![]() | Journal of Renewable Materials | ![]() |
DOI: 10.32604/jrm.2022.019527
ARTICLE
Evaluation of Various Modification Methods for Enhancing the Performance of Recycled Concrete Aggregate
1College of Mechanics and Materials, Hohai University, Nanjing, 210098, China
2Shanghai Construction Group Co., Ltd., Shanghai, 200080, China
3College of Civil and Transportation Engineering, Hohai University, Nanjing, 210098, China
4Jiangsu Transportation Institute Co., Ltd., Nanjing, 210017, China
5Center for Advanced Cement-Based Materials (ACBM), Northwestern University, Evanston, II 60208, USA
*Corresponding Authors: Xiaoyan Liu. liuxiaoyan@hhu.edu.cn; Kai Lyu. 15651851126@163.com
Received: 28 September 2021; Accepted: 26 November 2021
Abstract: Due to the existence of the attached mortar, the performance of the recycled concrete aggregate (RCA) is inferior to the natural aggregate, which significantly limits its wide application in industry. In this study, five kinds of modified solutions were used to modify the surface of RCA, and the modification effects were compared. The results showed that sodium silicate, nano-silica (NS), Bacillus pasteurii and soybean powder had relatively good modification effects on RCA, which could reduce the crushing value and water absorption, and increase apparent density. The composite solution (15% sodium silicate and 2% NS) and soybean powder solution had better modification effect. The 28 d compressive strength and splitting tensile strength of recycled aggregate concrete (RAC) prepared by RCA modified by soybean powder solution were 4.6% and 5.2% higher than those prepared by RCA modified by composite solution, respectively. This indicates that among the five kinds of modified solutions, soybean powder solution has the best modification effect on RCA, and the optimal soaking time of soybean powder solution is 8 h. At this time, the crushing value, water absorption and apparent density of RCA are 12.8%, 5.3%, and 2653 kg/m3, respectively. The research results of this study provide a reference for the modification of RCA and its efficient utilization.
Keywords: Recycled concrete aggregate; modification solution; soybean powder; physical properties
In recent years, due to the vigorous promotion of urbanization and the continuous increase in the degree of urbanization in China, the construction industry has developed rapidly. However, with the continuous renovation and increase of construction facilities, various non-renewable resources such as sand and stone have been over-exploited, and resource reserves are in danger. At the same time, China has to demolish many concrete buildings every year. Waste concrete not only causes great waste of resources but also brings greater pressure to the environment [1,2]. Replacing natural aggregate with recycled concrete aggregate (RCA) in waste concrete can effectively realize the reuse of waste concrete [3]. It can also alleviate the current situation of the short supply of sand and stone, meeting the requirements of today’s society for green concrete. To promote the sustainable development of construction resources and the environment.
However, compared with natural aggregate, RCA has poor physical and mechanical properties in terms of gradation, porosity, crushing value and particle morphology. The reason is that there is attached mortar on the surface of RCA and the old interface transition zone (ITZ) between natural aggregate and attached mortar. Some researchers reported that the mechanical properties of the recycled aggregate concrete (RAC) are superior to the natural aggregate concrete with the EMV mix design method [4]. However, it is more widely accepted that the macro performance of the concrete prepared partly or totally with RCA is inferior to the concrete prepared with natural aggregate due to the relatively poorer properties of the RCA. It has been reported that the water absorption of natural aggregate is usually less than 1%, while the water absorption of RCA is between 3.6% and 8.0% [5]. Therefore, pre-wetting before using RCA to prepare concrete is usually necessary [6], otherwise, the concrete mixed with RCA has low workability and a significant reduction in mechanical properties and durability [7–9]. In addition, the RCA has such defects as large porosity, high crushing index, low apparent density and irregular particle shape [10,11]. The performance defect of RCA has become a big obstacle for the recycling of construction waste [12]. Therefore, improving the physical properties of RCA is the main means to improve the recycling rate of construction waste.
Sodium silicate is a kind of inexpensive and environmentally friendly chemical product, which can be applied to the modification of RCA and has a good modification effect [13]. Cheng et al. [14] used sodium silicate solutions with different concentrations (5%–40%) to soak RCA for 1, 5 and 24 h. The results showed that the optimal concentration of sodium silicate was 5% and the best soaking time was 1 h. Ngoc Kien et al. [13] found that compared with untreated RAC, the compressive strength of RAC prepared from RCA modified with sodium silicate increased by 33%–50%. Many scholars have studied the modification effect of nano-silica (NS) on RAC [15–17], the mechanical properties and durability of RAC have been significantly improved under the action of NS. However, there are relatively few studies on the use of NS to improve the quality of RCA. Zhang et al. [18] used two kinds of composite nano solution (NS and Nano-CaCO3) for surface treatment of RCA, which improved the surface mechanical properties of the old mortar, thereby improving the physical properties of RCA. Therefore, the use of NS or NS composite solution to improve the performance of RCA is an effective technical means.
Calcium carbonate biodeposition is another modification used in the construction industry. So far, the biodeposition treatment has been widely studied for the protection and consolidation of the surface of stones and concrete. Calcium carbonate biological deposition through the participation of Bacillus pasteurii will not cause serious impact on the environment. The application of calcium carbonate biodeposition to the modification of RCA can significantly repair the surface cracks of the RCA and fill its internal voids, thus improving the physical properties of RCA [19]. Wang et al. [20] conducted an experimental study on the physical properties of RCA modified by microbial mineralized deposits. The results showed that this method could effectively reduce water absorption and increase the apparent density of aggregates. The research of Grabiec et al. [21] also showed that the surface defects and the internal voids of RCA could be repaired by microbial deposition of Bacillus pasteurii, which improved the performance of RCA significantly. However, the microbial modification method has many problems, such as high cost and harsh modification conditions [22]. In order to reduce the cost of modification, RCA is modified by soybean powder, which has a similar effect to Bacillus pasteurii. The soybean powder contains the soybean enzyme, which also has the ability to hydrolyze urea (CO(NH2)2).
In this study, the chemical modification (sodium silicate, NS, sodium silicate and NS composite solution) and microbial carbonate precipitation (Bacillus pasteurii, soybean powder) were used to modify RCA. The effects of different solutions on crushing value, water absorption and apparent density of RCA were investigated. Furthermore, two kinds of RCA with better modification effects were selected to prepare RAC. The mechanical properties of RAC were tested and compared to provide a reference for further study of RCA modification.
RCA is obtained by crushing C40 waste concrete with the age of one year. The particle size range of RCA is 5–20 mm, and its physical properties are shown in Table 1. Ordinary Portland cement P·O 42.5 was used in this research, its Blaine fineness is 380 m2/kg The fine aggregate is natural river sand with a fineness modulus of 2.4. The sodium silicate solution is diluted by the sodium silicate stock solution (silica content is 27.3%, sodium oxide content is 8.54% and modulus is 3.3). The average particle size of NS is 20 nm, the purity is not less than 99.8% and the specific surface area is 380 m2/g (through BET measurement). Bacillus pasteurii freeze-dried powder (No. BNCC337394) was purchased from Beina Biotechnology Co., Ltd., China and it needs to be activated before use.

2.2 Treatment Process of the RCA
This research mainly consists of two parts. The first part focuses on the comparison and optimization of various modification methods, the purpose is to achieve the best efficiency to improve the quality of RCA. In the second part, the optimized modified RCA is selected to prepare concrete, the mechanical properties of RAC are investigated.
(1) Sodium silicate solution
The sodium silicate solution was prepared according to the concentration of 5%, 15% and 25%, the height of the liquid level was at least 5 mm higher than the RCA. The soaking time was 1, 5 and 24 h, in order to find the best modified concentration and time.
(2) NS solution
The concentration of NS solution was 1%, 2% and 5%, and the soaking time was 1 h, 5 h and 24 h, respectively. The soaking conditions were the same as the above conditions.
(3) NS solution and sodium silicate solution
According to the experimental results of (1) and (2), the optimal concentration of NS solution and sodium silicate solution was selected to prepare the composite solution. The soaking conditions were the same as the above conditions.
(1) Bacillus pasteurii
In this study, Bacillus pasteurii was used to induce CaCO3 precipitation. Bacillus pasteurii can decompose urea (CO(NH2)2) into ammonium (NH4+) and carbonate (CO32–) [23]. Carbonate (CO32–) can be precipitated to form CaCO3 in the calcium-rich environment to meet modification requirements.
First, prepare the liquid culture media, then prepare two plates and a test tube containing 5–10 mL of liquid culture media. Burn the top of the test tube with an alcohol lamp and immediately drop sterile water to break it. Pipette about 0.5 mL of the liquid culture media into the lyophilized tube, wait for the lyophilized powder to be fully dissolved, and then refill it into the liquid culture media test tube, gently shake it evenly, draw 2 mL of the bacterial suspension and apply it evenly on the plate, repeat the above steps to obtain two plates. The liquid tube and plate were cultured at 37°C with sufficient oxygen. After activation, put the liquid culture medium in a constant temperature shaking box for 48 h and then expand the culture according to the ratio of original solution:medium = 1:100. After that, put it in a water bath shaking box for 72 h to obtain sufficient bacterial solution. 20 g urea, 5.6 g CaCl2, 5 g peptone and 3 g beef extract were added to each liter of bacterial liquid. Then, the RCA was soaked in the bacteria solution for 24 h, and the aggregate was taken out for subsequent tests after soaking.
(2) Soybean powder
The soybean powder was prepared with 60 g/L of soybean powder solution, the clear liquid of soybean powder was taken as the test liquid after centrifugal filtration. The purpose of this is to prevent the soybean powder from adsorbing on the RCA surface and resulting in inaccurate measurement results of its mass growth rate. 20 g urea and 5.6 g CaCl2 were added to each liter of soybean powder solution. After stirring well, the RCA was soaked in the solution for 1, 4, 8, 16 and 24 h, respectively.
2.3 Mechanical Properties of Recycled Aggregate Concrete
The modified RCA with better physical properties was selected from the chemical modification method and microbial modification method, respectively, and 100% of it was substituted for the natural coarse aggregate to prepare RAC. The ratio of cement, fine aggregate, coarse aggregate and water was 1:2.54:3.92:0.55, respectively. The untreated RCA prepared another batch of concrete mixture as a control sample for comparison. All three kinds of RCA were in the state of natural air drying. According to the different coarse aggregates, the RAC obtained was numbered as ORAC (ordinary RCA), CRAC (chemically modified RCA) and MRAC (microbial modified RCA).
In this test, a specified amount of RCA was filled into a cylindrical measuring device in three layers, each of which was tamped 25 times with a tamping rod. A compression tester was used to apply a uniform rate of 40 kN to the aggregate sample in the cylinder for 10 min. The crushing value of the RCA sample was estimated by the passing percentage of the obtained broken aggregate through the No.12 sieve.
The water absorption of RCA was determined according to GB/T 14685-2011 [24]. The RCA was first soaked in water at room temperature for 24 h. The RCA was then wiped with a wet towel until saturated, and its weight was recorded as the saturated mass (
where
2.4.3 Apparent Density and Mass Growth Determination
The apparent density of RCA was measured according to GB/T 14685-2011 [24]. In order to evaluate the effect of microbial modification, mass changes of RCA were monitored according to GB/T 25177-2010 [25]. The untreated RCA was dried at 105 ± 5°C until its mass remains unchanged, and then its mass (
where
For each type of RAC, four cubes (100 mm × 100 mm × 100 mm) were made. The specimens were demoulded 24 h after casting and then were placed in a moist room with a temperature of 20 ± 2°C and relative humidity higher than 95% for the corresponding age. According to GB/T 50081-2016 [26] for compressive strength and splitting tensile strength testing.
Samples for scanning electron microscopy (SEM) tests were dried at 50°C for 48 h using an oven and then coated with gold before testing. A TM 250 FEG SEM from FEI, USA was used. SEM images were photographed at an accelerating voltage of 15 kV.
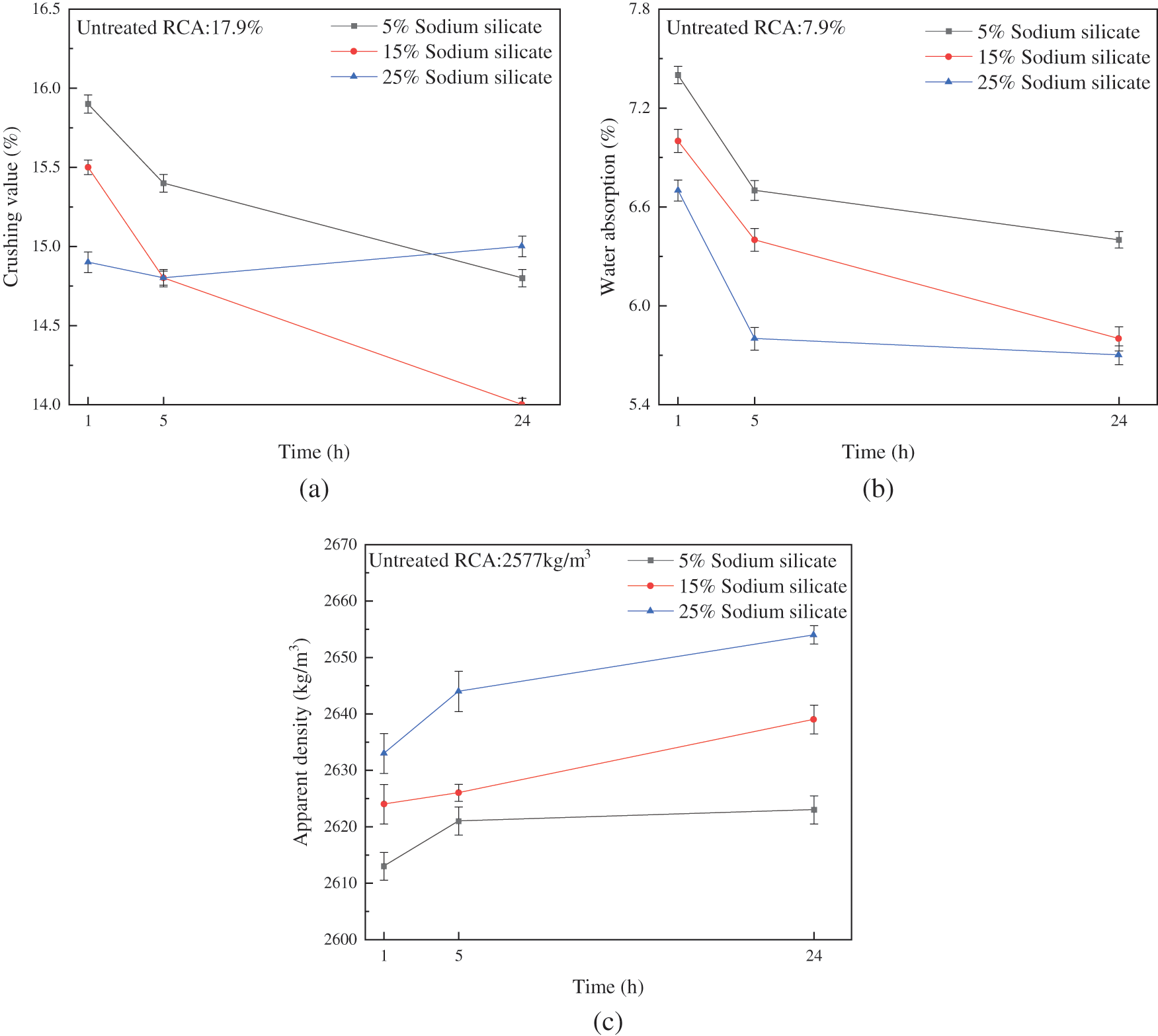
3.1.1 Modified RCA by Sodium Silicate
The physical properties of RCA modified by sodium silicate soaking are shown in Table 2 and Fig. 1. When the sodium silicate solution with a concentration of 5% and 15% was used, the crushing value and water absorption decreased with the extension of the soaking time. When the soaking time increased from 1 h to 5 h, the crushing value of RCA soaked in 5% sodium silicate solution decreased by 3.14%, while that of RCA soaked in 15% sodium silicate solution decreased by 4.52%. This may be due to the sodium silicate solution reacting with Ca(OH)2 of RCA for a short time to generate insufficient C-S-H gel [13] at low concentration, and the microcracks in RCA cannot be filled. With the extension of time, sufficient C-S-H gel can be generated to fill micro-cracks of the aggregate and wrap the aggregate, thus reducing the crushing value and water absorption rate. For the RCA modified by 25% sodium silicate solution, the crushing value showed a trend of first decreasing (14.9% to 14.8%) and then increasing (14.8% to 15.0%). This may be due to the fact that a layer of sodium silicate shell is attached to the surface of RCA after being soaked in sodium silicate solution with 25% concentration for a long time. This layer of sodium silicate shell is not easy to fall off, but its strength is very low, which may be the main factor affecting its crushing value [27]. It is precise because a layer of sodium silicate shell is attached to the surface of RCA, the water absorption of RCA is further reduced. For the apparent density, the greater the concentration of sodium silicate and the longer the soaking time, the more obvious the modification effect.


Figure 1: Change of physical properties of RCA modified by sodium silicate. (a) crushing value, (b) water absorption, (c) apparent density
The concentration of sodium silicate affects not only the rate of modification but also the final modification effect. The modification effect of sodium silicate at a concentration of 25% in a short time is the best, but long-term immersion efficiency is low and has side effects. In general, the modification effect of RCA is better when the sodium silicate concentration is 15%, the optimal modification time awaits further test.
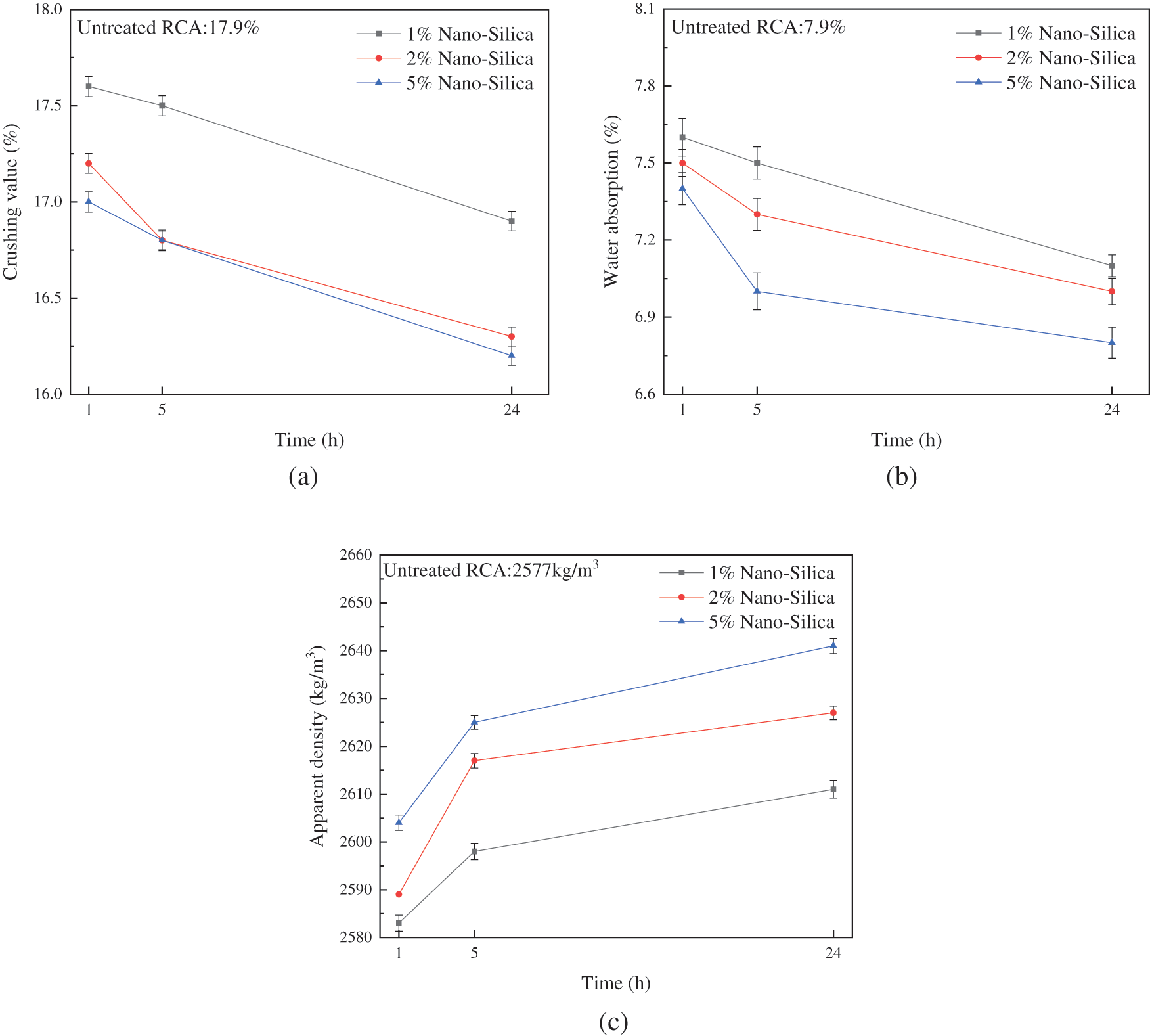
The crushing value, water absorption and apparent density of RCA after soaking modification in NS solution are shown in Table 2 and Fig. 2. The crushing value of RCA decreased relatively significantly when the concentration of NS increased from 1% to 2%. For example, the crushing value decreased from 17.5% to 16.8% at 5 h. This is mainly due to the existence of NS and C-S-H gel, NS can be filled in the pores and cracks of RCA or attached to the surface of RCA. C-S-H gel is the product of the pozzolanic reaction between NS and Ca(OH)2 [28,29], which also plays a filling role. However, the crushing value of RCA did not decrease significantly when the concentration increased from 2% to 5%. For water absorption and apparent density, 2% NS has a considerable modification effect, so it is not a wise choice to increase the concentration of NS. However, the soaking time has a greater impact on the performance of RCA, and prolonging the soaking time can improve the quality of RCA.

Figure 2: Change of physical properties of RCA modified by NS. (a) crushing value, (b) water absorption, (c) apparent density
Comprehensive comparison and analysis, using 2% NS solution modification effect is better, while the crushing value, water absorption and apparent density of RCA modified by NS are worse than that of sodium silicate.
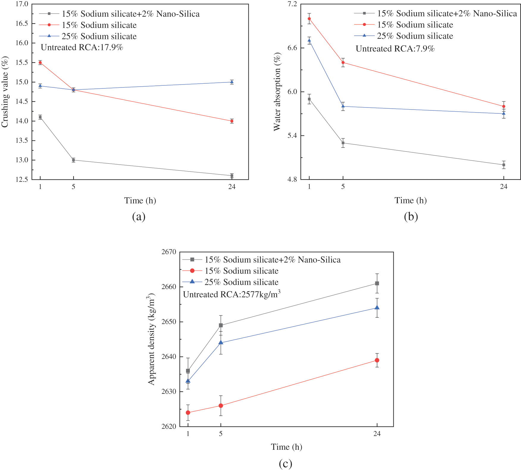
3.1.3 Modified RCA by Composite Solution
According to the test results in Sections 3.1.1 and 3.1.2, the composite solution was prepared with 2% NS and 15% sodium silicate solution. The physical properties of RCA modified by composite solution were compared with those modified by 15% and 25% sodium silicate solution. The results are shown in Table 3 and Fig. 3. It can be clearly seen from Fig. 3 that the crushing value and water absorption of the RCA modified with composite solution are lower than that of the RCA modified by sodium silicate only, while the apparent density is higher. The better modification effect of the composite solution may be because NS can refine the sodium silicate particles to a certain extent [30] so that the surface of the RCA is not easy to form sodium silicate shell, which enhances the modification effect of sodium silicate on RCA.


Figure 3: Change of physical properties of RCA modified by composite solution. (a) crushing value, (b) water absorption, (c) apparent density
After soaking RCA with the composite solution for 5 h, the crushing value, water absorption and apparent density of RCA basically reached the optimal value. Because the physical properties of RCA have not been improved significantly with the prolonging of soaking time. Compared with the unmodified RCA, its crushing value and water absorption were reduced by 27.4% and 32.9%, respectively, and the apparent density increased by 3.1%. Therefore, the optimal time for RCA modification by composite solution is 5 h. Thus, the strategy of 2% NS and 15% sodium silicate solution soaking for 5 h was determined for RCA modification and the treated RCA was adopted for the concrete preparation.
3.1.4 RCA Modified by Bacillus pasteurii
It can be found from Table 4 that Bacillus pasteurii induced CaCO3 deposition has a good effect on the modification of RCA. After 24 h of modification of RCA, the crushing value decreased from 17.9% to 13.1%, the water absorption decreased from 7.9% to 6%, and the apparent density increased from 2577 to 2670 kg/m3. The reason for this phenomenon is that Bacillus pasteurii is adsorbed in the cracks of the aggregate surface, which can hydrolysate (CO(NH2)2 to produce CO32–. After that CO32– combine with Ca2+ in the solution to form CaCO3 precipitates [23]. These precipitates play a role in repairing cracks and filling pores, thus reducing the water absorption of RCA. This is also the reason for the increase of RCA mass [5,22].

Although the modified RCA using Bacillus pasteurii has a good modification effect, the cost is high and the environment for cultivating bacteria is relatively harsh. Moreover, it takes a long time to modify RCA, so it is difficult to achieve mass modification of RCA.
3.1.5 RCA Modified by Soybean Powder
The physical properties of the modified RCA are shown in Table 5 and Fig. 4. The mass growth rate of RCA was 0.3% at the soaking time was 1 h, indicating that there was precipitation on the surface of RCA. At this time, the crushing value decreased to 16.8%, the water absorption decreased to 7.1% and the apparent density increased to 2130 kg/m3. The mass growth rate and apparent density of RCA further increased as the soaking time of soybean powder solution prolonged, the crushing value and water absorption continue to decrease. However, the physical properties of RCA hardly change with the prolong of time when the soaking time is increased to 8 h. The mass growth rate of 24 h is only 0.1% higher than that of 8 h, and the changes of crushing value, water absorption and apparent density were also not obvious. This may be because the CaCO3 has precipitated completely at 8 h.


Figure 4: Change of physical properties of RCA modified by soybean powder solution. (a) mass growth rate, (b) crushing value, (c) water absorption, (d) apparent density
Considering comprehensively, the best time for soybean powder to induce CaCO3 deposition is 8 h, when the RCA crushing value is 12.8%, the water absorption is 5.3% and the apparent density is 2653 kg/m3. Compared with the unmodified RCA, its crushing value and water absorption were reduced by 28.5% and 32.9%, respectively, and the apparent density increased by 3.2%. The modification effect of soybean powder is slightly better than the compound solution.
Only the apparent density of RCA modified by soybean powder was poor compared with the RCA modified by Bacillus pasteurii, while the crushing value and water absorption were better. Soybean powder modification has the following advantages: (1) The relative cost of soybean powder solution is low. (2) Fresh soybeans can be modified without the need for special equipment. (3) The modification process using soybean powder is more concise and does not need to be cultured for several days, which improves the modification efficiency and makes large-scale modification possible.
The SEM test results of the three types of RCA are shown in Fig. 5. It can be seen from Fig. 5 that there are a large number of attachments and cracks on the surface of the unmodified RCA, which is the reason for the poor physical properties of the RCA. After 5 h of soaking in the composite solution, the cracks on the surface of RCA were repaired well, which effectively improved the physical properties of RCA. After soaking in soybean powder solution for 8 h, CaCO3 particles on the surface of the RCA increased significantly, and the aggregate surface was almost completely covered. These particles effectively fill the pores and repair the surface cracks of the RCA. Macroscopically, due to the generation of CaCO3 particles, the mass of RCA has increased significantly. And thanks to the wrapping and bonding of CaCO3 particles, the crushing value, water absorption and apparent density of RCA have corresponding optimization effects.

Figure 5: SEM images of RCA. (a) Unmodified RCA, (b) RCA modified by composite solution, (c) RCA modified by soybean powder solution
The effect of modified RCA on the mechanical properties of RAC is shown in Fig. 6. The aggregate used by ORAC, CRAC and MRAC were untreated RCA, RCA soaked in the composite solution for 5 h, and RCA soaked in soybean powder solution for 8 h, respectively. It can be seen from Fig. 6 that the compressive strength and splitting tensile strength of RAC prepared by modified RCA are higher than those prepared by unmodified RCA. For example, at the age of 28 d, the compressive strength of CRAC and MRAC increased by 10.1% and 15.2% respectively compared with NRAC, and the splitting tensile strength was increased by 8.5% and 14.1%, respectively. These results indicate that both modification methods can help improve the mechanical properties of RAC. The more important finding is that the compressive strength and splitting tensile strength at 28 d of MRAC increased by 4.6% and 5.2% respectively compared with CRAC, which means that the modification effect of soybean powder solution on RCA is better than that of composite solution. Therefore, the modification method of soybean powder solution can improve the mechanical properties of RAC more effectively.

Figure 6: Compressive strength (a) and splitting tensile strength (b) of RAC
This article mainly studies the effects of various modification solutions on the physical properties of RCA. A better modification method and modification time are obtained through comparison, and modified RCA is optimized to prepare RAC for mechanical properties testing. The main conclusions obtained are as follows:
(1) In the chemical modification method, the modification effect of the composite solution (15% sodium silicate and 2% NS) is better than that of the single solution modification. The optimal soaking time of the composite solution is 5 h, the crushing value and water absorption of RCA were reduced to 13.0% and 5.3%, respectively, and the apparent density increased to 2649 kg/m3 of this time.
(2) In the microbial modification method, the best soaking time of RCA in soybean powder is 8 h. At this time, the crushing value decreased to 12.8%, the water absorption decreased to 5.3% and the apparent density increased to 2653 kg/m3. The effect of CaCO3 deposition induced by soybean powder is better than that of Bacillus pasteurii. The modification condition of soybean powder is simple and takes less time, which has considerable engineering value potential.
(3) The compressive strength and splitting tensile strength of RAC prepared by modified RCA were higher than those prepared by unmodified RCA. What’s more, the mechanical properties of the RAC prepared by the soybean powder solution modified RCA were better than those modified by the composite solution.
Considering the five modified solutions, the enhancement effect of soybean powder solution is the best and the recommended soaking time is 8 h.
Funding Statement: The authors gratefully acknowledge the financial support of National Key R&D Program of China (No. 2019YFC1906200), the National Natural Science Foundation of China (Nos. 51879093, 51009057 and 52108206), Jiangsu Science and Technology Department of China (No. BE2015706) and Science and Technology Project of Nanjing Water Authority (No. 201802).
Conflicts of Interest: The authors declare that they have no conflicts of interest to report regarding the present study.
1. Ding, T., Xiao, J. Z., Zou, S., Wang, Y. (2020). Hardened properties of layered 3D printed concrete with recycled sand. Cement and Concrete Composites, 113. DOI 10.1016/j.cemconcomp.2020.103724. [Google Scholar] [CrossRef]
2. Xiao, J. Z., Xiao, Y., Liu, Y., Ding, T. (2020). Carbon emission analyses of concretes made with recycled materials considering CO2 uptake through carbonation absorption. Structural Concrete, 22(S1), E58–E73. DOI 10.1002/suco.201900577. [Google Scholar] [CrossRef]
3. Otsuki, N., Miyazato, S. I., Yodsudjai, W. (2003). Influence of recycled aggregate on interfacial transition zone, strength, chloride penetration and carbonation of concrete. Journal of Materials in Civil Engineering, 15(5), 443–451. DOI 10.1061/(asce)0899-1561(2003). [Google Scholar] [CrossRef]
4. Kim, J. (2021). Properties of recycled aggregate concrete designed with equivalent mortar volume mix design. Construction and Building Materials, 301. DOI 10.1016/j.conbuildmat.2021.124091. [Google Scholar] [CrossRef]
5. Qiu, J. S., Tng, D. Q. S., Yang, E. H. (2014). Surface treatment of recycled concrete aggregates through microbial carbonate precipitation. Construction and Building Materials, 57, 144–150. DOI 10.1016/j.conbuildmat.2014.01.085. [Google Scholar] [CrossRef]
6. Poon, C. S., Shui, Z. H., Lam, L., Fok, H., Kou, S. C. (2004). Influence of moisture states of natural and recycled aggregates on the slump and compressive strength of concrete. Cement and Concrete Research, 34(1), 31–36. DOI 10.1016/S0008-8846(03)00186-8. [Google Scholar] [CrossRef]
7. Zhu, H. T., Wen, C. C., Wang, Z. Q., Li, L. (2020). Study on the permeability of recycled aggregate pervious concrete with fibers. Materials, 13(2), 321. DOI 10.3390/ma13020321. [Google Scholar] [CrossRef]
8. Thomas, C., Setien, J., Polanco, J. A., Alaejos, P., de Juan, M. S., (2013). Durability of recycled aggregate concrete. Construction and Building Materials, 40(1), 1054–1065. DOI 10.1016/j.conbuildmat.2012.11.106. [Google Scholar] [CrossRef]
9. Zhu, B. H., Liu, H. X., Liu, G. J., Hussain, A., Zhang, X. F. et al. (2021). Bond behavior between BFRP bars and hybrid fiber recycled aggregate concrete after high temperature. Journal of Renewable Materials, 9(3), 507–521. DOI 10.32604/jrm.2021.013580. [Google Scholar] [CrossRef]
10. Xiao, J. Z., Li, W. G., Fan, Y. H., Huang, X. (2012). An overview of study on recycled aggregate concrete in China (1996–2011). Construction and Building Materials, 31(5), 364–383. DOI 10.1016/j.conbuildmat.2011.12.074. [Google Scholar] [CrossRef]
11. Shi, C. J., Li, Y. K., Zhang, J. K., Li, W. G., Chong, L. L. et al. (2016). Performance enhancement of recycled concrete aggregate—A review. Journal of Cleaner Production, 112, 466–472. DOI 10.1016/j.jclepro.2015.08.057. [Google Scholar] [CrossRef]
12. Guo, L., Guan, Z., Guo, L. X., Shen, W. P., Xue, Z. L. et al. (2020). Effects of recycled aggregate content on pervious concrete performance. Journal of Renewable Materials, 8(12), 1711–1727. DOI 10.32604/jrm.2020.013415. [Google Scholar] [CrossRef]
13. Ngoc Kien, B., Satomi, T., Takahashi, H. (2018). Mechanical properties of concrete containing 100% treated coarse recycled concrete aggregate. Construction and Building Materials, 163, 496–507. DOI 10.1016/j.conbuildmat.2017.12.131. [Google Scholar] [CrossRef]
14. Chen, H. L., Wang, C. Y. (2004). Experimental research on strengthening of sodium silicate on recycled aggregate. New Building Materials, 12, 12–14. [Google Scholar]
15. Shaikh, F., Chavda, V., Minhaj, N., Arel, H. S. (2018). Effect of mixing methods of nano silica on properties of recycled aggregate concrete. Structural Concrete, 19(2), 387–399. DOI 10.1002/suco.201700091. [Google Scholar] [CrossRef]
16. Singh, L. P., Bisht, V., Aswathy, M. S., Chaurasia, L., Gupta, S. (2018). Studies on performance enhancement of recycled aggregate by incorporating bio and nano materials. Construction and Building Materials, 181, 217–226. DOI 10.1016/j.conbuildmat.2018.05.248. [Google Scholar] [CrossRef]
17. Hosseini, P., Booshehrian, A., Madari, A. (2011). Developing concrete recycling strategies by utilization of nano-SiO2 particles. Waste and Biomass Valorization, 2(3), 347–355. DOI 10.1007/s12649-011-9071-9. [Google Scholar] [CrossRef]
18. Zhang, H. R., Zhao, Y. X., Meng, T., Shah, S. P. (2015). Surface treatment on recycled coarse aggregates with nanomaterials. Journal of Materials in Civil Engineering, 28(2). DOI 10.1061/(asce)mt.1943-5533.0001368. [Google Scholar] [CrossRef]
19. Zeng, W. L., Zhao, Y. X., Poon, C. S., Feng, Z. Y., Lu, Z. M. et al. (2019). Using microbial carbonate precipitation to improve the properties of recycled aggregate. Construction and Building Materials, 228. DOI 10.1016/j.conbuildmat.2019.116743. [Google Scholar] [CrossRef]
20. Wang, J. J., Vandevyvere, B., Vanhessche, S., Schoon, J., Boon, N. et al. (2017). Microbial carbonate precipitation for the improvement of quality of recycled aggregates. Journal of Cleaner Production, 156. DOI 10.1016/j.jclepro.2017.04.051. [Google Scholar] [CrossRef]
21. Grabiec, A. M., Klama, J., Zawal, D., Krupa, D. (2012). Modification of recycled concrete aggregate by calcium carbonate biodeposition. Construction and Building Materials, 34, 145–150. DOI 10.1016/j.conbuildmat.2012.02.027. [Google Scholar] [CrossRef]
22. Wong, L. S. (2015). Microbial cementation of ureolytic bacteria from the genus Bacillus: A review of the bacterial application on cement-based materials for cleaner production. Journal of Cleaner Production, 93, 5–17. DOI 10.1016/j.jclepro.2015.01.019. [Google Scholar] [CrossRef]
23. Wang, J. Y., Vandevyvere, B., Vanhessche, S., Schoon, J., Boon, N. et al. (2017). Microbial carbonate precipitation for the improvement of quality of recycled aggregates. Journal of Cleaner Production, 156, 355–366. DOI 10.1016/j.jclepro.2017.04.051. [Google Scholar] [CrossRef]
24. China National Standards. GB/T 14685-2011. Pebble and crushed stone for construction. Beijing, China. [Google Scholar]
25. China National Standards. GB/T 25177-2010. Recycled coarse aggregate for concrete. Beijing, China. [Google Scholar]
26. China National Standards. GB/T 50081-2016. Standard for test method of mechanical properties on ordinary concrete. Beijing, China. [Google Scholar]
27. Zou, Y., Cao, D. F. (2020). Application of recycled waste aggregate in concrete. New Building Materials, 47(4), 31–33+38. [Google Scholar]
28. Wang, X. G., Cheng, F., Wang, Y. X., Zhang, X. G., Niu, H. C. (2020). Impact properties of recycled aggregate concrete with nanosilica modification. Advances in Civil Engineering, 2020, 8878368. DOI 10.1155/2020/8878368. [Google Scholar] [CrossRef]
29. Hou, P. K., Qian, J. S., Cheng, X., Shah, S. P. (2015). Effects of the pozzolanic reactivity of nanoSiO2 on cement-based materials. Cement and Concrete Composites, 55, 250–258. DOI 10.1016/j.cemconcomp.2014.09.014. [Google Scholar] [CrossRef]
30. Xu, K. D., Wang, J. N., Li, Z. X., Ma, X. W., Niu, J. S. et al. (2019). Study on the strengthening mechanism of nano-silicon carbide modified sodium silicate on recycled aggregate. China Concrete and Cement Products, 7, 91–95. [Google Scholar]
![]() | This work is licensed under a Creative Commons Attribution 4.0 International License, which permits unrestricted use, distribution, and reproduction in any medium, provided the original work is properly cited. |