![]() | Journal of Renewable Materials | ![]() |
DOI: 10.32604/jrm.2023.020277
ARTICLE
Study on Biological Pathway of Carbon Dioxide Methanation Based on Microbial Electrolysis Cell
College of Energy and Mechanical Engineering, Shanghai University of Electric Power, Shanghai, 200090, China
*Corresponding Author: Qifen Li. Email: liqifen73@163.com
Received: 15 November 2021; Accepted: 22 February 2022
Abstract: Realization of CO2 resource utilization is the main development direction of CO2 reduction. The CO2 methanation technology based on microbial electrolysis cell (MEC) has the characteristics of ambient temperature and pressure, green and low-carbon, which meets the need of low-carbon energy transition. However, the lack of the system such as the change of applied voltage and the reactor amplification will affect the methane production efficiency. In this research, the efficiency of methane production with different applied voltages and different types of reactors was carried out. The results were concluded that the maximum methane production rate of the H-type two-chamber microbial electrolysis cells (MECs) at an applied voltage of 0.8 V was obtained to be 1.15 times higher than that of 0.5 V; under the same conditions of inoculated sludge, the reactor was amplified 2.5 times and the cumulative amount of methane production was 1.04 times higher than the original. This research can provide a theoretical basis and technical reference for the early industrial application of CO2 methanation technology based on MEC.
Keywords: CO2 methanation; microbial electrolysis cell (MEC); microbial electrolytic cell enlargement; external voltage
Energy decarbonization transition is a matter of human future [1,2]. In order to mitigate the serious impact of the greenhouse effect caused by greenhouse gases represented by CO2 on the survival of the planet, China has committed to peak its carbon emissions by 2030 and achieve carbon neutrality by 2060 (“double carbon” goal of China) [3,4]. The essence of carbon neutrality is to achieve green use of carbon and circular economy. Before the complete withdrawal of fossil fuels from the energy sector, the combination of carbon capture, utilization and storage (CCUS) technologies [5–7] for CO2 resource utilization is one of the important ways to achieve the “double carbon” goal. CO2 hydromethanation is the synthesis of methane from CO2 and hydrogen in the presence of a catalyst [8–10], On the one hand, it can achieve carbon emission reduction and resource utilization of CO2; on the other hand, it can solve the shortage of natural gas supply and explore the commercial value of CCUS downstream utilization technology [11,12]. Therefore, the technology of converting CO2 to methane has a broad development prospect and is of great significance to the transition of energy to low-carbon. Catalyst development is the top priority for CO2 methanation [13–15]. At present, the catalyst active components are mainly transition metals, especially Ni has been studied most frequently [16–18]. Compared with metal catalysts, which are expensive, have high reaction temperature and rapid catalyst degradation [19], biocatalysts have the advantages of low cost, sustainability [20,21], green and low carbon, and environmental friendliness [22]. The development and utilization of CO2 biomethanation technology to promote the carbon cycle in nature will be a great boost to the transition to cleaner and lower carbon energy.
Microbial electrolytic cell (MEC) has great promise for energy production and recovery [23–25]. MEC is a bioelectrochemical reactor that uses electroactive microorganisms enriched on the electrode surface as catalysts for anodic oxidation or cathodic reduction under the action of applied voltage [26–28]. The reduction of CO2 to methane using MEC cathode functional microorganisms (methanogens) is a new technology that balances environmental and energy issues. Cheng et al. first used a biocathode containing methanogenic bacteria in a two-chamber microbial electrolysis cells (MECs) to reduce CO2 to methane [27]. Villano et al. [29] demonstrated the feasibility of CO2 reduction to methane using a biocathode (graphite rods as electron donors and Hydrophilic methanogens as catalysts) at a coulombic efficiency of more than 80%. Jiang et al. [30] confirmed that certain strains of electrochemically active mixed culture can directly obtain electrons from the cathode to reduce CO2 to synthesize methane. In order to minimize the operating cost of methane production, Siegert et al. [31] studied the methane production efficiency of several different cathode electrode materials in methanogenic microbial electrolysis cells (MMCs). Guo et al. [32] demonstrated that increasing the cathode/anode ratio significantly increased the yield of methane in membraneless MECs. Different applied voltages have a significant effect on the composition of the dominant strain in the cathode chamber of the microbial electrolyzer [29], the type of product, and the ratio. For example, Jiang et al. [30] showed that when the cathodic potential was set in the interval of −850 to −950 mV (vs. Ag/AgCl), the cathodic gas products were methane and hydrogen; when the cathodic potential was less than −950 mV, the cathodic products were acetic acid, methane, and hydrogen [30]. Villano et al. [29] showed that when the cathode potential is greater than −650 mV, methanogenic bacteria can directly obtain electrons from the surface of the cathode electrode to reduce CO2 to produce methane, while when the cathode potential is less than −650 mV, methanogenic bacteria can not only directly obtain electrons from the surface of the cathode electrode to reduce CO2 to produce methane, but also use the hydrogen produced at the surface of the cathode to reduce CO2 to produce methane. This suggests that the methane production in the cathode chamber [33] and the metabolic pathways of methanogenic bacteria are closely related to the applied voltage. In addition, the application of MEC technology is still in its infancy [34,35]. The amplified MEC is very different from the small-scale MEC in reducing CO2 to produce methane, and in-depth study of the relationship between the two to find the optimal amplification of MEC methane production efficiency is necessary for the industrial application of this technology Therefore, three groups of H-type two-chamber microbial electrolysis cells (MECs) have been constructed in this paper. Anaerobic activated sludge from Shanghai Bailonggang Wastewater Treatment Plant was used as inoculated sludge for the cathode chamber of MECs, the required carbon source is provided by a CO2 storage cylinder (99.99% purity). The efficiency of methane production by different applied voltages and different types of reactors was systematically studied, including methane yield and methane production rate, pH of the cathode chamber solution, magnitude of current density in the circuit, and cyclic voltammetric curves. It aims to reveal the influence of applied voltage and reactor model on the performance of CO2 biomethanation, so as to provide theoretical basis and technical reference for the application of CO2 methanation engineering based on microbial electrolytic cells.
2 Experimental Materials and Methods
The reactor used in this experiment is an H-type two-chamber reactor, and the main body of the reactor is made of organic glass material, and its physical diagram is shown in Fig. 1. Three sets of control experiments were set up in this experiment. Among them, two sets of single-chamber model 100 mL H-type two-chamber reactors, the effective volume of the cathode and anode chambers are both 155 mL, the cathode and anode chambers are respectively filled with 110 and 120 mL of electrolyte solution (PH = 7), each connected to a set of constant potential instrument (DJS-292B, Shanghai Xinrui Instrument Co., Ltd., China) provides 0.5 and 0.8 V external voltages; A set of single-chamber model 250 mL H-type two-chamber reactors, the effective volume of both cathode and anode chambers was 300 mL, and 250 mL of electrolyte solution (PH = 7) was added to both cathode and anode chambers, and a set of constant potential instrument (DJS-292B, Shanghai Xinrui Instruments Co., Ltd., China) was connected to provide 0.8 V applied voltage. These three groups of H-type two-chamber MEC reactor cathode chambers were all inoculated with 28 g of activated sludge centrifuged by a centrifuge. The anode is made of platinum sheet electrode (Φ 10 mm × 10 mm × 0.1 mm), the reference electrode is Agcl electrode (model CHI111). The cathode is made of 1 mm diameter titanium wire connected with high purity graphite felt (Φ 4 mm × 4 mm × 0.1 mm). The cathode and anode chambers are separated by a DuPont proton exchange membrane (model N117), the distance between cathode and anode is 11 cm. The reference electrode is inserted through the hole diagonally above the cathode chamber, and the remaining orifices are sealed with sealing skin gaskets and coated with AB glue to ensure a strictly anaerobic environment in the cathode chamber.

Figure 1: Physical diagram of H-type two-chamber MECs
2.2 Electrolyte Solution Formulation
The formulations of electrolyte solutions required for the cathode and anode chambers and the formulations of trace metals required in the electrolyte solutions in this experiment are shown in Tables 1 and 2.


2.3 Experimental Operating Conditions
In this experiment, the activated sludge inoculated in the cathode chamber was obtained from Shanghai Bailonggang Wastewater Treatment Plant, and the electrolyte solution injected in the cathode and anode chambers was pH = 7. The assembled three groups of H-type two-chamber reactors were put into an electric thermostatic water bath (DK-S26 type, Shanghai Jinghong Experimental Equipment Co., Ltd., China) at a temperature of 37°C, and CO2 with a flow rate of 0.3 L/min was passed into the cathode chamber for aeration, in which the aeration time was 30 min, and the period was 48 h. Domestication of cathodically functional microorganisms and start-up of the reactor.
2.4 Experimental Test Items and Methods
After the MEC reactor entered the stable operation stage, 1 ml of the gas produced in the cathode chamber was taken out with a sample injector every 48 h and injected into a gas chromatograph (GC9800, Shanghai Sci-Tech Chromatography Instruments Co., Ltd., China) for detection. The different gases were distinguished according to the peak time of each gas (the peak times of hydrogen, methane and CO2 are 2.5, 14 and 23 min, respectively), and the yield of each gas component was calculated by the peak area.
2.4.2 Detection of pH of Cathode Chamber Solution
During the experiment, the pH value of the cathode chamber solution was checked every 48 h with a pH meter (PHS-3E type, Shanghai Yidian Scientific Instruments Co., Ltd., China). The specific method is to draw out a small amount of cathode chamber solution with a needle tube before CO2 aeration at the end of each experiment cycle, then measure and record with a pH meter, and then re-inject the drawn solution into the cathode chamber after the measurement.
During the operation of the H-type two-chamber reactor, the changes of current were recorded in real time with a recording paperless recorder (4 channels, Hangzhou Miko Sensing Technology Co., Ltd., China), and the current was retrieved from the recorder at the end of the experiment. In microbial electrochemical systems, the magnitude of the current density responds to the rate of electron transfer between the cathode and the methanogenic bacteria [36], the current density IA calculation formula is as follows (1):
Among them, I is the circuit current (A), and A is the surface area of the cathode graphite felt (m2).
2.4.4 Cyclic Voltammetric Scan
In this experiment, the electrochemical workstation (CHI660E, Shanghai Chenhua Instruments Co., Ltd., China) was used for cyclic voltammetric (CV) scanning of the reactor to study the electrochemical activity of cathodically inoculated microorganisms. Before the start of the experiment, the CV scan was performed for each of the three groups of reactors that had been inoculated with activated sludge using a three-electrode system. Among them, the cathode was connected to the working electrode, the anode was connected to the counter electrode, and AgCl was used as the reference electrode. The scanning potential range was −1.2∼0.6 V, and the scanning rate was 0.05 V/s. At the end of the experiment, the CV scan was performed again for the three groups of reactors using the same method.
3 Experimental Results and Discussion
3.1 Analysis of the Efficiency of Methane Production under Different Conditions
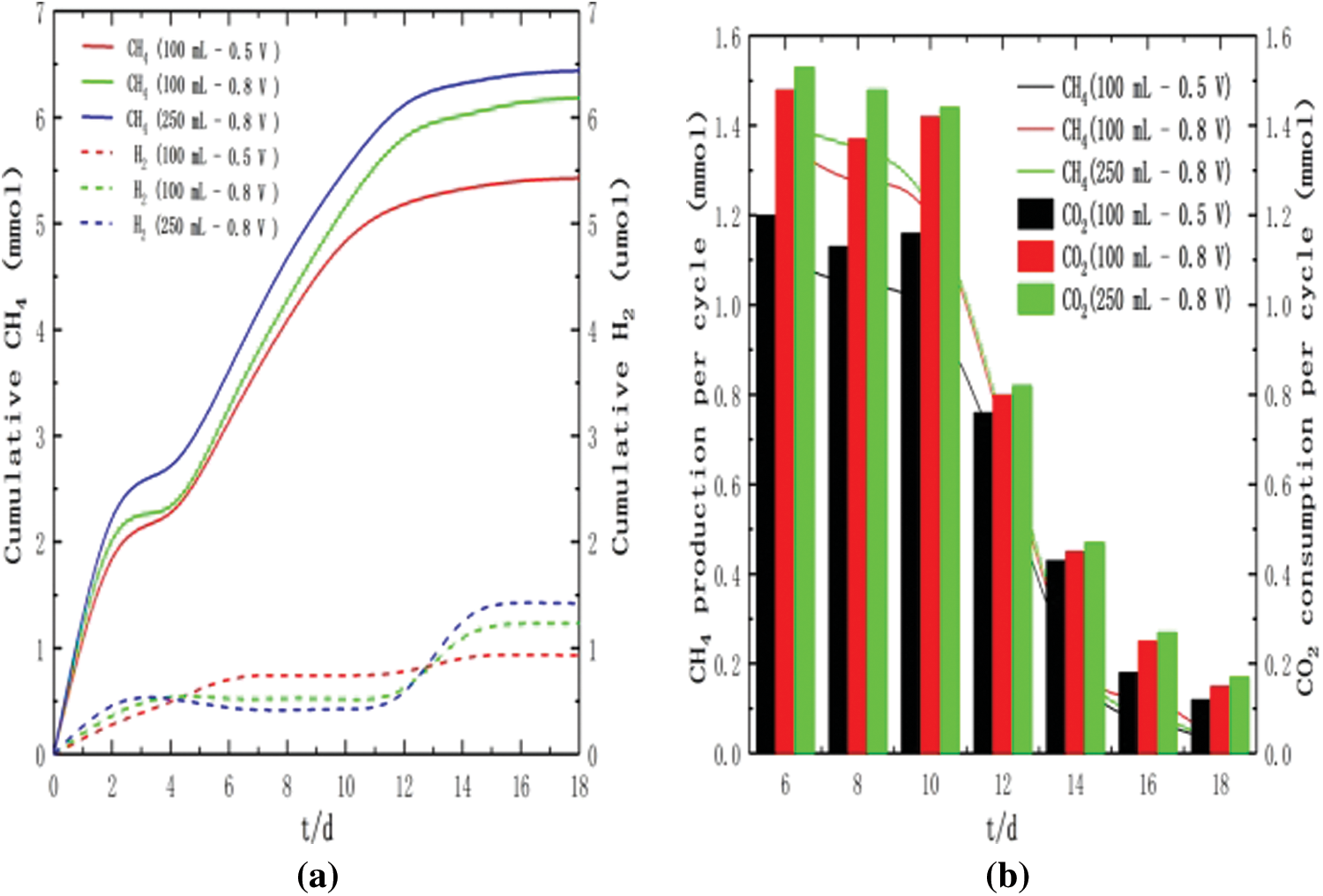
As shown in the solid line in Fig. 2a, the methane production increased in all three groups of experiments before the second day, indicating that the microbial ecology of the cathode chamber had been formed and the strains started to produce methane. However, the cumulative methane production of all three groups of experiments decreased on the fourth day, and the proportion of CO2 in the gas fraction was about 40% on the second day as well as the fourth day, indicating that the CO2 was not fully utilized during the reaction process in the first four days, and the anaerobic digestion of the strain was the main part of the cumulative methane production, and the reactor was in the start-up stage. From the fourth day, the cumulative methane production of all three experiments was in the increasing stage, and the proportion of CO2 in the gas fraction was very small, indicating that the methanogenic bacteria had become the dominant species, and the methane production through bioelectrochemical reduction of CO2 was the main part of the cumulative methane production, and the reactor was in the stable operation stage. The variation of the content of hydrogen as the main by-product is shown in Fig. 2a dashed line. The hydrogen content of the three groups of experiments is extremely low, which may be because the methanogens in the three experiments can directly obtain electrons from the surface of the cathode to reduce CO2 to produce methane (no hydrogen is produced) or the methanogenic bacteria have a very high efficiency in using and converting hydrogen [29]. As shown in Fig. 2b, the CO2 consumption in each cycle of the three groups of experiments was higher than the amount of methane produced during the stable operation phase of the reactor. This may be because the metabolism of the strain itself required a portion of CO2 consumption [37].

Figure 2: (a) Cumulative yield of methane and hydrogen for three groups of experiments. (b) Methane production and CO2 consumption per cycle (temperature 37°C, initial pH 7)
In the stable operation stage of the reactor, by comparing the cumulative methane production and methane production rate of the two experiments at 100 mL – 0.5 V and 100 mL – 0.8 V, the latter group outperformed the former group, indicating that under the same conditions, an increase in the applied voltage within a certain range is beneficial to enhance the activity of methanogenic bacteria and increase the methane production. When the applied voltage is too high, it can damage the cell membrane of microorganisms and affect the activity of methanogenic bacteria, resulting in lower methane production [38]. By comparing the cumulative methane production and methane production rate of 100 mL – 0.8 V and 250 mL – 0.8 V experiments in the stable operation stage of the reactor, the latter group outperformed the former group, indicating that 2.5 times amplification of the reactor can increase the efficiency of CO2 reduction and methane production by methanogenic bacteria under the same inoculated sludge conditions. By comparing these three sets of experiments, it is shown that the applied voltage as well as the reactor volume can affect the efficiency of methane production from the cathode of the MEC reactor.
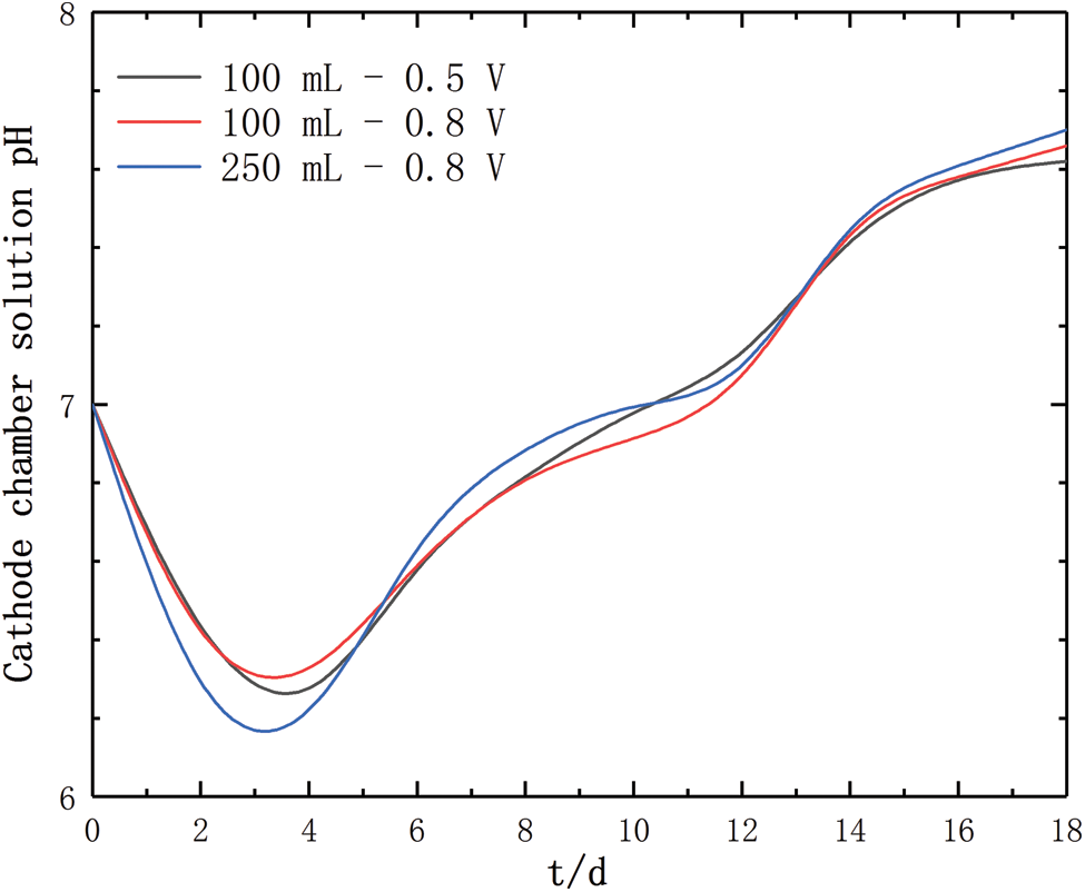
3.2 Analysis of pH of Cathode Chamber Solution under Different Conditions
The change of pH has a great influence on the activity of the strain, and either too acidic or too alkaline solution in the cathode chamber may kill the strain and make the system unbalanced, leading to the failure of the experiment. Phosphate buffer saline (PBS) has the function of buffering solution pH and adding PBS to the electrolyte can maintain the stable pH of strain survival environment, which is conducive to the stable operation of MEC methanogenesis process. Therefore, the pH fluctuations during the three sets of experimental reactions as shown in Fig. 3 were very small (6.12–7.70). Despite the addition of PBS to the electrolyte, the pH of the cathode solution has been dynamically changing due to the continuous gain and loss of hydrogen ions at the cathode. As shown in Fig. 3, the pH decreased in the first four days for all three groups of experiments, and the proportion of hydrogen in the gas fraction was very small, indicating that the hydrogen ions produced by the anode were not utilized in time after passing to the cathode, and the accumulation of hydrogen ions led to the enhancement of the acidity of the cathode solution. Combined with the cumulative methane production in the first four days of Fig. 2a, it further verified that anaerobic digestion of the strain was the main way to produce methane during the first four days of the reaction, and the reactor was in the start-up period. From the fourth to the twelfth day, the pH of all three experimental groups gradually approached to 7. Combined with Fig. 2a, the methanogenic rate also became faster from the fourth to the twelfth day, further verifying that the methanogenic bacteria were producing methane through bioelectrochemical reduction of CO2 at this stage, and the activity of methanogenic bacteria was increasing with the increase of pH. From the fourteenth day, the pH of the cathode chamber solution increased to 7.50 and still rising, and the methane production as well as the methanogenic rate slowed down, indicating that when the pH > 7.50, the activity of methanogenic bacteria decreased and was not conducive to methane production.

Figure 3: Solution pH of cathode chamber for three groups of experiments
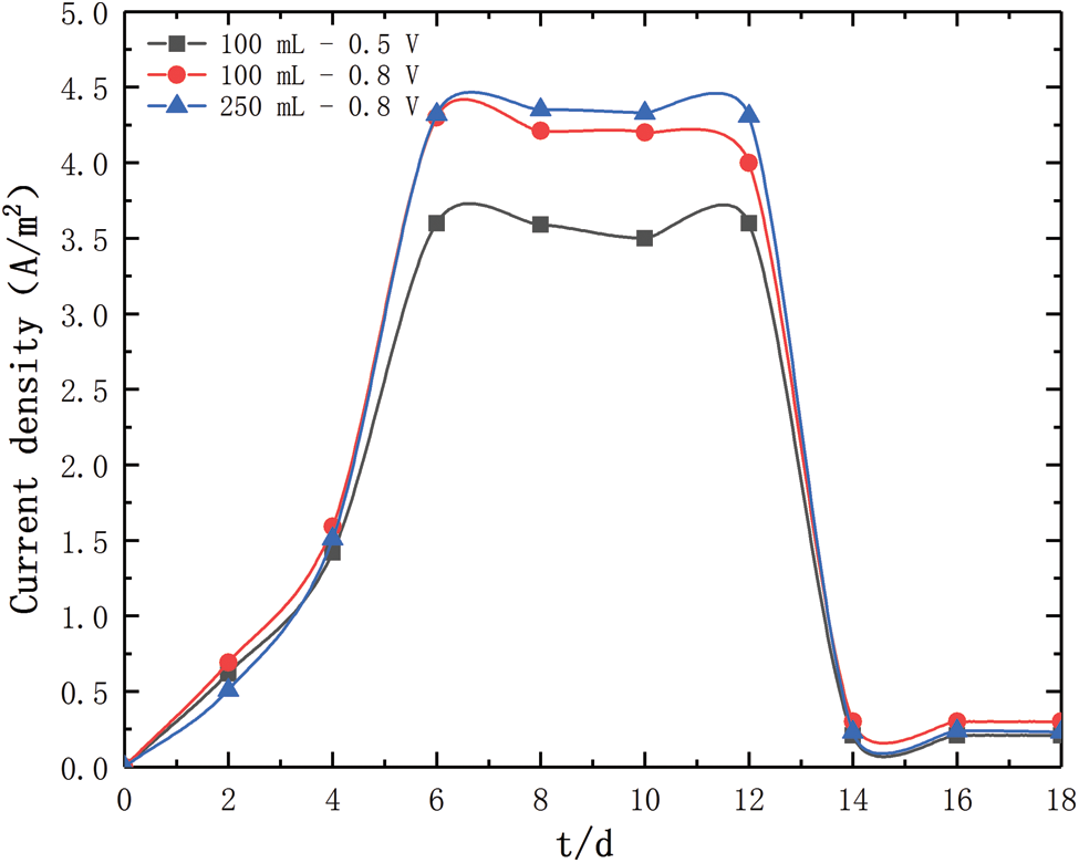
3.3 Analysis of Current Density under Different Conditions
As shown in Fig. 4, the current density increased slowly in the first four days for all three groups of experiments, which was because the electroactive microorganisms were adsorbing on the surface of the cathodic graphite felt after the activated sludge was injected into the cathode chamber, and the reactor was in the start-up phase, and the biofilm on the surface of the cathodic graphite felt had not been fully formed. The current density increased rapidly in all three experimental groups from the fourth to the sixth day, reaching a peak on the sixth day and then stabilizing, indicating that the biofilm had formed on the surface of the cathode graphite felt and the reactor was in a stable gas production stage. When the reactor was operated for twelve days, the current density decreased rapidly in all three experimental groups, and then decreased slowly and finally stabilized. In this experiment, the applied voltage is constant, and the current decreases because the internal resistance of the MEC system increases. Combined with Fig. 3, it is possible that the increase in internal resistance is related to the increase in pH of the cathode chamber solution. On days six to twelve, when the reactor was in stable operation, IA= 3.59 A/m2 for the 100 mL – 0.5 V group, IA= 4.21 A/m2 for the 100 mL – 0.8 V group, and IA= 4.33 A/m2 for the 250 mL – 0.8 V group. By comparing these three experiments, it was shown that the rate of electron transfer between the cathode and the methanogenic bacteria at an applied voltage of 0.8 V was better than 0.5 V, and the current density increased by 1.03 times when the reactor model was increased by 2.5 times.

Figure 4: Variation of current density in three groups of experiments (temperature 37°C, initial pH 7)
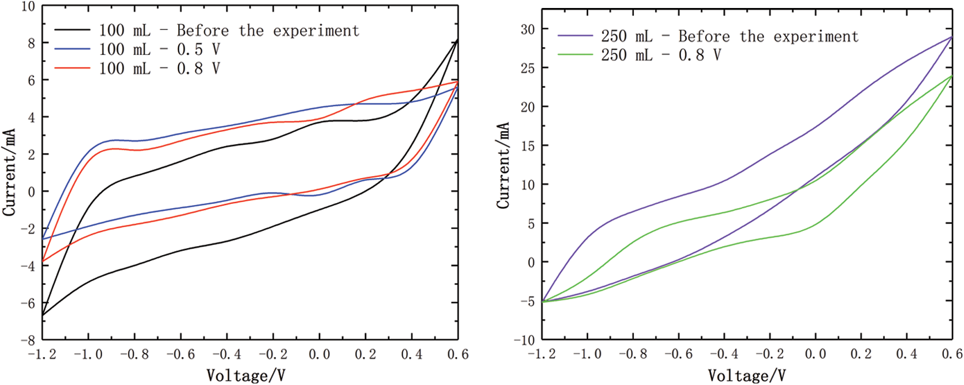
3.4 Analysis of CV Curves under Different Conditions
As shown in the CV scan curve in Fig. 5, the redox current generated during the scan is very low. The results of cyclic voltammetric scanning showed that the solution in the cathode chamber at the end of the experiment had stronger redox activity compared with that before the start of the experiment, indicating that the cathode microorganisms have good bioelectrochemical activity and that the methanogenic bacteria inoculated in the MEC cathode can reduce CO2 to produce methane under a certain applied voltage. In the CV diagram of the experimental group, there is no obvious redox peak, probably because the composition of the solution in the cathode chamber is more complex, the background current is larger, and the redox current is smaller, so the redox peak cannot be seen in this case.

Figure 5: MEC CV curves before and after the experiments under different conditions
In this experiment, the H-type two-chamber MEC reaction system with anaerobic activated sludge from Shanghai Bailonggang Wastewater Treatment Plant as the inoculum sludge and CO2 storage cylinders as the sole carbon source was constructed, and the effects of 0.5, 0.8 V applied voltage and 100, 250 mL reactors on the performance of CO2 methanation based on microbial electrolysis cells were investigated. Research indicates:
1. The operation of the reactor is divided into a start-up phase and a stable operation phase. In the start-up phase, the cathode biofilm is not yet formed, and the anaerobic digestion of the strain is the main formation of methane production; in the stable operation phase, the cathode biofilm has been formed, and at this time, methane production through the bioelectrochemical reduction of CO2 by methanogenic bacteria accounts for a major part of methane production.
2. Both the applied voltage as well as the reactor volume can affect the effectiveness of the MEC reactor cathode function microorganisms to produce methane from CO2. Under the same conditions, an increase in the applied voltage of MEC within a certain range is beneficial for enhancing the activity of methanogenic bacteria, increasing CO2 utilization and improving methane production. In this experiment, the amount of methane accumulated substance is 5.43, 6.18 and 6.44 mmol for the experimental 100 mL – 0.5 V group, experimental 100 mL – 0.8 V group and experimental 250 mL – 0.8 V group, respectively.
3. Maintaining the pH of the cathode chamber solution within the range of strong methanogen activity is essential for the stable operation of the MEC reactor and the continuous reduction of CO2 to produce methanogenesis. In this experiment, when the pH is around 7, the methanogenic bacteria activity is the strongest and the methanogenic efficiency is the best; when the pH > 7.50, the methanogenic bacteria activity is obviously reduced, which is not conducive to methane production.
Funding Statement: We gratefully acknowledge the Shanghai Science and Technology Development Fund, No. 20dz1206300.
Conflicts of Interest: The authors declare that they have no conflicts of interest to report regarding the present study.
1. Papadis, E., Tsatsaronis, G. (2020). Challenges in the decarbonization of the energy sector. Energy, 205, 118–025. DOI 10.1016/j.energy.2020.118025. [Google Scholar] [CrossRef]
2. Barido, D. P. D. L., Avila, N., Kammen, D. M. (2019). Exploring the enabling environments, inherent characteristics and intrinsic motivations fostering global electricity decarbonization. Energy Research & Social Science, 61, 101–343. DOI 10.1016/j.erss.2019.101343. [Google Scholar] [CrossRef]
3. Mallapaty, S. (2020). How China could be carbon neutral by mid-century. Nature, 586 (7830), 482–483. DOI 10.1038/d41586-020-02927-9. [Google Scholar] [CrossRef]
4. Lu, W., Li, Y. S., Li, Y. J. (2021). Impact of the Paris agreement on China’s carbon reduction and the economy. The Journal of Asian Studies, 24(3), 129–150. DOI 10.21740/jas.2021.08.24.3.129. [Google Scholar] [CrossRef]
5. Fan, J. L., Xu, M., Wei, S., Shen, S., Zhang, X. et al. (2020). Carbon reduction potential of China’s coal-fired power plants based on a CCUS source-sink matching model. Resources Conservation and Recycling, 168, 105–320. DOI 10.1016/j.resconrec.2020.105320. [Google Scholar] [CrossRef]
6. Tang, H. T., Zhang, S., Chen, W. (2021). Assessing representative CCUS layouts for China’s power sector toward carbon neutrality. Environmental Science & Technology, 55(16), 11225–11235. DOI 10.1021/acs.est.1c03401. [Google Scholar] [CrossRef]
7. Zhang, Z., Pan, S. Y., Li, H., Cai, C. H., Olabi, A. G. et al. (2020). Recent advances in carbon dioxide utilization. Renewable and Sustainable Energy Reviews, 125, 109–799. DOI 10.1016/j.rser.2020.109799. [Google Scholar] [CrossRef]
8. Ghaib, K., Ben-Fares, F. Z. (2018). Power-to-methane: A state-of-the-art review. Renewable and Sustainable Energy Reviews, 81(1), 433–446. DOI 10.1016/j.rser.2017.08.004. [Google Scholar] [CrossRef]
9. Chauvy, R., Verdonck, D., Dubois, L., Thomas, D., Weireld, G. D. (2021). Techno-economic feasibility and sustainability of an integrated carbon capture and conversion process to synthetic natural gas. Journal of CO2 Utilization, 47, 101–488. DOI 10.1016/j.jcou.2021.101488. [Google Scholar] [CrossRef]
10. Wang, L., Rao, M., Diethelm, S., Lin, T. E., Herle, J. V. (2019). Power-to-methane via co-electrolysis of H2O and CO2: The effects of pressurized operation and internal methanation. Applied Energy, 250, 1432–1445. DOI 10.1016/j.apenergy.2019.05.098. [Google Scholar] [CrossRef]
11. Ning, W., Jiao, Z., Kevin, E., Ku, A., Liu, S. et al. (2021). Decarbonizing the coal-fired power sector in China via carbon capture, geological utilization, and storage technology. Environmental Science & Technology, 55(19), 13164–13173. DOI 10.1021/acs.est.1c01144. [Google Scholar] [CrossRef]
12. Singh, U., Colosi, L. M. (2021). The case for estimating carbon return on investment (CROI) for CCUS platforms. Applied Energy, 285, 116–394. DOI 10.1016/j.apenergy.2020.116394. [Google Scholar] [CrossRef]
13. Ahn, J., Kim, H., Ro, Y., Kim, J., Chung, W. et al. (2021). Development of pilot-scale CO2 methanation using pellet-type catalysts for CO2 recycling in sewage treatment plants and its validation through computational fluid dynamics (CFD) modeling. Catalysts, 11(8), 1005. DOI 10.3390/catal11081005. [Google Scholar] [CrossRef]
14. Inoue, M., Sato, M., Shima, A., Nakajima, H., Abe, T. et al. (2021). Practical application study of highly active CO2 methanation catalysts prepared using the polygonal barrel-sputtering method: Immobilization of catalyst particles. Catalysis Letters, 152, 1–6. DOI 10.1007/s10562-021-03623-7. [Google Scholar] [CrossRef]
15. Debek, R., Jury, F. A., Travert, A., Maugé, F. (2019). A review on plasma-catalytic methanation of carbon dioxide - looking for an efficient catalyst. Renewable and Sustainable Energy Reviews, 116, 109–427. DOI 10.1016/j.rser.2019.109427. [Google Scholar] [CrossRef]
16. Sreedhar, I., Varun, Y., Singh, S., Venugopal, A., Reddy, B. M. (2019). Developmental trends in CO2 methanation using various catalysts. Catalysis Science and Technology, 9(17), 4478–4504. DOI 10.1039/C9CY01234F. [Google Scholar] [CrossRef]
17. Costa, P. D., Hasrack, G., Bonnety, J., Henriques, C. (2021). Ni-based catalysts for plasma-assisted CO2 methanation. Current Opinion in Green and Sustainable Chemistry, 32(10), 100–540. DOI 10.1016/j.cogsc.2021.100540. [Google Scholar] [CrossRef]
18. Gao, Y., Dou, L., Zhang, S., Zong, L., Shao, T. et al. (2020). Coupling bimetallic Ni-Fe catalysts and nanosecond pulsed plasma for synergistic low-temperature CO2 methanation. Chemical Engineering Journal, 420, 127–693. DOI 10.1016/j.cej.2020.127693. [Google Scholar] [CrossRef]
19. Qiao, J., Liu, Y., Hong, F., Zhang, J. (2014). A review of catalysts for the electroreduction of carbon dioxide to produce low-carbon fuels. Chemical Society Reviews, 45(2), 631–675. DOI 10.1039/C3CS60323G. [Google Scholar] [CrossRef]
20. Sheldon, R. A., Woodley, J. M. (2017). Role of biocatalysis in sustainable chemistry. Chemical Reviews, 118(2), 801–838. DOI 10.1021/acs.chemrev.7b00203. [Google Scholar] [CrossRef]
21. Znidarsic-Plazl, P. (2021). Biocatalytic process intensification via efficient biocatalyst immobilization, miniaturization, and process integration. Current Opinion in Green and Sustainable Chemistry, 32. DOI 10.1016/j.cogsc.2021.100546. [Google Scholar] [CrossRef]
22. Liu, X. W., Li, W. W., Yu, H. Q. (2014). Cathodic catalysts in bioelectrochemical systems for energy recovery from wastewater. Chemical Society Reviews, 43(22), 7718–7745. DOI 10.1039/C3CS60130G. [Google Scholar] [CrossRef]
23. Hua, T., Li, S., Li, F., Zhou, Q., Ondon, B. S. (2019). Microbial electrolysis cell as an emerging versatile technology: A review on its potential application, advance and challenge. Journal of Chemical Technology & Biotechnology, 94(6), 1697–1711. DOI 10.1002/jctb.5898. [Google Scholar] [CrossRef]
24. Zhang, Y., Jing, Q., Gong, L., Liu, H., Cui, M. et al. (2020). In-situ mineral CO2 sequestration in a methane producing microbial electrolysis cell treating sludge hydrolysate. Journal of Hazardous Materials, 394, 122–519. DOI 10.1016/j.jhazmat.2020.122519. [Google Scholar] [CrossRef]
25. González-Pabón, M. J., Cardea, R., Cortón, E., Buitrón, G. (2021). Hydrogen production in two-chamber MEC using a low-cost and biodegradable poly(vinyl) alcohol/chitosan membrane. Bioresource Technology, 319, 124–168. DOI 10.1016/j.biortech.2020.124168. [Google Scholar] [CrossRef]
26. Zhang, Y., Angelidaki, I. (2014). Microbial electrolysis cells turning to be versatile technology: Recent advances and future challenges. Water Research, 56, 11–25. DOI 10.1016/j.watres.2014.02.031. [Google Scholar] [CrossRef]
27. Cheng, S., Xing, D., Call, D. F., Logan, B. E. (2009). Direct biological conversion of electrical current into methane by electromethanogenesis. Environmental Science & Technology, 43(10), 3953–3958. DOI 10.1021/es803531g. [Google Scholar] [CrossRef]
28. Yang, E., Mohamed, H. O., Park, S. G., Obaid, M., Al-Qaradawi, S. Y. et al. (2020). A review on self-sustainable microbial electrolysis cells for electro-biohydrogen production via coupling with carbon-neutral renewable energy technologies-sciencedirect. Bioresource Technology, 320, 124–363. DOI 10.1016/j.biortech.2020.124363. [Google Scholar] [CrossRef]
29. Villano, M., Aulenta, F., Ciucci, C., Ferri, T., Giuliano, A. et al. (2010). Bioelectrochemical reduction of CO2 to CH4 via direct and indirect extracellular electron transfer by a hydrogenophilic methanogenic culture. Bioresource Technology, 101(9), 3085–3090. DOI 10.1016/j.biortech.2009.12.077. [Google Scholar] [CrossRef]
30. Jiang, Y., Su, M., Zhang, Y., Zhan, G., Tao, Y. et al. (2013). Bioelectrochemical systems for simultaneously production of methane and acetate from carbon dioxide at relatively high rate. International Journal of Hydrogen Energy, 38(8), 3497–3502. DOI 10.1016/j.ijhydene.2012.12.107. [Google Scholar] [CrossRef]
31. Siegert, M., Yates, M. D., Call, D. F., Zhu, X., Spormann, A. et al. (2014). Comparison of nonprecious metal cathode materials for methane production by electromethanogenesis. ACS Sustainable Chemistry & Engineering, 2(4), 910–917. DOI 10.1021/sc400520x. [Google Scholar] [CrossRef]
32. Guo, Z., Thangavel, S., Wang, L., He, Z., Cai, W. et al. (2016). Efficient methane production from beer wastewater in a membraneless microbial electrolysis cell with a stacked cathode: The effect of the Cathode/Anode ratio on bioenergy recovery. Energy & Fuels, 31(1), 615–620. DOI 10.1021/acs.energyfuels.6b02375. [Google Scholar] [CrossRef]
33. Zhen, G., Kobayashi, T., Lu, X., Xu, K. (2015). Understanding methane bioelectrosynthesis from carbon dioxide in a two-chamber microbial electrolysis cells (MECs) containing a carbon biocathode. Bioresource Technology, 186, 141–148. DOI 10.1016/j.biortech.2015.03.064. [Google Scholar] [CrossRef]
34. Hu, H., Fan, Y., Liu, H. (2008). Hydrogen production using single-chamber membrane-free microbial electrolysis cells. Water Research, 42(15), 4172–4178. DOI 10.1016/j.watres.2008.06.015. [Google Scholar] [CrossRef]
35. Liu, D., Lei, L., Yang, B., Yu, Q., Li, Z. (2013). Direct electron transfer from electrode to electrochemically active bacteria in a bioelectrochemical dechlorination system. Bioresource Technology, 148, 9–14. DOI 10.1016/j.biortech.2013.08.108. [Google Scholar] [CrossRef]
36. Zhen, G., Lu, X., Kobayashi, T., Kumar, G., Xu, K. (2016). Promoted electromethanosynthesis in a two-chamber microbial electrolysis cells (MECs) containing a hybrid biocathode covered with graphite felt (GF). Chemical Engineering Journal, 284, 1146–1155. DOI 10.1016/j.cej.2015.09.071. [Google Scholar] [CrossRef]
37. Burkhardt, M., Busch, G. (2013). Methanation of hydrogen and carbon dioxide. Applied Energy, 111, 74–79. DOI 10.1016/j.apenergy.2013.04.080. [Google Scholar] [CrossRef]
38. Feng, Y., Zhang, Y., Chen, S., Quan, X. (2015). Enhanced production of methane from waste activated sludge by the combination of high-solid anaerobic digestion and microbial electrolysis cell with iron-graphite electrode. Chemical Engineering Journal, 259, 787–794. DOI 10.1016/j.cej.2014.08.048. [Google Scholar] [CrossRef]
![]() | This work is licensed under a Creative Commons Attribution 4.0 International License, which permits unrestricted use, distribution, and reproduction in any medium, provided the original work is properly cited. |