Journal of Renewable Materials | ![]() |
DOI: 10.32604/jrm.2021.013269
ARTICLE
Bonding Mechanism of Bamboo Particleboards Made by Laccase Treatment
1Zhejiang Provincial Key Lab of Biological and Chemical Utilizing of Forest Resources, Zhejiang Forestry Academy, Hangzhou, 310023, China
2School of Engineering, Zhejiang Agricultural and Forestry University, Hangzhou, 311300, China
*Corresponding Authors: Weigang Zhang. Email: 20091018@zafu.edu.cn; Xiaowei Zhuang. Email: zhuang413@sina.com
Received: 31 July 2020; Accepted: 15 October 2020
Abstract: Using 1–8 years bamboo as materials, the content of different chemical constituent was tested, and the reactive oxygen species (ROS) free radicals produced from laccase treated bamboo were detected by electron spin-resonance (ESR) spectroscope. The wet-process particleboard was made from laccase-treated bamboo by hot pressing and board mechanical properties including internal bond strength (IB), modulus of rupture (MOR) and thickness swelling (TS) after 2-hours water absorption were tested under different conditions. Results showed that laccase mainly catalyze the bamboo components and improved the bonding strength of laccase-treated boards. By ESR measurement on each single component such as milled bamboo lignin, xylan and pore cotton treated with laccase, it was proved that laccase helped the degradation of bamboo lignin to produce ROS free radicals and could not catalyze the oxidation of cellulose and hemicelluloses. A logarithmic function relationship was found between board mechanical properties and ROS free radical level. It is optimal to using 5-year-old bamboo for high efficient utilization. The laccase treatment improves the activity of bamboo particles participating in self-adhesion reaction.
Keywords: Bamboo particleboard; laccase; mechanical properties; ROS; ESR
Bamboo, a perennial lignified plant, is an important natural material in the world. Bamboo plants achieve their maximum height of 15~30 m in 24 months and reach full maturity in about 3~8 years [1]. Bamboo is widely used as raw material for furniture, construction, handicrafts and pulp because of its rapid growth rate, excellent specific strength, easy machinability and resource richness. A variety of products of bamboo such as, panels, floors, plywood, particleboards and curtain plywood, are favored by the world markets. However, the present technology of bamboo floorings leads to a lot of processing residues such as, bamboo particles, sanding powder, etc. Nowadays, bamboo products manufacturers use the processing residues to make particleboard. The traditional method of using urea-formaldehyde or phenolic-formaldehyde resin adhesive to produce panel had problems of generation of harmful gases such as, formaldehyde and phenol [2]. Enforcement of stringent environmental standards has increased the demand of environment friendly products.
Therefore, the research on exploration of environment friendly products and/or reduce the emission of harmful gases is more and more significant. Using laccase to make wood-based boards can reduce the adhesiveas usage as well as can reduce emissions of harmful gases [3]. Kharazipour et al. [4,5] used a phenoloxidase enzyme such as laccase to prepare fiberboard. Felby et al. [6] used laccase to activate the wood fiber and prepared improved quality fiberboard. Widsten et al. [7,8] found that laccase can catalyze the oxidation of the phenolic groups of lignin to phenoxy radicals by molecular oxygen and the oxygen, in turn, gets reduced to water. Zhang et al. [9] made wheat straw particleboard with a UF resin by three kinds of enzyme pretreatment. Cao et al. [10] used ESR estimate the activity of the ROS free radicals. Zhou et al. [11] adopted the method of spin trap PBN and organic solvent layer to determine ROS generated during laccase catalyzed oxidation of wood fibers from Chinese fir (Cunninghamia lanceolata). Lan et al. [12] made wood particleboard and passed relevant international standard specifications by using condensed tannins extraction from grape pomace as resin. Mansouri et al. [13] made particleboard and two types of plywood and passed the relevant interior standards by using synthetic-resin-free wood panel adhesives from mixed low molecular mass lignin and tannin. Valenzuela et al. [14] reported the industrial particleboard and MDF production and trial results obtained over a period of nine years using pine tannin adhesives in Chile.
In recent years, many scholars have made wood-based panels by enzymatic method and tested their properties. Wang et al. [15] have used laccase to treat pleioblastus amarus bamboo with different ages and found that the older bamboo led to more ROS free radical. Jeong et al. [16] adopted the method of cohesin–dockerin interaction to successfully generate laccase complex and the assembled complexes caused a significant increase in the level of enzyme activity. A review article on Wood products and green chemistry was published by Pizzi [17]. Euring et al. [18] found that the addition of technical lignin intensified the fiber to fiber bindings and that the Lignin-laccase-mediator-systems treated MDF have higher dimension stabilities than only Laccase-mediator-systems treated MDF and approximately the same thickness swelling after 24 h. Filgueira et al. [19] used the laccase treatment grafting of condensed tannins and hydroxypropylated tannins on beech wood surfaces and provided new properties of the functionalization of lignocellulosic materials. Yang et al. [20] adopted wheat straw fibers to make binderless fiberboards by laccase pretreatment and the optimized process parameters were obtained. Sarma et al. [21] identify potential laccase producing fungi and find that I. pachyphloeus as a potent lignin degrader which can be further exploited for the development of clean technologies for paper and pulp industries.
The objective of this study was to find the source of ROS free radical generated during bamboo-laccase treatment and effects of ROS free radicals on the board mechanical properties. Furthermore, the FTIR and NMR analysis on the bamboo materials sampled in the laccase-treated process was obtained and the bonding mechanism of the laccase-treated bamboo particleboard was discussed.
Aspergillus laccase was obtained from Novozyme China Investment Co., Ltd, Denmark. An aqueous solution of laccase was prepared with an enzyme activity of 362.8 U/ml. 1 U of enzyme activity is defined as the amount of enzyme which under standard conditions can oxidizes 1 μmol 2,2’-azinobis (3-ethylbenzthiazoline-6-sulfonate (ABTS) per minute in sodium tartaric/tartaric acid buffer at pH 4.0 and 30°C. Shinadsu UV-2501 ultraviolet and visible spectrophotometer was used for measurement at a wavelength of 420 nm.
Bamboo powders with different age: Phyllostachys pubescen culms with similar diameter of 28 cm at breast height of 1.2 m (DBH) were sampled and collected from Sankou Town, Hangzhou City (30°05’N 119°45’E), China. The north direction and bamboo age were recorded and divided into different experimental sets. The bamboo sets with age between 1 to 8 years and length of about 18 m, were selected and cut into the size of 10 mm (length) × 5 mm (width) × t mm (thickness) from bottom of each culm. The bamboo culms were milled to powders with diameter <0.25 mm and then dried with the lab oven to a moisture content of approximately 10%.
Bamboo particles: Phyllostachys pubescen particles, the processing residues from the production line, were supplied by Hangzhou Baifu Bamboo Flooring Co., Ltd. The bamboo age is mixed by several years, and usually 4–6 years make up a large majority. The particles under the same batch processing were dried with the factory drying kiln to a moisture content of around 8.4% .
Bamboo powders were treated with aqueous dioxane, and the extract was dried and ball-milled to isolate milled bamboo lignin (MBL) according to the method described by Björkman [22]. Xylan from beechwood with moisture content of 8.9% was supplied by Sigma–Aldrich Inc., Shanghai, China. The moisture content of pure cotton linters with 20 μm type is 10.2% and it was supplied by Sigma–Aldrich Inc., Shanghai, China. MBL, xylan and pure cotton was milled to powders with diameter <0.25 mm. The spin trap PBN and ABTS were supplied by Sigma–Aldrich Inc., Beijing. Copper sulfate, disodium hydrogen phosphate, citric acid and ethyl acetate were purchased from Hangzhou.
Laccase treatment Bamboo powders, with different ages of 1–8 years, were treated with laccase under the following conditions: laccase dosage of 30 U/g dry bamboo powders, pH 4, incubation of 2 h, incubation temperature of 60°C, and Cu2+ concentration of 20 mM. MBL, xylan and pure cotton was treated under the above condition. For the bamboo particles, a series of 25 experiments were performed by changing 5 parameters and the experimental conditions were presented in Tab. 1. All samples after laccase treatment were measured by ESR spectrometry.
Table 1: Laccace treatment conditions

ESR measurement ESR measurements were performed by a spectrometer (200 DSRC; Brucker Instruments, Germany) at room temperature of 25°C. The PBN–ROS complex in the organic solvent layer was measured using a 2.5 mm internal diameter quartz tube. The volume of organic layer used during measurement was 60 μl. The ESR detection was carried out with the following conditions: X-band, 100 kHz modulation with 3.2 G amplitude, 20 mW of microwave power, 3 385 G of central magnetic field, 400 G of scan width, 0.3 s of time constant, and 4 min of scan time. Unless otherwise stated, all of the ESR measurements described in this paper were conducted under the above conditions. The height of the triplet hyperfine structure, namely the three peaks in each ESR signal, was taken as the ROS free radicals level (mm). Each test was repeated at least thrice.
Chemical analysis For all 8 different age bamboo samples, contents of the total lignin (acid-insoluble lignin and acid-soluble lignin), pentosan and holocellulose were determined according to the method in Chinese standards. The standards are as follows: GB/T 2677.8-94 Test Method for the determination of acid-insoluble lignin (Klason); GB/T 10337-89 Test Method for the determination of acid-soluble lignin; GB/T 2677.9-94 Test Method for the determination of pentosan; GB/T 2677.10-1995 Test Method for the determination of holocellulose.
Board making and properties test Bamboo particle with moisture content 8.4% for making board was selected by sieving with 10 to 40 meshes griddle, corresponding to the diameter of 2 mm to 0.425 mm. For each condition in Tab. 1, bamboo particles after laccase treatment were drained by manual preloading, fluffed out, and formed into a mat on a filter screen. In order to discharge the water vapor produced by hot-press process, the shaped slab was kept between two wire nets with hole with diameter = 0.25 mm. The mat was pressed at a surface temperature of 200°C and a mat core temperature of 140°C, applying 3.0 MPa pressure with thickness gauge to form board of dimension of 20 cm × 20 cm × 10 mm and a target density of 0.70 g/cm3. The boards were tested for their mechanical properties such as IB & MOR, and their dimensional stability of TS, according to Chinese standard GB/T 17657-2013 Test methods of evaluating the properties of wood-based panels and surface decorated wood-based panels. Board making under each condition was repeated at least thrice.
FTIR and NMR analysis The bamboo powder before and after laccase modification were collect as samples and dried at 50°C for 24 h in vacuum for FTIR and NMR analysis. The presence of functional groups in the samples was confirmed through fourier transform infrared spectroscopy (Spectrum One, PerkinElmer, USA). The structure of bamboo powder was characterized by 13C-NMR spectrum (Elementar Analysensysteme GmbH, Germany) with dimethyl sulfoxide (DMSO-dg) as solve. The solid-state 13C test conditions were as follows: the rotor diameter was 7 mm, the spectral frequency was 75.5 MHz, the rotation frequency was 5 000 Hz, the contact time was 2 ms, and the cycle delay time was 2.5 s.
3.1 Effect of Chemical Composition on the ROS Free Radicals Level
Several techniques have been previously used to detect and measure the free radical intermediates generated during the reaction of laccase with wood fibers and isolated lignin [23,24] . The amount of free radicals formed after laccase and peroxidase treatment with milled wood lignin was measured [25]. Researchers have reported the amount of radicals in green wood, chemical pulps and technical lignin [26,27]. ESR measurement is considered as the most direct and efficient technique currently available for detection and measurement of free radicals [11]. However, the superoxide free radical could not be detected by the ESR spin-trapping technique using DMPO but by the cytochrome c assay, while they quantized the amount of phenoxy-type radicals generated in the suspension liquid and on the solid fiber subject to laccase treatment [28]. Most of the free radicals generated in the enzymatic reaction generally show a very lively chemical property due to the presence of unpaired electrons and is unstable. The ESR spin trapping technique using PBN could successfully capture the presence of ROS generated by laccase during lignin-laccase interaction [10,29]. Thus by using ESR spin trap PBN, even low concentrations of ROS intermediates formed by the laccase-bamboo interaction were determined. Different ages phyllostachys pubescen were used to investigate the effect of chemical composition on ROS levels during the laccase-bamboo system.

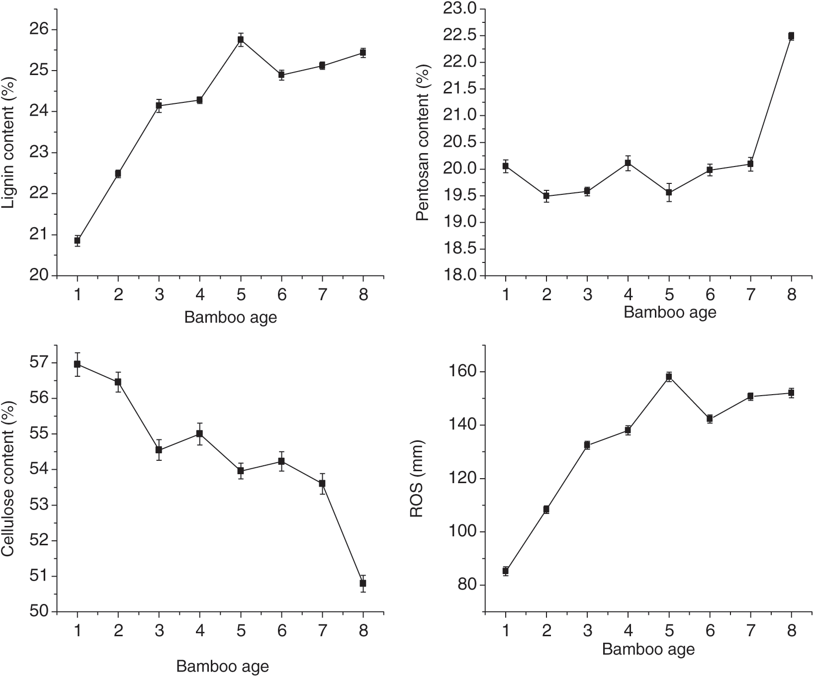
Figure 1: Content of chemical composition and ROS free radicals level of different age bamboo
The optimum age of phyllostachys pubescen bamboo was 5-years (Fig. 1), with a highest content of lignin, generating the maximum ROS free radicals during the laccase-bamboo system, which was similar to the result of pleioblastus amarus bamboo [15]. Certain change laws of variation of chemical compositions with age increasing for phyllostachys pubescen bamboo were reported [30,31]. The ROS free radicals level had a similar change law with lignin content. There was no obvious correction presented between cellulose contents and ROS level. The relationship between the pentosan content and the ROS level was not obvious. This showed that laccase mainly help the de-polymerization of lignin to produce ROS free radicals. The improved bonding strength of laccase- treated boards without glue was mainly caused by enzyme catalytic on lignin.
3.2 ROS Free Radicals Produced from Laccase-Treated Single Component
MBL, pure cotton, and xylan respectively represent bamboo lignin, cellulose and hemicelluloses. To obtain direct evidence on the mechanism of laccase activation of which part of bamboo, three main components including MBL, pure cotton and xylan were treated by laccase. The ROS free radicals produced were measured by ESR, the intensity of ROS signal was showed by measuring the height of the peak [29] and the results were showed in Fig. 2.

Figure 2: ESR signals of MBL (a), xylan (b), and pure cotton (c) produced by laccase treatment
The ESR spectrum on the surface of xylan and cotton had no hyperfine structure (Fig. 2) and was similar to that obtained on laccase-treated beech wood fibers (Felby et al. 1997) [28]. ESR spectrum of wood fibers does not show any hyperfine structure due to the heterogeneous chemical structure of fiber [10]. Felby et al. [6] reported the g-value of (2.0038) which was similar to that of phenoxy radicals generated during laccass treatment. The g values of the radical species in the suspension liquid were equal to the findings [29,32] of the signal of PBN-ROS. Radicals generated in the suspension liquids of MBL were identified to be ROS free radicals. Spectra were also similar to the spectra of ROS radicals reported by Cao et al. [10] and Zhou et al. [11]. A strong ESR signal of ROS free radicals were detected only in the reaction system of MBL-laccase. Both the ESR spectra of pure cotton-laccase and xylan-laccase showed that nearly no ROS or only trace amounts ROS signal could be detected when laccase treating (Fig. 2). This firstly proved that ROS free radicals were produced only from lignin compound catalyzed by laccase, and cellulose/hemicelluloses hardly have chemical reaction with laccase.
Macromolecules of long-chain hydrocarbon in laccase treatment process of MBL were cut into small molecules of short-chain hydrocarbons, and the ring structures of lignin cleaved gradually to form hydroxyl, ethylene groups and carboxyl groups. With further degradation of lignin by laccase, the products with small molecules of short-chain hydrocarbon compounds declined. In this process, all the ROS radicals, such as phenoxy radicals, hydroxyl radicals, and superoxide anion radicals, were generated [11]. It has been suggested that enzymatic catalyzed bonding was linked to the oxidative generation of stable radicals in lignin and the radicals can cause cross-linking or loosening of the lignin structure [28,33]. It was also reported that the fiber lignin during laccase treatment was depolymerized via cleavage of β-O-4 ether linkages connecting the lignin phenylpropane units, leading to the formation of phenoxy radicals [6−8]. Thus, a laccase-catalyzed oxidation reaction involving ROS-mediated for bamboo can be described that laccase attacked on the part of lignin accessible for the enzyme and solubilized the low-molecular mass lignin which function as reactive compounds like adhesives, clinging back to the bamboo surface and bonding to board when hot-pressed [15]. We can deduce that in hot-press process higher level ROS free radicals means bamboo particle surface producing more phenolic hydroxyl groups, which enhanced the occurrence probability to produce glue bonding similar to PF glue chemical reaction and to improve board bonding.
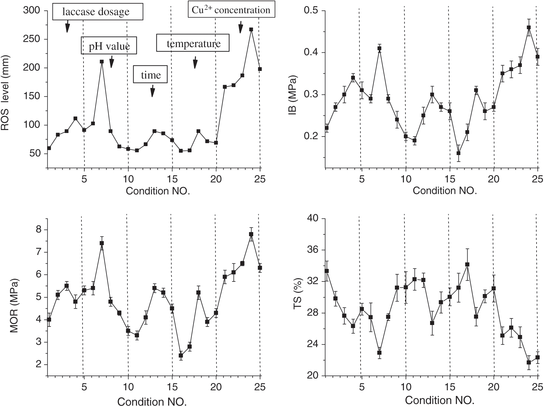
3.3 Effect of Laccase Treatment Condition on Particleboard Properties and ROS Level
Laccase-lignin chemical reaction can reach to maximum activation under the optimum parameters laccase dosage, pH, temperature, time and concentration of enzyme activator Cu2+. To prove the above deduction, ROS free radicals formed under different conditions (Tab. 1) were detected by ESR, and respectively under each same condition, laccse-treated bamboo particleboard were made and board properties (IB, MOR and TS) were tested. Fig. 3 showed that both mechanical properties (IB, MOR and TS) and ROS free radicals reached maximum value under the optimum conditions: laccase dosage of 30 U/g dry bamboo powder, pH value of 4, incubation of 2 h, incubation temperature of 60°C, and Cu2+ concentration of 30 mM.

Figure 3: Board properties and ROS free radicals level under different treatment condition
Widsten et al. [34] summarized that a number of papers dealing with the manufacturing of binderless fiberboard have been published during the past ten years. Kharazipour et al. [4] pointed out the possibility to utilize the bonding strength of enzymatically activated lignin for the production of wood composites. Muller et al. [35] researched the properties of fiber board obtained by activation of the middle lamella lignin of wood fibers with peroxidase and H2O2. However, role of ROS free radicals, in the properties of the wood-based composites (especially bamboo-based boards) was not studied and proved yet. In present experiments, ESR spectra of bamboo powder treated by laccase showed that various amounts of ROS free radicals were generated under different reaction conditions (Tab. 1), indicating the parameters of laccase treatment were vital for generating ROS free radicals. The connections between ROS free radicals and board mechanical properties showed logarithmic functions for IB/MOR/TS (Fig. 4). The correlation indexes were all above 0.9. Analysis of variance (ANOVA) indicated a significant difference in the mechanical properties of bamboo boards with different ROS free radicals level during laccase treatment P = 0.01. This implied that the ROS free radicals produced in the laccase treatment play a significant role in processing and manufacturing bamboo particleboard and giving self bonding force between bamboo particles.

Figure 4: Relation between ROS free radicals level and board mechanical properties (IB, MOR & TS)
As stated above, laccase oxidation of lignin monomers produced a multiplicity of different ROS radical species such as superoxide anion (O2-), hydroxyl radical (OH) and hydrogen peroxide (H2O2). The bonding force between bamboo particles and the ROS radicals located on particle surfaces were highly correlated. These radicals may participate in the polymerization at high pressure and high temperature when hot-pressed. This help hydrolysis products of cellulose and hemicelluloses cross-link with the degradation products of lignin, resulting glue polymer produced and self-bonding when the particles were pressed into boards. This was in agree with the results of previous works for wood-based board [5,7,8,28]. The contributions of condensation of hemicelluloses degradation products also were reported [36,37]. However, no ROS free radicals were detected for hemicelluloses and cellulose in Fig. 2, indicating the contribution to the bamboo particleboard were limited to the molecular interlinkage via hydrogen bonds on hemicelluloses.
Furthermore, the accompanied functional groups, such as phenoxy, hydroxyl, and aldehyde, occurred due to laccase oxidation and led to the chemical reaction similar to the phenolic glue in the hot pressing process. This functioned as adhesive substance and led to bonding the bamboo particles. The polycondensation of bamboo chemical components by laccase oxidation happened and consequently the improved bonding force between bamboo particles occurred. Therefore, IB and MOR of the bamboo particleboard increased with the increasing ROS free radicals. Besides, hydrophilic group on the surface of bamboo decreased when the amount of ROS free radicals increased, accordingly board TS declined. Widsten et al. [8] also suggested that a positive correlativity existed between the IB strength value of fiberboard and the concentration of free radicals with the amount of oxygen cost during reaction process. It can be suggested that the conclusion is suitable for other kinds of wood-based board regardless of the source of ROS free radicals. Moreover, it is a potential possibility to use the method of delectation the ROS free radicals by ESR to study and determine the technology parameters for manufacturing wood-based board.
3.4 Analysis on the Chemical Constitution and Structure in the Laccase-Catalyzed Oxidation
As shown in Fig. 5, the absorption peak of the O-H stretching vibration from the phenolic hydroxyl and alcohol hydroxyl was at 3443 cm-1. The peak intensity of the treated sample is lower than that of the untreated sample. The amount of active hydroxyl groups in the bamboo material during the laccase activation on bamboo lignin is much less, because there are many degraded active oxygen radicals in the laccase treatment solution. The results are in good agreement with the previous test of ROS free radical detection [15]. The absorption peak near 2925 cm-1 of the treated sample is the stretching vibration of saturated C-H bond; however the absorption peak of the untreated sample is not obvious, which indicates that the lignin unit decomposes after laccase treatment. The absorption peaks of 1655 cm-1 represent the C=C and C=O bond and its intensity of the absorption peak is higher than that of the sample before treatment. It is speculated that laccase treatment of lignin causes the destruction of conjugated double bond structure, and some oxidation or esterification reactions occur, resulting in some non-conjugated ketones or esters [38]. The absorption peaks of 1256 cm-1 and 1110 cm-1 were related to guaiacyl units, which was the main structural units of bamboo lignin.

Figure 5: FTIR spectra of bamboo powder sampled before and after laccase treatment
Fig. 6 shows the 13C-NMR spectra of bamboo powder sampled before and after laccase treatment. The C-γ, β-O-4 units of lignin molecular chain of untreated bamboo powder was shown at 55.93 ppm and 64.85 ppm. The C-α, β-β, C-β, β-O-4 units of lignin molecular chain of untreated bamboo powder was shown at 72.63 ppm, 81.65 ppm and 88.00 ppm. By laccase treatment, the C-γ, β-O-4 units are shown at 58.38 ppm and the C-α, β-O-4 units are shown at 67.03 ppm. Meanwhile, the C-β, β-O-4 units are shown at 67.03 ppm. Through comparative analysis, it can be seen that the main link mode of bamboo lignin units is β-O-4 structure, which accounts for the largest proportion, and that the content of β-β structure is less. After laccase treatment, the absorption position had a certain degree of blue shift. The absorption peaks, especially the maximum absorption peak of β-O-4 unit, were significantly reduced after laccase treatment. This indicated that laccase treatment led to the degradation of bamboo lignin, mainly by β-O-4 cleavage process which produced ROS free radicals. The ROS free radicals were conducive to the increase of the number of active functional groups on the surface of the powder, which could activate the bamboo surface and promote its self-adhesion reaction under the hot pressing condition.

Figure 6: 13C-NMR spectra of bamboo powder sampled before and after laccase treatment
It is proved that the ROS free radicals are mainly associated with the laccase-catalyzed oxidation of lignin component. It is an effective method to modify the biomass materials with high lignin content and make particleboard by increasing the contact surface between laccase and lignin. In the bamboo-laccase reaction system and the subsequent board making process, a high correlation can be found between the ROS free radical level and particleboard mechanical properties by laccase activation. It is indeed possible to develop a process to produce more ROS free radicals during the preliminary laccase-treatment for wood/bamboo materials. Consequently, more enzymatically activated lignin will be generated to obtain higher bonding strength wood or bamboo-based boards. It was also explored that 5-years bamboo was the optimal material for high efficient utilization according to less growth time and high content lignin. The bamboo lignin polymer, which was shown with guaiacyl and syringyl units as the main structural units, mainly breaks β-O-4 in the laccase catalyzed degradation reaction. The laccase treatment, resulting in more ROS free radicals produced in the reaction solution and more active groups on the surface of bamboo, improves the activity of bamboo particles participating in self-adhesion reaction.
Funding Statement: The authors thank Zhejiang Provincial Science and Technology Department Project (2019F1065-4) & Zhejiang Provincial Natural Science Foundation (LY19C160004) & Public Welfare Technology Research Agricultural Project of Zhejiang Province (2013C32104) for their financial contributions.
Conflicts of Interest: The authors declare that they have no conflicts of interest to report regarding the present study.
1. Chang, S. T., Wu, J. H. (2000). Green−color conservation of ma bamboo (Dendrocalamus latiflorus) treated with chromium−based reagents. Journal of Wood Science, 46(1), 40–44. DOI 10.1007/BF00779551. [Google Scholar] [CrossRef]
2. Baumann, M. G. D., Lorenz, L. F., Batterman, S. A., Zhang, G. Z. (2000). Aldehyde emissions from particleboard and medium density fiberboard products. Forest Products Journal, 50(9), 75–82. [Google Scholar]
3. Yamaguchi, H., Maeda, Y., Sakata, I. (1994). Bonding among woody fibers by use of enzymatic phenol dehydrogenative polymerization: Mechanism of generation of bonding strength. Journal of the Japan Wood Research Society (Japan), 40, 185–190. [Google Scholar]
4. Kharazipour, A., Bergmann, K., Nonninger, K., Hüttermann, A. (1998). Properties of fiber boards obtained by activation of the middle lamella lignin of wood fibers with peroxidase and H2O2 before conventional pressing. Journal of Adhesion Science and Technology, 12(10), 1045–1053. DOI 10.1163/156856198X00713. [Google Scholar] [CrossRef]
5. Kharazipour, A., Hüttermann, A., Lüdemann, H. D. (1997). Enzymatic activation of wood fibers as a means for the production of wood composites. Journal of Adhesion Science and Technology, 11(3), 419–427. DOI 10.1163/156856197X00796. [Google Scholar] [CrossRef]
6. Felby, C., Pedersen, L. S., Nielsen, B. R. (1997). Enhanced auto adhesion of wood fibers using phenol oxidases. Holzforschung, 51(3), 281–286. DOI 10.1515/hfsg.1997.51.3.281. [Google Scholar] [CrossRef]
7. Widsten, P., Laine, J. E., Tuominen, S. (2002). Radical formation on laccase treatment of wood defibrated at high temperatures−Part I. Studies with hardwood fibers. Nordic Pulp & Paper Research Journal, 17(2), 139–146. DOI 10.3183/npprj-2002-17-02-p139-146. [Google Scholar] [CrossRef]
8. Widsten, P., Laine, J. E., Tuominen, S. (2002). Radical formation on laccase treatment of softwoods defibrated at high temperatures. II. Studies with softwood fibers. Cellulose Chemistry and Technology, 36(1), 161–172. [Google Scholar]
9. Zhang, Y., Lu, X., Pizzi, A., Delmotte, L. (2003). Wheat straw particleboard bonding improvements by enzyme pretreatment. European Journal of Wood & Wood Products, 61(1), 49–54. DOI 10.1007/s00107-002-0349-2. [Google Scholar] [CrossRef]
10. Cao, Y. J., Duan, X. F., Cao, Y. L., Lü, J. X., Zhu, J. Q. (2008). ESR study in reactive oxygen species free radical production of Pinus kesiya var. langbianensis heartwood treated with laccase. Applied Magnetic Resonance, 35(1), 205–211. DOI 10.1007/s00723-008-0149-x. [Google Scholar] [CrossRef]
11. Zhou, G. W., Li, J. N., Chen, Y. S., Zhao, B. L., Cao, Y. J. et al. (2009). Determination of reactive oxygen species generated in laccase catalyzed oxidation of wood fibers from Chinese fir (Cunninghamia lanceolata) by electron spin resonance spectrometry. Bioresource Technology, 100(1), 505–508. DOI 10.1016/j.biortech.2008.06.010. [Google Scholar] [CrossRef]
12. Lan, P., Pizzi, A., Guo, Z. D., Brosse, N. (2011). Condensed tannins extraction from grape pomace: Characterization and utilization as wood adhesives for wood particleboard. Industrial Crops & Products, 34(1), 907–914. DOI 10.1016/j.indcrop.2011.02.009. [Google Scholar] [CrossRef]
13. Mansouri, H. R., Navarrete, P., Pizzi, A., Tapin−Lingua, S., Benjelloun−Mlayah, B. et al. (2011). Synthetic−resin−free wood panel adhesives from mixed low molecular mass lignin and tannin. European Journal of Wood and Wood Products, 69(2), 221–229. DOI 10.1007/s00107-010-0423-0. [Google Scholar] [CrossRef]
14. Valenzuela, J., Leyser, E. V., Pizzi, A., Westermeyer, C., Gorrini, B. (2012). Industrial production of pine tannin−bonded particleboard and mdf. European Journal of Wood & Wood Products, 70(5), 735–740. DOI 10.1007/s00107-012-0610-2. [Google Scholar] [CrossRef]
15. Wang, J., Liu, L., Jin, C. D. (2011). Effects of bamboo age on the strength of board made from laccase−treated pleioblastus amarus particle. Applied Mechanics and Materials, 80, 207–212. [Google Scholar]
16. Jeong, E. H., Seung, K. Y., Dae, H. K., Sun-Hwa, R., Myungkil, K. et al. (2014). Enzymatic degradation of lignocellulosic biomass by continuous process using laccase and cellulases with the aid of scaffold in for ethanol production. Process Biochemistry, 49(8), 1266–1273. DOI 10.1016/j.procbio.2014.05.004. [Google Scholar] [CrossRef]
17. Pizzi, A. (2015). Wood products and green chemistry. Annals of Forest Science, 73(1), 1–19. [Google Scholar]
18. Euring, M., Kirsch, A., Schneider, P., Kharazipour, A. (2016). Lignin−Laccase−Mediator−Systems (LLMS) for the production of binderless medium density fiberboards (MDF). Journal of Materials Science Research, 5(2), 7–16. DOI 10.5539/jmsr.v5n2p7. [Google Scholar] [CrossRef]
19. Filgueira, D., Moldes, D., Fuentealba, C., García, D. E. (2017). Condensed tannins from pine bark: A novel wood surface modifier assisted by laccase. Industrial Crops and Products, 103, 185–194. DOI 10.1016/j.indcrop.2017.03.040. [Google Scholar] [CrossRef]
20. Yang, Z., Song, W., Cao, Y., Wang, C., Hu, X. X. et al. (2017). The effect of laccase pretreatment conditions on the mechanical properties of binderless fiberboards with wheat straw. BioResources, 12(2), 3707–3719. [Google Scholar]
21. Sarma, R., Chiring, M., Dutta, D., Bora, T. C., Goswami, T. (2019). Biodegradation of lignin of Bambusa nutans by the isolate Inonotus pachyphloeus JP‐1. Environmental Sustainability, 2(2), 125–133. DOI 10.1007/s42398-019-00073-1. [Google Scholar] [CrossRef]
22. Björkman, A. (1956). Studies on finely divided wood. Part 1. Extraction of lignin with neutral solvents. Svensk Papperstidning, 59(13), 477–485. [Google Scholar]
23. Milstein, O., Hüttermann, A., Fründ, R., Lüdemann, H. D. (1994). Enzymatic co-polymerization of lignin with low−molecular mass compounds. Applied Microbiology and Biotechnology, 40(5), 760–767. DOI 10.1007/BF00173342. [Google Scholar] [CrossRef]
24. Widsten, P., Laine, J. E., Qvintus-Leino, P., Tuominen, S. (2002). Effect of high-temperature defibration on the chemical structure of hardwood. Holzforschung, 56(1), 51–59. DOI 10.1515/HF.2002.009. [Google Scholar] [CrossRef]
25. Ferm, R., Kringsta, K. P., Cowling, E. B. (1972). Formation of free radicals in milled wood lignin and syringaldehyde by phenol−oxidizing enzymes. Svensk Papperstidning Nordisk, 75(21), 859. [Google Scholar]
26. Rex, R. (1960). Electron paramagnetic resonance studies of stable free radicals in lignins and humic acids. Nature, 188(4757), 1185–1186. DOI 10.1038/1881185a0. [Google Scholar] [CrossRef]
27. Steelink, C. (1966). Stable free radicals in lignin and lignin oxidation products, J. Marton (ed.). pp. 51−64, in Lignin, structure and reactions, advances in chemistry series, Washington, DC: American Chemical Society. [Google Scholar]
28. Felby, C., Nielsen, B. R., Olesen, P. O., Skibsted, L. H. (1997). Identification and quantification of radical reaction intermediates by electron spin resonance spectrometry of laccase−catalyzed oxidation of wood fibers from beech (Fagus sylvatica). Applied Microbiology and Biotechnology, 48(4), 459–464. DOI 10.1007/s002530051080. [Google Scholar] [CrossRef]
29. Cao, Y. L., Guo, P., Xu, Y. C., Zhao, B. L. (2005). Simultaneous detection of NO and ROS by ESR in biological systems. Methods in Enzymology, 396, 77–83. [Google Scholar]
30. Lin, J., He, X., Hu, Y., Kuang, T., Ceulemans, R. (2002). Lignification and lignin heterogeneity for various age classes of bamboo (Phyllostachys pubescens) stems. Physiologia Plantarum, 114(2), 296–302. DOI 10.1034/j.1399-3054.2002.1140216.x. [Google Scholar] [CrossRef]
31. Jiang, Z. H., Yu, W. J., Yu, Y. L. (2006). Analysis of chemical components of bamboo wood and characteristic of surface performance. Journal of Northeast Forestry University, 34(4), 1–3. [Google Scholar]
32. Capani, F., Loid, C. F., Aguirre, F., Pieh, L., Facorro, G. et al. (2001). Changes in reactive oxygen species (ROS) production in rat brain during global perinatal asphyxia: An ESR study. Brain Research, 914(1-2), 204–207. DOI 10.1016/S0006-8993(01)02781-0. [Google Scholar] [CrossRef]
33. Bourbonnais, R., Paice, M. G., Reid, I. D., Lanthier, P., Yaguchi, M. (1995). Lignin oxidation by laccase isozymes from Trametes versicolor and role of the mediator 2, 2’-azinobis (3-ethylbenzthiazoline-6-sulfonate) in kraft lignin depolymerization. Applied and Environmental Microbiology, 61(5), 1876–1880. DOI 10.1128/AEM.61.5.1876-1880.1995. [Google Scholar] [CrossRef]
34. Widsten, P., Kandelbauer, A. (2008). Laccase applications in the forest products industry: A review. Enzyme and Microbial Technology, 42(4), 293–307. DOI 10.1016/j.enzmictec.2007.12.003. [Google Scholar] [CrossRef]
35. Muller, C., Euring, M., Kharazipour, A. (2009). Enzymatic modification of wood fibers for activating their ability of self bonding. International Journal of Materials and Product Technology, 36(1), 189–199. DOI 10.1504/IJMPT.2009.027830. [Google Scholar] [CrossRef]
36. Felby, C., Thygesen, L. G., Sanadi, A., Barsberg, S. (2004). Native lignin for bonding of fiber boards-evaluation of bonding mechanisms in boards made from laccase-treated fibers of beech (Fagus sylvatica). Industrial Crops and Products, 20(2), 181–189. DOI 10.1016/j.indcrop.2004.04.020. [Google Scholar] [CrossRef]
37. Widsten, P., Tuominen, S., Qvintus−Leino, P., Laine, J. E. (2004). The influence of high defibration temperature on the properties of medium−density fiberboard (MDF) made from laccase−treated softwood fibers. Wood Science and Technology, 38(7), 521–528. DOI 10.1007/s00226-003-0206-4. [Google Scholar] [CrossRef]
38. Li, J. (2003). Wood spectroscopy. Beijing: Science Press. [Google Scholar]
![]() | This work is licensed under a Creative Commons Attribution 4.0 International License,, which permits unrestricted use, distribution, and reproduction in any medium, provided the original work is properly cited. |