits of plant morphology, stalk mechanical strength, and biomass accumulation in the selection of lodging-resistant maize cultivars. European Journal of Agronomy, 117, 126073. DOI 10.1016/j.eja.2020.126073. [Google Scholar] [CrossRef]
![]() | This work is licensed under a Creative Commons Attribution 4.0 International License, which permits unrestricted use, distribution, and reproduction in any medium, provided the original work is properly cited. |