| Journal of Renewable Materials DOI:10.32604/jrm.2021.011385 | ![]() |
| Article |
The Effects of Stacking Sequence on Dynamic Mechanical Properties and Thermal Degradation of Kenaf/Jute Hybrid Composites
1Department of Aerospace Engineering, Faculty of Engineering, Universiti Putra Malaysia, Serdang, 43400, Malaysia
2Laboratory of Biocomposite Technology, Institute of Tropical Forestry and Forest Products, Universiti Putra Malaysia, Serdang, 43400, Malaysia
3Aerospace Malaysia Innovation Centre, Prime Minister’s Department, MIGHT Partnership Hub, Cyberjaya, 63000, Malaysia
4School of Mechatronic Engineering, Universiti Malaysia Perlis, Pauh Putra Campus, Arau, 02600, Malaysia
5School of Manufacturing Engineering, Universiti Malaysia Perlis, Pauh Putra Campus, Arau, 02600, Malaysia
6Center of Excellence Geopolymer and Green Technology, Faculty of Engineering Technology, Universiti Malaysia Perlis, Arau, 02600, Malaysia
*Corresponding Authors: Mohamed Thariq Hameed Sultan. Email: thariq@upm.edu.my; Mohd Shukry Abdul Majid. Email: shukry@unimap.edu.my
Received: 05 May 2020; Accepted: 09 June 2020
Abstract: This research focused on the dynamic mechanical and thermal properties of woven mat jute/kenaf/jute (J/K/J) and kenaf/jute/kenaf (K/J/K) hybrid composites. Dynamic mechanical analysis (DMA) and Thermo-gravimetric Analysis (TGA) were used to study the effect of layering sequence on the thermal properties of kenaf/jute hybrid composites. The DMA results; it was found that the differences in the stacking sequence between the kenaf/jute composites do not affect their storage modulus, loss modulus and damping factor. From the TGA and DMA results, it has been shown that stacking sequence has given positive effect to the kenaf/jute hybrid composite compared to pure epoxy composite. This is because kenaf and jute fibre has increased the Tg values of the composites, thus affect the thermal degradation. Results showed that the storage modulus for kenaf/jute hybrid composites increased compared with pure epoxy composites with increasing temperature and the values of remained almost the same at glass transition temperature (Tg), the hybrid composite perhaps due to the improved fibre/matrix interface bonding. The preliminary analysis could provide a new direction for the creation of a novel hybrid composite which offers unique properties which cannot be accomplished in a single material system.
Keywords: Hybrid composites; dynamic mechanical thermal analysis (DMTA); thermo-gravimetric analysis
Hybrid composites are a mixture of two or more materials, which can be natural, synthetic, and natural/synthetic, as example kenaf/jute hybrid composites, carbon/glass hybrid composites and sugarpalm/glass hybrid composites [1]. The advantages of natural fibre used to fabricate composites reside in its eco-friendliness; also, it is less expensive compared to synthetic fibre, easy to fabricate and is abundantly available. However, natural fibre composites (NFC), as well as all-natural hybrid composites, have weak mechanical and thermal characteristics [2,3]. The thermal characteristics of a composite will depend on several factors, such as natural fibre composition, content of hemicelluloses, cellulose, as well as density, aspect ratio, fibre length and fibre diameter. Previous research has found that thermal characteristics can be improved by varying the fibre stacking sequence and the fibres orientations [4–6]. Kenaf and jute have unique mechanical and thermal properties and are both commonly used as reinforcement natural fibres for several engineering applications [7]. Kenaf is one of the most lignin-rich natural fibres [8]. Similarly to Kenaf and jute natural fibres are considered as nature’s synthetic fibres, due to their toughness, rigidity, lesser microfibrillar angle with the fibres axis and thicker cell wall. Researchers have stated that hybridisation of kenaf/jute natural fibres with epoxy can produce advanced hybrid composites, with high mechanical and thermal properties [9,10]. Also, researchers investigated some chemical configurations of natural kenaf and jute composites, considering the content of cellulose, hemicellulose and lignin in the fibres, and which would be able to resist higher temperatures [11,12]. The DMA technique was used to investigate the viscoelastic behaviour of reinforced composites in the glassy region and provides important data, such as the composites’ dynamic modulus, storage modulus, loss modulus and damping factor [11,13,14].
Earlier research also carried out the DMA of banana/sisal natural fibres polyester hybrid composites to investigate the optimum fibre fraction, and it was established that the composite with two natural fibres was more stable as compared to the one fibre composite, and the banana/sisal hybrid composite presented good thermal behaviour [15,16]. Our previous study investigated the thermal behaviour of untreated natural kenaf and jute hybrid composite and found the thermal properties at 30% fibre loading [17]. This study is an extension of earlier work efforts to examine the thermal behaviour of untreated kenaf and jute natural hybrid composites at constant fibre loading of 30 wt% [18]. It is expected that the hybridisation of kenaf and jute will enhance the interfacial bonding of the natural fibres with the matrix, which will help improve the properties of the materials [19]. In an exciting study, thermal properties of natural rubber composites reinforced by sisal/oil palm natural hybrid fibre were achieved, and composite thermal stability was seen to increase upon fiber loading [20,21]. Jarukumjorn and Suppakarn investigated thermal properties of sisal/glass hybrid polypropylene (PP), observed that the addition of glass fibers has improved the thermal properties of sisal/PP composites. Similar study has been carried out on the thermal properties of sisal/glass hybrid composites and confirms higher thermal stability for hybrid composites [22,23].
Based on previous literature, it was found that there are no research on the thermal and dynamic mechanical properties on kenaf/jute hybrid composites, focusing on the effect of the fibre stacking sequence. In the present research work, kenaf and jute natural fibre were hybridised with a polymer matrix to develop cost-effective advanced hybrid materials. Kenaf and jute fibre reinforced composites were prepared with a weight ratio of 3:1, and a total fibre weight loading of 30 wt%. The dynamic mechanical analysis (DMA) and thermal gravimetric analysis (TGA) of the kenaf and jute fibre reinforced epoxy natural hybrid composites were mainly used for the quantitative analysis of products. The effects of stacking sequence or layering patterns of the tri-layer composites (kenaf/jute/kenaf and jute/kenaf/jute) on their storage modulus, loss modulus, and damping factor were examined and compared to a pure epoxy composite. Thermal characteristics were studied by TGA to investigate the thermal stability of the hybrid composites.
In this investigation, natural kenaf and jute fibre, in form of woven mat, were used as reinforcement to prepare hybrid composites. The materials were supplied by Indersen Shamlal Pvt. Ltd. India. The fibres are illustrated in Fig. 1. The jute fiber length is 2–3 mm, diameters ranging from 10–20 µm and aspect ratio is 200–300. Kenaf fiber length is from 2 mm up to 10 mm, diameter ranging from 10 to 20 µm, with aspect ratio from 200 to 500. Mechanical and physical properties of kenaf and jute fiber can be seen in Tab. 1. The bonding agent used was epoxy (Epoxyamite), with hardener, the epoxy liquid was purchased from Mecha Solve Engineering Sdn. Bhd, Selangor, Malaysia. Epoxyamite is a low-temperature curing agent, and it was used in a ratio of 3:1, as suggested by the manufacturer [24].

Figure 1: (a) J/K/J, (b) K/J/K and (c) Epoxy composite sample
Table 1: Mechanical and Physical Properties of Kenaf and Jute Fiber

2.2 Fabrication of Natural Hybrid Composite
In the investigation, two different types of fibres were used; namely, kenaf and jute, to prepare hybrid composites consisting of three layers of woven mat fibres, as shown in Fig. 1. The stacking sequences of K/J/K and J/K/J are shown in Fig. 2. All the specimens were fabricated by using the hand lay-up method.

Figure 2: Stacking sequence for (a) Kenaf/Jute/Kenaf, (b) Jute/Kenaf/Jute
All the composites were prepared with a fixed 30 wt% fibre weight. After the fabrication process, the composites were left to cure for 24 hours at room temperature. The cured composites were cut using a cutting machine to the dimensions of 60 × 12 × 3 mm, according to ASTM D4065-01 standards [25].
2.3.1 Dynamic Mechanical Analysis (DMA)
The dynamic mechanical analysis (DMA) was performed as per the standard ASTM D4065 to examine the viscoelastic performance of the kenaf and jute hybrid composites as a function of temperature. DMA was conducted using a TA Instruments Q800 DMA system, in the three-point support bending mode, at the oscillation frequency of 1 Hz under controlled amplitude. In this operating system, temperature was controlled from 30°C to 145°C, applied load minimum of 5 MPa, by sinusoidal strain with nominal temperature rate of 5°C/min. All the specimens prepared for DMA had the dimensions of 60 × 12.5 × 3 mm3.
2.3.2 Thermal Gravimetric Analysis (TGA)
The thermal properties of the natural kenaf and jute hybrid composites were evaluated using a thermal gravimetric analyser (TGA Q500, TA Instruments, USA). In this experiment, all the hybrid composites were subjected to heating in the range of 30–700°C, at a constant rate of 5 °C/min under nitrogen (N2) atmosphere. All of these measurements, samples with 10.3000 mg were placed in an alumina crucible and subjected to pyrolysis under a nitrogen atmosphere (50 mL/min).
3.1 Dynamic Mechanical Analysis (DMA)
3.1.1 Effect of Woven Mat Stacking Sequence on Storage Modulus
The effect of woven mat stacking sequence on the storage modulus of woven kenaf/jute reinforced epoxy hybrid composites J/K/J, K/J/K and pure epoxy is illustrated in Fig. 3. The evolution of storage modulus as a function of temperature, which can be assessed by DMA, provides an insight into materials’ toughness, and the structure of fibre/polymer composites. Storage modulus also shows the thermal resistance of composites. DMA reveals the presence of three regions; the main one is the glassy region, the second is the transition region, and third one is the rubbery region. In the glassy region, the hybrid composites present a sound and solidly packed structure, which results in a high storage modulus. Fig. 3 displays the variation of fibre volume fraction at different temperatures of the glassy region 40°C, transition region 60°C and rubbery region 100°C [26]. The rubbery region is last stage, in this case, the temperature increase has an even stronger influence on the materials, as the structure becomes increasingly flexible because of physical loss, but no other changes occur in this region. The fibers orientations is easy to formations hybrid composites due its mat forms, and it was carrying more loads as compared to random fibers orientations [27].

Figure 3: Storage modulus curves from dynamical mechanical analysis of kenaf/jute hybrid composites
Fig. 3 shows the hybridisation of kenaf fibres and jute fibres in the polymer materials will increase the storage modulus of the composite, due to the existence of fibres. The storage modulus results for the K/J/K and J/K/J hybrid composites indicate that they have better thermal stabilities, compared to that of the pure epoxy composite [28]. There is no significant difference between the storage modulus curves of the K/J/K and J/K/J composites. This shows that the stacking sequence of the fibres does not affect the storage modulus of the hybrid composites. Also, the storage modulus curves indicate the higher thermal stability of the K/J/K hybrid composite, compared to those of the J/K/J and epoxy composites, which may be explained by its fibre orientation [29,30]. In this research, the fibre orientation used is 0°/90°, where from previous literature, it was shown that it gives the composites best properties. However, the strength of the hybrid composites mostly depends on the internal bonding between the fibres and the matrix, which can resist external and internal physical forces, endowing the composite with efficient stress-bearing capacity.
These results are in a good agreement with those of previous research done on oil palm/glass fibre-reinforced phenolic composites, where the storage modulus showed a significant improvement after fibre loading [31]. To conclude, from the analysis of the storage modulus of the specimens, namely, K/J/K, J/K/J and the control pure epoxy sample, the K/J/K and J/K/J composites performed well in this analysis, due to the excellent properties of the fibres contained in these hybrid composites, while the epoxy specimen has a lower performance compared to K/J/K, and J/K/J. In addition, the storage modulus curve dropped with dropping temperatures.
3.1.2 Effect of Woven Mat Stacking Sequence on Loss Modulus
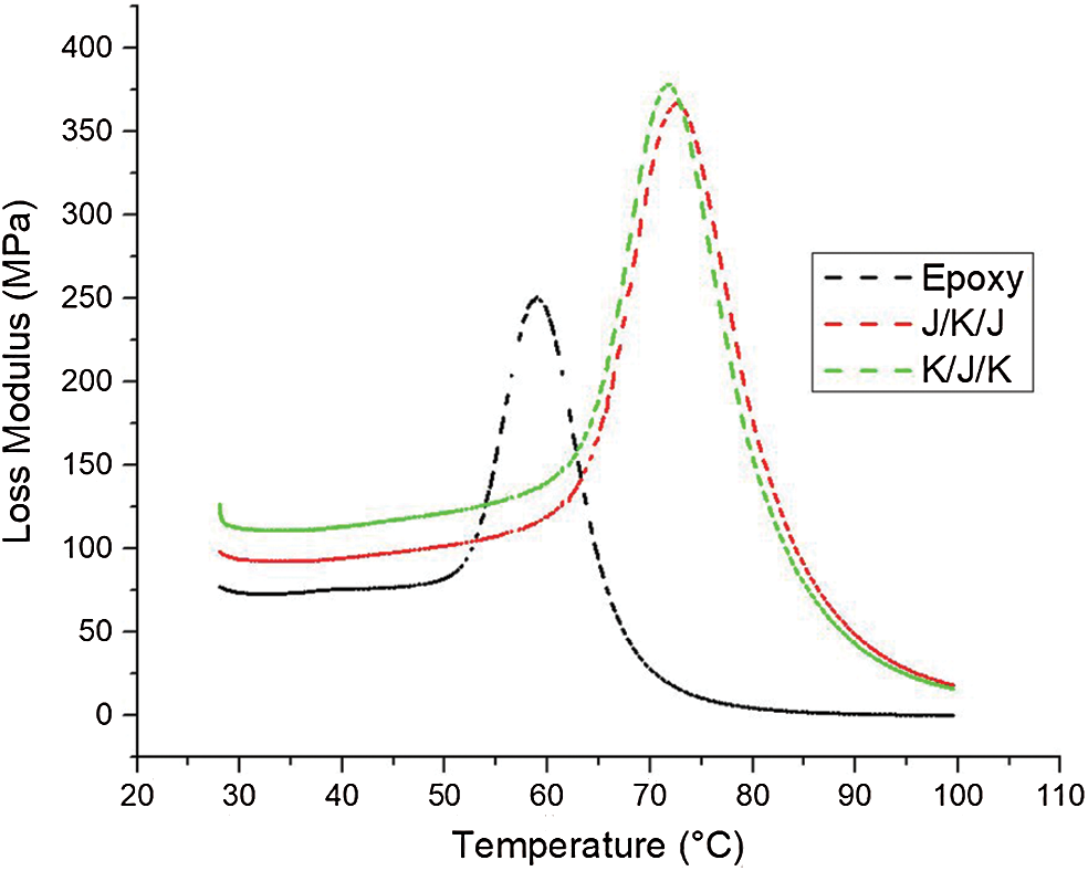
The thermal behaviour is also revealed by the loss modulus performance of the natural hybrid composites. The thermal behaviour of a system depends on the composite characteristics as a function of temperature, in this study, they will depend on the properties of the natural fibres and epoxy, at 30 wt% loading. Fig. 4 shows the loss modulus curves as a function of temperature for the natural hybrid composites and epoxy specimens [32]. The highest peak of loss modulus point is 75–85°C. The highest peak value from loss modulus curve is the same with the tan delta curve. The Tg graph of natural hybrid composites slightly shifted toward higher temperature, in the temperature range of 45–85°C, towards the transition region, for the epoxy specimens. The good interfacial bonding of kenaf/jute fibre, when embedded in the bonding agent, would furthermore benefit the loss modulus via impeding the molecular chain movement. The enhancing loss modulus is attributed to strength losses induced by the rearrangements of molecular chains in kenaf/jute fibre because of the friction within the kenaf/jute composites [33]. Results also show that the stacking sequence of the kenaf/jute composites does not affect the loss modulus of the hybrid composites. However, the hybridisation between kenaf and jute does improve the loss modulus of the composites, compared to the pure epoxy materials.

Figure 4: Loss modulus curves from dynamical mechanical analysis of kenaf/jute hybrid composites
3.1.3 Effect of Woven Mat Stacking Sequence on Damping Factor (Tan δ)
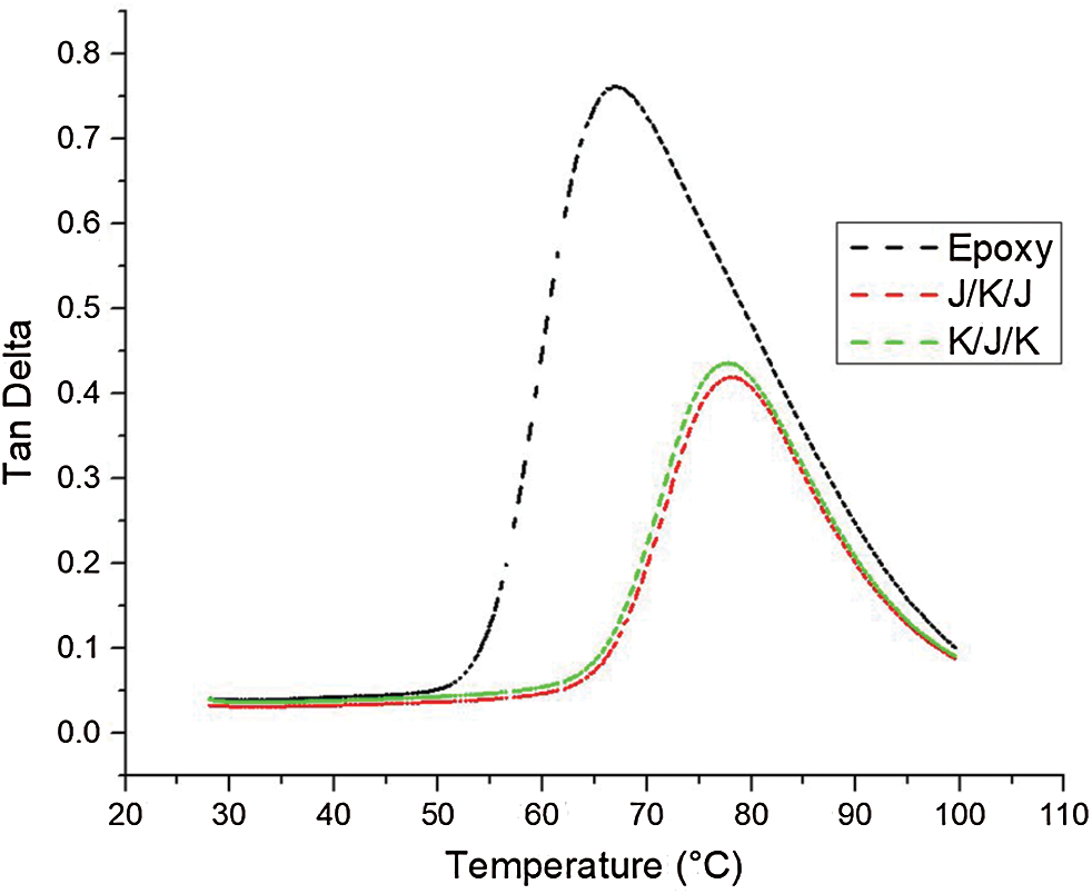
The value of the damping factor (Tan δ) depends on the viscoelastic behaviour of the composite. The (Tan δ) values of the hybrid composites (jute/kenaf/jute and kenaf/jute/kenaf) and the pure epoxy material are shown in Fig. 5. It can be clearly seen from the figure that the damping factor increases with the increase in temperature, rising to the maximum level in the transition region, then decreasing in the rubbery region. The glass transition for each composites are 250°C, 365°C and 375°C for pure epoxy, J/K/J and K/J/K composites. Hybridization of kenaf and jute has improved the Tg of pure epoxy composite more than 40% regardless of the stacking sequence. Additionally, it was determined that the damping factor is low below Tg for all the composite specimens because the chain segments are in a frozen state at this stage [34]. Therefore, the higher the (Tan δ) peak values, the greater is the degree of molecular motion. With the incorporation of the kenaf/jute fibre woven mats, the (Tan δ) peak decreased. Previous research work also reported that hybrid natural fibre reinforcement in polymer materials acts as a barrier restricting the mobility of polymer chains, leading to lower flexibility, lower degree of molecular motion and hereafter lower damping properties [35,36]. Woven mat kenaf/jute hybrid composites display low (Tan δ) peak values, which showed the excellent interfacial bonding between the fibre and matrix. Previous research work also found that kenaf and jute fibre woven mat reinforced epoxy matrix composites present good fibre/matrix interface bonding [37]. It is also observed that the jute/kenaf/jute and kenaf/jute/kenaf natural hybrid composites show lower (Tan δ) peaks, as compared to the pure epoxy specimen. The minimum (Tan δ) peak was found for the K/J/K hybrid composite, due to uniform fibre spreading and the fibre/matrix interface, allowing excellent stress transfer from fibre to matrix without the failure of the matrix are exposed in Fig. 5. The jute/kenaf/jute hybrid and the kenaf/jute/kenaf hybrid composites show lower (Tan δ) values than that of the pure epoxy sample, because the kenaf and jute fibre woven mats are more rigid and have a closely packed arrangement.

Figure 5: Tan delta curves from dynamical mechanical analysis of kenaf/jute hybrid composites
The tan delta graph shows that the natural kenaf/jute hybrid composite has higher glass transition temperature as compared to pure epoxy. Previous research also reported that the damping factor of oil palm EFB/glass hybrids displayed low Tg due to a reduction in fibre/matrix interaction, which lowers the temperature of relaxation [38]. A similar study done on pineapple/glass hybrid composites illustrated that the damping factor values of the hybrid composites decreased above a wide temperature range [39]. On the other hand, an investigation done on jute/cotton hybrid fabric composites showed that the decrease in damping factor value is explained by a decrease in the free volume and accordingly in the polymer chains due to fibre volume fraction, stacking sequence and orientation [24].
From Fig. 5, it is observed that the intensity of the (tan δ) peak was reduced for the jute and kenaf fibre woven mat reinforced composites. The damping parameters found for the hybrid composites with 30% fibre loading showed that the hybridisation had a higher effect in this study, compared to the hybrid composites reported in other research [40].
The increasing loss modulus, with a shift in (tan δ) peak area, may be caused by the degradation of the chemical components within the structure of the composites and the movement of molecular chains within the natural hybrid composites. The weakening fibre elastic characteristics, combined with the increasing damping factor at higher temperatures, is recognised as being affected by the chemical composition of the materials [41].
3.2 Thermal Gravimetric Analysis (TGA)
The thermal performance of the epoxy composites and hybrid composites, with the 30 wt% fibre loading, is shown in Fig. 6. Fig. 6 illustrates the thermal behaviour of the natural hybrid composites starting from a temperature of 30.57°C, as 100% degradation was reached at 665.36°C. The mixture of the kenaf and jute fibre led to a significant enhancement in the thermal performance and stability of the hybrid composites, as their degradation onset temperature is about 289.83°C and final decomposition occurs at 665.36°C. From the TGA graph, it was observed that both the pure epoxy specimen and the hybrid composites showed a two-step degradation. The hybridisation of kenaf with jute fibres resulted in a significant increment of the thermal stabilities of the composites, which is most probably due to the higher thermal stabilities of the kenaf fibre than that of the jute fibre [42].

Figure 6: Thermogravimetric analysis (TGA) graph of kenaf/jute hybrid composites
The thermal stabilities can be shown by the expression of factors such as onset decomposition temperatures. The (FDT) final degradation temperature and the remaining fibre content in the form of char are illustrated in the diagram. The onset degradation temperature is noted around 279–399°C and final degradation around 432–538°C [43]. The kenaf/jute woven mat hybrid composites show an initial degradation temperature between 280°C and 350°C, which is attributed to the thermal degradation of glycosidic linkages of cellulose, followed by another degradation stage at about 425–560°C, corresponding to the decomposition of lignin, which is low temperatures in thermal degradation as compared to pure epoxy sample. It was also reported in other studies that the initial thermal degradation stage at about 250–440°C is mainly caused by the decomposition of the hemi-cellulosic and cellulosic fractions of the natural fibres in natural hybrid composites [44]. In this investigation, higher initial degradation and final decomposition temperatures of the composites were found, compared to the corresponding values of the kenaf/jute fibres and epoxy, which thermal properties illustrated in Tab. 2.
Table 2: Thermal properties of kenaf/jute hybrid composites

In this investigation, although the fibre loading was 30%, however, the stacking sequence were different. First hybrid composite were made from K/J/K while the other were J/K/J. As mentioned earlier, Kenaf fibres are rich in lignin, compared to other fibres. Therefore, the residual amount of hybrid composites was less because char yield depends on the availability of lignin in the fibers in kenaf and jute.
The thermogravimetric analysis (TGA) outcomes remained in good agreement with hypothetical stoichiometric values, indicating that the lignocellulosic-based composites are chemically active and thermally degrade between 150°C and 500°C; with hemicellulose degrading mostly between 280 and 350°C, cellulose between 425°C and 560°C and lignin between 250°C and 440°C [45]. At the highest temperature used in this investigation, the kenaf/jute hybrid woven mat composite had higher char residual weight compared to pure epoxy, due to the presence of the kenaf/jute fibre woven mat. The cellulose content in jute fibre is a little higher, as compared to that of kenaf fibres. The higher the cellulose content determines the slightly higher thermal stability of the K/J/K hybrid composites, compared to the J/K/J hybrid composites [46]. Researchers investigated the thermal properties of bamboo/glass fibres hybrid composites and found a higher amount of char residue in the hybrid composites, which indicated improved flame retardant characteristics [40,47,48]. All hybrid composites specimens were subjected to pyrolysis decomposition under a nitrogen atmosphere up to 700°C, all three specimens display an amazing initial weight loss with less than 10 wt.%. from 50°C up to about 300°C. this can be related to the evaporation of fibre moisture content. Because of the inherent hydrophilic existence of the fibres, absolute water removal cycle was not possible. The major step of decomposition was observed at roughly 300°C to 450°C. The step down observed at 700°C was due to the char content being burned off when the atmosphere was moved from nitrogen to oxygen, leaving the ash or residue content.
The char residue from TGA weight loss graph was estimated at 700°C. An example of the onset and endset temperature curve analysis for the epoxy sample is seen in Fig. 6, and all TGA findings are tabulated in Tab. 2. The epoxy sample displayed poor thermal stability with the average initial and final decomposition temperature at 300°C to 350°C relative to J/K/J and K/J/K. It also shows 9.55% of the highest char quality. This may have been attributed to the impregnated quality of the kenaf charcoal and the jute mat. Char formation is important as it protects the core of the material and structural integrity during a fire [49].
These results reveal that the stacking sequence of kenaf and jute fibre as reinforcement did not significantly affect the thermal properties of the composites. The thermal stability can only be enhanced if there is any other polymer added in the matrix or if there is any treatment done to the fibre due to the highly cross-linked structure of the composites.
The investigation results demonstrate that kenaf and jute natural fibre hybridisation is an effective formula to improve the dynamic and thermal properties of pure epoxy composites. Thus, the kenaf/jute natural fibre hybrid composites present higher the Degradation temperature and thermal degradation stabilities, compared to those of pure epoxy composites some.
The dynamic characteristics of the epoxy resins are dependent on temperature; thus, the storage modulus decreases with increasing temperature, while an increasing loss modulus is associated with internal stability. The dynamic mechanical analysis shows that the presence of the fibres limits the segmental mobility within the composite structure, thus increasing the thermal stability of the hybrid fibre composites.
In this investigation, the results showed the storage modulus of the kenaf/jute hybrid composites has increased more than 30% compared to (EP) pure epoxy sample, because there is no fibre matrix bonding in the composites, compared to J/K/J and K/J/K composites. These results are also inline as previous research mentioned in the literature section. Such investigations will contribute to an optimised use of kenaf/jute natural fibres in hybrid composites and their utilisation to develop advanced and cost-effective composites, possessing appropriate stiffness, damping behaviour, and thermal stability.
Acknowledgement: This work is supported by UPM under GP-IPS grant, 9486400. The authors would like to express their gratitude and sincere appreciation to the Department of Aerospace Engineering, Faculty of Engineering, Universiti Putra Malaysia and Laboratory of Biocomposite Technology, Institute of Tropical Forestry and Forest Products (INTROP), Universiti Putra Malaysia (HiCOE) for the close collaboration in this research.
Funding Statement: This work is supported by UPM under GP-IPS Grant 9486400.
Conflicts of Interest: The authors declare that they have no conflicts of interest to report regarding the present study.
1. Safri, S. N. A., Sultan, M. T. H., Jawaid, M., Jayakrishna, K. (2018). Impact behaviour of hybrid composites for structural applications: A review. Composites Part B: Engineering, 133, 112–121. DOI 10.1016/j.compositesb.2017.09.008. [Google Scholar] [CrossRef]
2. Srinivas, K., Naidu, A. L., Raju Bahubalendruni, M. V. A. (2017). A review on chemical and mechanical properties of natural fiber reinforced polymer composites. International Journal of Performability Engineering, 13(2), 189–200. [Google Scholar]
3. Khan, T., Hameed Sultan, M. T. B., Ariffin, A. H. (2018). The challenges of natural fiber in manufacturing, material selection, and technology application: A review. Journal of Reinforced Plastics and Composites, 37(11), 770–779. DOI 10.1177/0731684418756762. [Google Scholar] [CrossRef]
4. Guillou, J., Lavadiya, D. N., Munro, T., Fronk, T., Ban, H. (2018). From lignocellulose to biocomposite: Multi-level modelling and experimental investigation of the thermal properties of kenaf fiber reinforced composites based on constituent materials. Applied Thermal Engineering, 128, 1372–1381. DOI 10.1016/j.applthermaleng.2017.09.095. [Google Scholar] [CrossRef]
5. Bharath, K. N., Sanjay, M. R., Jawaid, M., Harisha, Basavarajappa, S. et al. (2019). Effect of stacking sequence on properties of coconut leaf sheath/jute/E-glass reinforced phenol formaldehyde hybrid composites. Journal of Industrial Textiles, 49(1), 3–32. DOI 10.1177/1528083718769926.
6. Sathyaseelan, P., Sellamuthu, P., Palanimuthu, L. (2020). Dynamic mechanical analysis of areca/kenaf fiber reinforced epoxy hybrid composites fabricated in different stacking sequences. Materials Today: Proceedings. [Google Scholar]
7. Arpitha, G. R., Sanjay, M. R., Senthamaraikannan, P., Barile, C., Yogesha, B. (2017). Hybridization effect of sisal/glass/epoxy/filler based woven fabric reinforced composites. Experimental Techniques, 41(6), 577–584. DOI 10.1007/s40799-017-0203-4. [Google Scholar] [CrossRef]
8. Birnin-Yauri, A. U., Ibrahim, N. A., Zainuddin, N., Abdan, K., Then, Y. Y. et al. (2016). Influence of kenaf core fiber incorporation on the mechanical performance and dimensional stability of oil palm fiber reinforced poly (lactic acid) hybrid biocomposites. BioResources, 11(2), 3332–3355. [Google Scholar]
9. Kumar, N., Mireja, S., Khandelwal, V., Arun, B., Manik, G. (2017). Light-weight high-strength hollow glass microspheres and bamboo fiber based hybrid polypropylene composite: A strength analysis and morphological study. Composites Part B: Engineering, 109, 277–285. DOI 10.1016/j.compositesb.2016.10.052. [Google Scholar] [CrossRef]
10. Biswas, S., Shahinur, S., Hasan, M., Ahsan, Q. (2015). Physical, mechanical and thermal properties of jute and bamboo fiber reinforced unidirectional epoxy composites. Procedia Engineering, 105, 933–939. DOI 10.1016/j.proeng.2015.05.118. [Google Scholar] [CrossRef]
11. Kumaran, P., Mohanamurugan, S., Madhu, S., Vijay, R., Lenin Singaravelu, D. et al. (2019). Investigation on thermo-mechanical characteristics of treated/untreated Portunus sanguinolentus shell powder-based jute fabrics reinforced epoxy composites. Journal of Industrial Textiles, 50(4), 427–459. DOI 10.1177/1528083719832851. [Google Scholar] [CrossRef]
12. Sanjay, M., Yogesha, B. (2018). Studies on hybridization effect of jute/kenaf/E-glass woven fabric epoxy composites for potential applications: Effect of laminate stacking sequences. Journal of Industrial Textiles, 47(7), 1830–1848. DOI 10.1177/1528083717710713. [Google Scholar] [CrossRef]
13. Sanjay, M., Arpitha, G., Yogesha, B. (2015). Study on mechanical properties of natural-glass fibre reinforced polymer hybrid composites: A review. Materials Today: Proceedings, 2(4–5), 2959–2967. DOI 10.1016/j.matpr.2015.07.264. [Google Scholar] [CrossRef]
14. Jawaid, M., Abdul Khalil, H. P. S. (2011). Cellulosic/synthetic fibre reinforced polymer hybrid composites: A review. Carbohydrate Polymers, 86(1), 1–18. DOI 10.1016/j.carbpol.2011.04.043. [Google Scholar] [CrossRef]
15. Mohan, T. P., Kanny, K. (2016). Nanoclay infused banana fiber and its effects on mechanical and thermal properties of composites. Journal of Composite Materials, 50(9), 1261–1276. DOI 10.1177/0021998315590265. [Google Scholar] [CrossRef]
16. Athith, D., Sanjay, M. R., Yashas Gowda, T. G., Madhu, P., Arpitha, G. R. et al. (2018). Effect of tungsten carbide on mechanical and tribological properties of jute/sisal/E-glass fabrics reinforced natural rubber/epoxy composites. Journal of Industrial Textiles, 48(4), 713–737. DOI 10.1177/1528083717740765. [Google Scholar] [CrossRef]
17. Das, B., Chakrabarti, K., Tripathi, S., Chakraborty, A. (2014). Review of some factors influencing jute fiber quality. Journal of Natural Fibers, 11(3), 268–281. DOI 10.1080/15440478.2014.880103. [Google Scholar] [CrossRef]
18. Ganesan, K., Kailasanathan, C., Sanjay, M. R., Senthamaraikannan, P., Saravanakumar, S. S. (2020). A new assessment on mechanical properties of jute fiber mat with eggshell powder/nanoclay-reinforced polyester matrix composites. Journal of Natural Fibers, 17(4), 482–490. DOI 10.1080/15440478.2018.1500340. [Google Scholar] [CrossRef]
19. Asim, M., Jawaid, M., Abdan, K., Ishak, M. R. (2018). The effect of silane treated fibre loading on mechanical properties of pineapple leaf/kenaf fibre filler phenolic composites. Journal of Polymers and the Environment, 26(4), 1520–1527. DOI 10.1007/s10924-017-1060-z. [Google Scholar] [CrossRef]
20. Yorseng, K., Rangappa, S. M., Pulikkalparambil, H., Siengchin, S., Parameswaranpillai, J. (2020). Accelerated weathering studies of kenaf/sisal fiber fabric reinforced fully biobased hybrid bioepoxy composites for semi-structural applications: Morphology, thermo-mechanical, water absorption behavior and surface hydrophobicity. Construction and Building Materials, 235, 117464. DOI 10.1016/j.conbuildmat.2019.117464. [Google Scholar] [CrossRef]
21. Sanjay, M. R., Siengchin, S., Parameswaranpillai, J., Jawaid, M., Pruncu, C. I. et al. (2019). A comprehensive review of techniques for natural fibers as reinforcement in composites: Preparation, processing and characterization. Carbohydrate Polymers, 207, 108–121. DOI 10.1016/j.carbpol.2018.11.083. [Google Scholar] [CrossRef]
22. Aslan, M., Tufan, M., Küçükömeroğlu, T. (2018). Tribological and mechanical performance of sisal-filled waste carbon and glass fibre hybrid composites. Composites Part B: Engineering, 140, 241–249. DOI 10.1016/j.compositesb.2017.12.039. [Google Scholar] [CrossRef]
23. Palanikumar, K., Ramesh, M., Hemachandra Reddy, K. (2016). Experimental investigation on the mechanical properties of green hybrid sisal and glass fiber reinforced polymer composites. Journal of Natural Fibers, 13(3), 321–331. DOI 10.1080/15440478.2015.1029192. [Google Scholar] [CrossRef]
24. Jawaid, M., Khalil, H. A., Hassan, A., Dungani, R., Hadiyane, A. (2013). Effect of jute fibre loading on tensile and dynamic mechanical properties of oil palm epoxy composites. Composites Part B: Engineering, 45(1), 619–624. DOI 10.1016/j.compositesb.2012.04.068. [Google Scholar] [CrossRef]
25. Rashid, B., Leman, Z., Jawaid, M., Ghazali, M. J., Ishak, M. R. (2017). Influence of treatments on the mechanical and thermal properties of sugar palm fibre reinforced phenolic composites. BioResources, 12(1), 1447–1462. [Google Scholar]
26. Shaw, M. T., MacKnight, W. J. (2018). Introduction to polymer viscoelasticity. John Wiley & Sons, USA. [Google Scholar]
27. Tripathi, P., Gupta, V. K., Dixit, A., Mishra, R. K., Sharma, S. (2018). Development and characterization of low cost jute, bagasse and glass fiber reinforced advanced hybrid epoxy composites. AIMS Materials Science, 5(2), 320–337. DOI 10.3934/matersci.2018.2.320. [Google Scholar] [CrossRef]
28. Saba, N., Paridah, M. T., Abdan, K., Ibrahim, N. A. (2016). Dynamic mechanical properties of oil palm nano filler/kenaf/epoxy hybrid nanocomposites. Construction and Building Materials, 124, 133–138. DOI 10.1016/j.conbuildmat.2016.07.059. [Google Scholar] [CrossRef]
29. Portella, E. H., Romanzini, D., Angrizani, C. C., Amico, S. C., Zattera, A. J. (2016). Influence of stacking sequence on the mechanical and dynamic mechanical properties of cotton/glass fiber reinforced polyester composites. Materials Research, 19(3), 542–547. DOI 10.1590/1980-5373-MR-2016-0058. [Google Scholar] [CrossRef]
30. Asim, M., Jawaid, M., Nasir, M., Saba, N. (2018). Effect of fiber loadings and treatment on dynamic mechanical, thermal and flammability properties of pineapple leaf fiber and kenaf phenolic composites. Journal of Renewable Materials, 6(4), 383–393. DOI 10.7569/JRM.2017.634162. [Google Scholar] [CrossRef]
31. Koyuncu, M., Karahan, M., Karahan, N., Shaker, K., Nawab, Y. (2016). Static and dynamic mechanical properties of cotton/epoxy green composites. Fibres & Textiles in Eastern Europe, 4(118), 105–111. DOI 10.5604/12303666.1201139. [Google Scholar] [CrossRef]
32. Luz, F. S. D., Monteiro, S. N., Tommasini, F. J. (2018). Evaluation of dynamic mechanical properties of PALF and coir fiber reinforcing epoxy composites. Materials Research, 21, 1–5. DOI 10.1590/1980-5373-mr-2017-1108. [Google Scholar] [CrossRef]
33. Lee, C. H., Salit, M. S., Hassan, M. R. (2014). A review of the flammability factors of kenaf and allied fibre reinforced polymer composites. Advances in Materials Science and Engineering, 2014(3), 1–8. DOI 10.1155/2014/514036. [Google Scholar] [CrossRef]
34. Jawaid, M., Alothman, O. Y., Paridah, M. T., Khalil, H. S. A. (2014). Effect of oil palm and jute fiber treatment on mechanical performance of epoxy hybrid composites. International Journal of Polymer Analysis and Characterization, 19(1), 62–69. DOI 10.1080/1023666X.2014.858429. [Google Scholar] [CrossRef]
35. Lu, H., Nutt, S. (2003). Restricted relaxation in polymer nanocomposites near the glass transition. Macromolecules, 36(11), 4010–4016. DOI 10.1021/ma034049b. [Google Scholar] [CrossRef]
36. Asaithambi, B., Ganesan, G. S., Ananda Kumar, S. (2017). Banana/sisal fibers reinforced poly (lactic acid) hybrid biocomposites; influence of chemical modification of BSF towards thermal properties. Polymer Composites, 38(6), 1053–1062. DOI 10.1002/pc.23668. [Google Scholar] [CrossRef]
37. Rajesh, M., Pitchaimani, J. (2016). Dynamic mechanical analysis and free vibration behavior of intra-ply woven natural fiber hybrid polymer composite. Journal of Reinforced Plastics and Composites, 35(3), 228–242. DOI 10.1177/0731684415611973. [Google Scholar] [CrossRef]
38. Mazuki, A. A. M., Akil, H. M., Safiee, S., Ishak, Z. A. M., Bakar, A. A. (2011). Degradation of dynamic mechanical properties of pultruded kenaf fiber reinforced composites after immersion in various solutions. Composites Part B: Engineering, 42(1), 71–76. DOI 10.1016/j.compositesb.2010.08.004. [Google Scholar] [CrossRef]
39. Sathish, P., Kesavan, R., Ramnath, B. V., Vishal, C. (2017). Effect of fiber orientation and stacking sequence on mechanical and thermal characteristics of banana-kenaf hybrid epoxy composite. Silicon, 9(4), 577–585. DOI 10.1007/s12633-015-9314-7. [Google Scholar] [CrossRef]
40. Chee, S. S., Jawaid, M., Sultan, M. T. H., Alothman, O. Y., Abdullah, L. C. (2019). Thermomechanical and dynamic mechanical properties of bamboo/woven kenaf mat reinforced epoxy hybrid composites. Composites Part B: Engineering, 163, 165–174. DOI 10.1016/j.compositesb.2018.11.039. [Google Scholar] [CrossRef]
41. Majeed, K., Jawaid, M., Hassan, A., Abu Bakar, A., Abdul Khalil, H. P. S. et al. (2013). Potential materials for food packaging from nanoclay/natural fibres filled hybrid composites. Materials & Design, 46, 391–410. DOI 10.1016/j.matdes.2012.10.044. [Google Scholar] [CrossRef]
42. Ferreira, J. M., Capela, C., Manaia, J., Costa, J. D. (2016). Mechanical properties of woven mat jute/epoxy composites. Materials Research, 19(3), 702–710. DOI 10.1590/1980-5373-MR-2015-0422. [Google Scholar] [CrossRef]
43. Karsli, N. G., Demirkol, S., Yilmaz, T. (2016). Thermal aging and reinforcement type effects on the tribological, thermal, thermomechanical, physical and morphological properties of poly (ether ether ketone) composites. Composites Part B: Engineering, 88, 253–263. DOI 10.1016/j.compositesb.2015.11.013. [Google Scholar] [CrossRef]
44. Azwa, Z. N., Yousif, B. F. (2013). Thermal degredation study of kenaf fibre/epoxy composites using thermo gravimetric analysis. Proceedings of the 3rd Malaysian Postgraduate Conference, Sydney, Australia, pp. 256–264, Education Malaysia. [Google Scholar]
45. Raghavendra, G., Ojha, S., Acharya, S. K., Pal, S. K. (2014). Jute fiber reinforced epoxy composites and comparison with the glass and neat epoxy composites. Journal of Composite Materials, 48(20), 2537–2547. DOI 10.1177/0021998313499955. [Google Scholar] [CrossRef]
46. Sharba, M. J., Leman, Z., Sultan, M. T., Ishak, M. R., Hanim, M. A. A. (2015). Effects of kenaf fiber orientation on mechanical properties and fatigue life of glass/kenaf hybrid composites. BioResources, 11(1), 1448–1465. [Google Scholar]
47. Zuhudi, N. Z. M., Lin, R. J., Jayaraman, K. (2016). Flammability, thermal and dynamic mechanical properties of bamboo-glass hybrid composites. Journal of Thermoplastic Composite Materials, 29(9), 1210–1228. DOI 10.1177/0892705714563118. [Google Scholar] [CrossRef]
48. Chee, S. S., Jawaid, M., Sultan, M. T. (2017). Thermal stability and dynamic mechanical properties of kenaf/bamboo fibre reinforced epoxy composites. BioResources, 12(4), 7118–7132. [Google Scholar]
49. Azwa, Z. N., Yousif, B. F. (2013). Characteristics of kenaf fibre/epoxy composites subjected to thermal degradation. Polymer Degradation and Stability, 98(12), 2752–2759. DOI 10.1016/j.polymdegradstab.2013.10.008. [Google Scholar] [CrossRef]
![]() | This work is licensed under a Creative Commons Attribution 4.0 International License, which permits unrestricted use, distribution, and reproduction in any medium, provided the original work is properly cited. |