Open Access
ARTICLE
Impact of Viscous Dissipation and Ohmic Heating on Natural Convection Heat Transfer in Thermo-Magneto Generated Plume
1 Department of Mathematics, Faculty of Science, University of Sargodha, Sargodha, 10400, Pakistan
2 College of Mechanical and Energy Engineering, Beijing University of Technology, Beijing, 100124, China
* Corresponding Authors: Ghulam Rasool. Email: ; Tao Sun. Email:
Frontiers in Heat and Mass Transfer 2024, 22(5), 1323-1341. https://doi.org/10.32604/fhmt.2024.055314
Received 23 June 2024; Accepted 09 August 2024; Issue published 30 October 2024
Abstract
The present investigation centers on the impact of viscous dissipation and ohmic heating on the plume generated by a line heat source under the impact of an aligned magnetic field. In this study, the flow model is adapted to incorporate ohmic heating and viscous dissipation by including the respective terms in the energy equation. A mathematical model is formulated as a system of coupled partial differential equations to analyze the flow problem. Subsequently, a numerical solution is derived with stream function formulation for the system of coupled partial differential equations, which transmutes it into ordinary differential equations. To achieve this, the numerical properties of the problem are established through the utilization of the Shooting method in tandem with the MATLAB tool bvp4c. The graphical representations of both missing and specified boundary conditions depict the effects of the magnetic parameter, viscous dissipation variable, magnetic force parameter, Prandtl number, and magnetic Prandtl number. These are accompanied by a discussion of their respective physical implications. The observed results claimed that the velocity, current density, and temperature distribution decrease for enhancing magnetic parameters. Meanwhile, the skin friction and magnetic flux drop while the heat transfer rate increases with an increment in magnetic parameters. These fluid flow and heat transfer characteristics were observed to decrease for increasing viscous dissipation. The current work is novel in incorporating ohmic heating viscous dissipation in energy equations coupled with Max-well and magnetic induction equations.Graphic Abstract
Keywords
Nomenclature
| Fluid’s thermal conductivity | |
| Dimensionless stream function | |
| Gravitational acceleration ( | |
| Grashof number as defined in Eq. (10) | |
| Vertical height above the line source (m) | |
| Horizontal distance from the plume’s mid-plane (m) | |
| Variable as defined by Eq. (12) | |
| Exponent defined by Eq. (20) | |
| Velocity component in | |
| Velocity component in y direction | |
| Magnetic force parameter; | |
| Prandtl number | |
| Dimensional horizontal and vertical component of magnetic field, | |
| Strength of magnetic field (Tesla = | |
| Temperature of fluid (K) | |
| Heat generated by the line heat source (J) | |
| Temperature at the mid-plane of plume surface (K) | |
| Temperature at the undisturbed fluid far away from the surface (K) | |
| Specific heat at constant pressure (Jkg−1K−1) | |
| Parameter of viscous dissipation; | |
| Magnetic parameter; | |
| Greek Symbols | |
| Density of the fluid | |
| Magnetic-permeability | |
| Magnetic-viscosity | |
| Electrical conductivity | |
| Coefficient of volumetric thermal expansion | |
| Kinematic viscosity of fluid | |
| Fluid’s dynamic viscosity (kg | |
| Similarity variable defined by Eq. (9) | |
| Thermal diffusivity | |
| Magnetic Prandtl number; | |
| Stream function as defined by Eq. (9) | |
| Transformed stream function for magnetic field as defined by Eq. (9) | |
| Dimensionless stream function for magnetic field | |
| Dimensionless temperature function defined by Eq. (11) | |
| Subscripts | |
| 0 | In the mid-plane |
| Parameter dependent on distance | |
| Far away from the surface, in the uninterrupted fluid | |
| Superscripts | |
| ′ | Derivative w.r.t |
In environmental monitoring and remediation, we encounter plumes from industrial stacks and wild fires. Thermal plumes generated by energy sources can help track oil spills in water bodies, aiding in the deployment of containment and cleanup measures. Plume behavior is incorporated into climate models to predict the impact of various energy sources on global climate patterns. Plume dynamics are crucial in designing effective ventilation systems for buildings, ensuring proper airflow, and maintaining indoor air quality. Plumes from volcanic eruptions are monitored to predict the dispersion of ash and gases, aiding in disaster response and evacuation planning. These are a few of the important real-life applications of the plumes in different fields. Incorporating Ohmic heating into a system allows for considering electrical resistance effects and the consequent transformation of electrical energy into heat. By incorporating Ohmic heating, we aim to gain a thorough understanding of energy transfer and heat generation within the system. Ohmic heating has applications in various fields such as food processing, chemical synthesis, biomedical applications, environmental remediation, and material fabrication. Viscous dissipation, alternatively termed viscous heating or the effects of viscous heating, describes the process whereby mechanical energy transforms into heat owing to internal friction within a flowing fluid. Viscous dissipation is pivotal across a broad spectrum of engineering and scientific domains, impacting fluid flow dynamics, temperature dispersion, and heat transfer rates in various applications.
Zeldovich [1] is credited as the earliest known researcher to describe the natural convective plume generated by a horizontal line energy source. Sparrow et al. [2] conducted a comprehensive study on heat transfer values, analyzing surfaces under both isothermal and non-isothermal conditions. In contrast, Glauret [3] investigated boundary layer separation under varying electrical conductivity conditions, ranging from small to large values, when subjecting a flat plate to a uniform magnetic field. Notably, one of the significant findings suggested the potential convergence towards zero of the missing conditions in the flow problem. Gebhart et al. [4] provided numerical results across a diverse range of Prandtl numbers and viscous dissipation. They also discussed several similar aspects of flow characteristics for convective plumes and flow over surfaces.
The researchers Gebhart et al. [5] scrutinized the limitations and refined numerous redundancies linked with the boundary conditions of a horizontal line energy source, resulting in the generation of a laminar buoyancy-driven convective plume. Welling et al. [6] delved into an experimental examination of the natural convective plume originating from a vertical cylinder serving as a heat source. Additionally, they analyzed temperature data and velocity fluctuations to gain deeper insights into the dynamics of the turbulent convective plume. Lithgow-Bertelloni et al. [7] focused their study on investigating the thermal plume across a range of Rayleigh numbers, spanning from the shallowest boundary layer to the convective plumes deep beneath the Earth’s mantle. Ashraf et al. [8] investigated the influence of radiation on a magnetized porous plate subjected to a fluctuating magnetic field adjacent to the surface, along with a steady mixed convective flow. Sharma et al. [9] analyzed the consequences of viscous dissipation, along with Ohmic heating and variable thermal conductivity, on buoyancy-induced convective flow under the influence of a magnetic field. Hunt et al. [10] provided solutions to the conservative equations of plumes under distinct scenarios, elucidating the advantages derived from these solutions. The outcome of radiation on irregular hydro-magnetic buoyancy induced convective flow utilizing a magnetized plate was carried out by Ashraf et al. [11]. Their study examines the variations in intensity of surface temperature along with magnetic field about a mean.
Hernandez [12] employed the SIMPLER approach to address the comprehensive numerical modeling of thermal plumes within a cavity of an elongated configuration. Jackson et al. [13] underscored the importance of the structure of a subglacial outlet in governing plume movements. Wang et al. [14] investigated the scaling relations of thickness and velocity for the mountain’s initial plume and its thermal boundary layer. Focusing on the Brownian motion and thermophoresis as governing factors, the dynamics of the boundary layer of nanofluids at various places, like the sphere and the plume surrounding it, were examined by Ashraf et al. [15]. Ahmad et al. [16] concentrated on observing the influence of viscous dissipation and catalyst-induced chemical reactions (which release energy) on buoyancy-driven convective energy transfer.
Khan et al. [17] disclosed the findings from their numerical analysis of the time-dependent, laminar flow of nanofluid around a sphere, both within the plume area and in its vicinity. Fan et al. [18] studied the transitions of plumes over a heated horizontal surface. Their findings indicated that plume flow occurred when the Froude number exceeded the critical Froude number, with the opposite trend observed for dome flow. Ullah et al. [19] conducted an analysis of oscillating forced and free convective flow around a horizontal cylinder. Their study comprehensively addressed aspects such as energy transmission, current density, and oscillating skin friction. The recent advancements in understanding the composition and morphology of plumes, as well as their role in convective processes within the global mantle, were investigated by Koppers et al. [20]. They also explored the potential influences of mantle plumes on climate and other related fields.
Ahmad et al. [21] and Ashraf et al. [22] conducted research on catalyst-assisted exothermic chemical reactions occurring on curved surfaces. Ashraf et al. incorporated these interactions with magnetic fields in their subsequent investigations. Abbas et al. [23] examined the Peristaltic mechanism of micropolar Casson fluid focusing on thermal transportation involving viscous dissipation. Ashraf et al. [24] investigated the influence of viscous dissipation and magnetohydrodynamics on the periodic energy transfer along a cone positioned within porous media. Moreover, Ashraf et al. [25,26] analyzed the influence of the nanofluids in the plume zones. Further, he examined the influence of thermal radiation, along with Brownian motion and thermophoresis, on the behavior of dense gray nanofluid around the surface of a sphere and within its plume area. Li et al. [27] investigated the effects of viscous dissipation, chemical reactions, and Ohmic heating on unsteady radiative flow. Kumar et al. [28] explored the influences of Ohmic heating and an aligned magnetic field on the dynamics of nanofluid’s flow among two coaxial cylinders, considering the rotational effect. Rehman et al. [29] performed a stability analysis prioritizing the shape factor of radiation on a hybrid nanofluid. Thabet et al. [30] examined the thermophoretic diffusion and thermal enhancement, with Brownian motion effects on micropolar nanofluid under the influence of magnetic field over an inclined surface. Where in the most recent studies, Taghavi et al. [31] studied the free convective influences in the insulated layers within cryogenic vessels for storage. Ajibade et al. [32] analyzed the free convective flow under the impacts of viscous dissipation and Darcy in a partially occupied vertical tube. The impacts of viscous dissipation along with Ohmic heating were examined by Ajithkumar et al. [33] on peristaltic convective flow for non-Newtonian fluids in porous media. Anwar et al. [34] investigated the behavior of a magnetized plume considering a non-Newtonian Casson fluid with variable thermal conductivity and solar radiation.
We have considered the natural convective plume by following Gebhart et al. [5]. To address the research gap, we got inspiration from the widespread industrial utilization of magnetic fields and applied the aligned magnetic field to a plume. Inspired by plume dynamics and the widespread industrial utilization of magnetic fields, our research is structured to mitigate the excessive heating within the plume’s system. Our aim is to observe the fluid and heat transfer characteristics of the plume generated by the horizontal line energy source. This plume system is under the impact of an aligned magnetic field. We have incorporated Ohmic heating along with viscous dissipation to observe the heat generation and transfer in the plume system. The preceding work in the literature was on plume generation due to line heat sources. This novel work combines the use of an aligned magnetic field, which helps mitigate excessive heating within the plume’s system. The novelty also includes the presence of Ohmic heating and viscous dissipation. The objective of this study is to comprehensively describe and analyze the results obtained from an in-depth investigation into the complex interactions between thermal phenomena and fluid flow within such intricate structures.
2 The Geometric Scheme and Governing Mathematical Model
The analysis concerns a steady, incompressible, viscous, two-dimensional flow driven by natural convection with laminar characteristics occurring above an infinitely extended horizontal line heat source. This configuration is analyzed with the inclusion of an aligned magnetic field, alongside considerations for viscous dissipation and Ohmic heating. Ohmic heating occurs when electric currents encounter resistance in a conductive medium, leading to the conversion of electrical energy into heat energy. In this context, it contributes to the overall thermal behavior of the system, particularly when combined with the presence of an aligned magnetic field. Meanwhile, viscous dissipation refers to the conversion of mechanical energy into thermal energy due to internal friction or the viscosity of the fluid. As the fluid moves, heat is generated as a result of the friction between its layers. The geometric arrangement and the coordinate system of the flow model are depicted in Fig. 1. The schematic diagram shows that the

Figure 1: Schematic geometry
The boundary layer equations are:
The pivotal boundary conditions dictating the boundary-layer fluid flow of the plume consist of:
Eqs. (1) to (5) combined with boundary conditions (6), involve the velocity components
To solve the aforementioned flow model, I have chosen the method of transformation using similarity variables. This method entails converting the system of Partial Differential Equations (PDEs) into Ordinary Differential Equations (ODEs). The velocity components
The function
The Eqs. (2), (4), and (5) along with the boundary conditions (6) are transformed into a set of three ordinary differential equations, accompanied by specified boundary conditions. This transformation is facilitated by introducing the similarity variable
where
The dimensionless temperature ratio, denoted as
Primarily, a power-law relationship of the form
The subsequent temperature distribution in the region is determined by:
By substituting the similarity variables defined in Eqs. (9) through (11) and (13) into Eqs. (1) through (6), Eqs. (2), (4), and (5) are transmuted as follows:
In the Eqs. (14)–(16),
The boundary conditions undergo transformation as below:
The energy transported by convection across a horizontal plane (at x) within a plume is denoted as (refer to [5]):
The Eq. (18) sums up the heat transfer effects over the entire
The derivative of the similarity variable from Eq. (9) with respect to
Upon substituting the above derived expression and similarity variables into Eq. (18), we obtain:
This Eq. (19) is the transformed expression of the heat source Eq. (18) by utilizing the similarity variable defined in Eq. (9), and using Eq. (13). This transformation is carried out to find the value for exponent
Using the reverse engineering mechanism, as mentioned earlier, the value of
Substituting this value of n mentioned in Eqs. (20), (14)–(16) become as:
Accompanied by the specified boundary conditions (17) as follows:
For computational assessment, I chose to employ the well-established Shooting technique alongside MATLAB’s bvp4c method. This allowed us to address the system of third-order differential equations detailed in Eqs. (21) to (23) while ensuring adherence to the boundary conditions specified in (17). The bvp4c function within MATLAB stands out as a reliable tool for tackling boundary value problems (BVPs) linked with ODEs. Its application combines numerical techniques, with particular emphasis placed on leveraging the finite difference method (FDM) as the underlying solver. In the domain of the FDM, the shooting technique stands out as a crucial method employed by bvp4c to handle BVPs effectively. Fundamentally, the shooting technique converts a given BVP into an initial value problem (IVP), enabling the use of conventional ODE solvers. This conversion requires establishing an initial estimate for the boundary conditions and initiating an iterative process to iteratively enhance the solution until it matches the specified boundary conditions. Essentially, the shooting technique initiates trajectories from the initial condition towards the boundary conditions, making adjustments in the initial guess needed to ensure convergence. The optimal step sizes and the values of
Following this, the ensuing first-order equations are formulated as:
The bvp4c algorithm in MATLAB is utilized to solve Eqs. (25) through (29), following a methodology consistent with established practices in numerical analysis. For details of coding on MATLAB kindly check the Appendix A.
5 Computational Results and Physical Significances
In this section, we analyze the evolving heat transfer configurations across various scenarios, considering factors such as the magnetic parameter
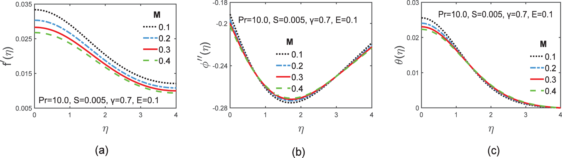
The influences of magnetic parameter

Figure 2: Graphs of velocity

Figure 3: Graphs of skin friction
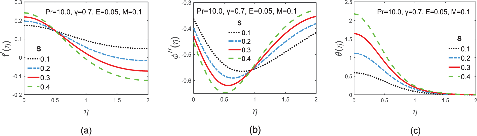
The consequences of the parameter of viscous dissipation

Figure 4: Graphs of velocity

Figure 5: Graphs of skin friction
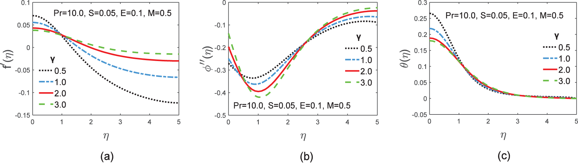
For four appropriate choices of magnetic force parameter

Figure 6: Graphs of velocity

Figure 7: Graphs of skin friction
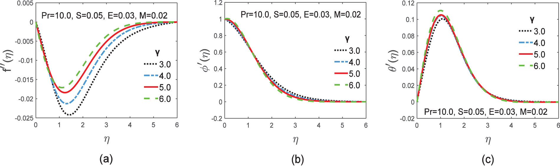
The velocity, current density, and temperature distribution profiles are emphasized as missing initial conditions in Fig. 8a–c for four distinct values of magnetic Prandtl number

Figure 8: Graphs of velocity

Figure 9: Graphs of skin friction
The physical conduct for missing initial conditions

Figure 10: Graphs of velocity

Figure 11: Graphs of skin friction
The validation analysis, performed for the velocity

In light of the above-detailed discussion on fluid flow and heat transfer properties regarding the parameters involved, the observed outcomes are encapsulated as follows:
For the missing initial conditions:
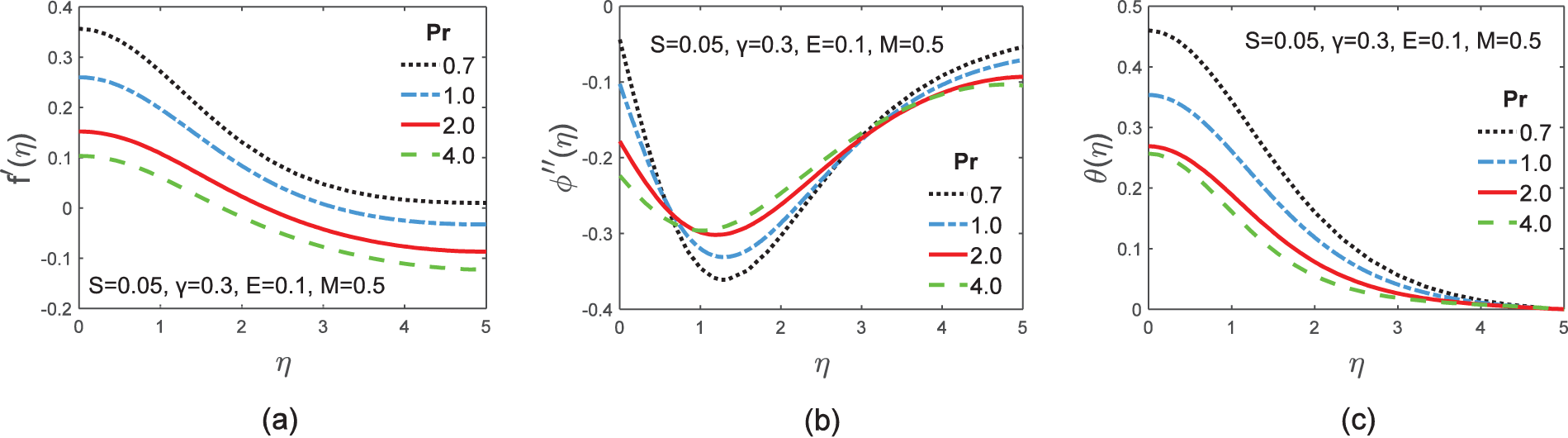
• The fluid velocity dropped with increasing magnetic parameter
• The current density decreased for enhancing the magnetic parameter, viscous dissipation variable, magnetic force parameter, and Prandtl number. However, it increased with increasing magnetic Prandtl number.
• The temperature distribution dropped for rising values of the magnetic parameter, viscous dissipation variable, magnetic Prandtl number, and Prandtl number. But the temperature of the plume’s system is the lowest for
For specified boundary conditions:
• The skin friction declined for higher values of the magnetic parameter, viscous dissipation variable, magnetic force parameter, and magnetic Prandtl number. While increasing for a higher Prandtl number.
• For enhancing values of enhancing the magnetic parameter, viscous dissipation variable, magnetic force parameter, magnetic Prandtl number, and Prandtl number the magnetic flux dropped.
• The heat transfer rate escalates for rising values of magnetic parameter, magnetic force parameter, and magnetic Prandtl number. However, it dropped for the viscous dissipation variable and the Prandtl number.
Acknowledgement: The authors are grateful to the reviewers for their constructive comments and suggestions.
Funding Statement: The research has been supported by the National Foreign Expert Project-Foreign Youth Talent Program Fund No. QN2023001001, Beijing Natural Science Foundation Project-Foreign Scholar Program Fund No. IS23046/ZW001A00202301, National Natural Science Foundation of China (NSFC) Fund No. 12202019, and Beijing Postdoctoral Research Activities Fund No. Q6001A00202301.
Author Contributions: The authors confirm their contribution to the paper as follows: study conception and design: Sahar Anwar, Ghulam Rasool, Muhammad Ashraf; data collection: Uzma Ahmad; analysis and interpretation of results: Sahar Anwar, Ghulam Rasool, Muhammad Ashraf, Uzma Ahmad, Tao Sun; draft manuscript preparation: Sahar Anwar, Ghulam Rasool, Muhammad Ashraf, Uzma Ahmad, Tao Sun. All authors reviewed the results and approved the final version of the manuscript.
Availability of Data and Materials: All data is available within the manuscript.
Ethics Approval: Not applicable.
Conflicts of Interest: The authors declare that they have no conflicts of interest to report regarding the present study.
References
1. Zeldovich YB. Limiting laws of freely rising convection currents. Zhurnal Eksperimental’noi i Teoreticheskoi Fiziki. 1937;7(12):1463–5. Available from: https://www.sid.ir/paper/544407/fa. [Accessed 2024]. [Google Scholar]
2. Sparrow EM, Gregg JL. Similar solutions for free convection from a nonisothermal vertical plate. Trans Am Soc Mech Eng. 1958;80(2):379–86. doi:10.1115/1.4012377. [Google Scholar] [CrossRef]
3. Glauert MB. The boundary layer on a magnetized plate. J Fluid Mech. 1962;12(4):625–38. doi:10.1017/S0022112062000439. [Google Scholar] [CrossRef]
4. Gebhart B, Mollendorf J. Viscous dissipation in external natural convection flows. J Fluid Mech. 1969;38(1):97–107. doi:10.1017/S0022112069000061. [Google Scholar] [CrossRef]
5. Gebhart B, Pera L, Schorr AW. Steady laminar natural convection plumes above a horizontal line heat source. Int J Heat Mass Transfer. 1970;13(1):161–71. doi:10.1016/0017-9310(70)90032-3. [Google Scholar] [CrossRef]
6. Welling I, Koskela H, Hautalampi T. Experimental study of the natural-convection plume from a heated vertical cylinder. Exp Heat Transfer an Int J. 1998;11(2):135–49. doi:10.1080/08916159808946558. [Google Scholar] [CrossRef]
7. Lithgow-Bertelloni C, Richards MA, Conrad CP, Griffiths RW. Plume generation in natural thermal convection at high Rayleigh and Prandtl numbers. J Fluid Mech. 2001;434:1–21. doi:10.1017/S0022112001003706. [Google Scholar] [CrossRef]
8. Ashraf M, Asghar S, Hossain MA. Thermal radiation effects on hydromagnetic mixed convection flow along a magnetized vertical porous plate. Math Probl Eng. 2010;2010:1243. doi:10.1155/2010/686594. [Google Scholar] [CrossRef]
9. Sharma PR, Singh G. Effects of variable thermal conductivity, viscous dissipation on steady MHD natural convection flow of low Prandtl fluid on an inclined porous plate with Ohmic heating. Meccanica. 2010;45:237–47. doi:10.1007/s11012-009-9240-0. [Google Scholar] [CrossRef]
10. Hunt GR, Van den Bremer TS. Classical plume theory: 1937–2010 and beyond. IMA J Appl Math. 2011;76(3):424–48. doi:10.1093/imamat/hxq056. [Google Scholar] [CrossRef]
11. Ashraf M, Asghar S, Hossain A. Fluctuating hydromagnetic natural convection flow past a magnetized vertical surface in the presence of thermal radiation. Therm Sci. 2012;16(4):1081–96. doi:10.2298/TSCI110805045A. [Google Scholar] [CrossRef]
12. Hernandez RH. Natural convection in thermal plumes emerging from a single heat source. Int J Therm Sci. 2015;98:81–9. doi:10.1016/j.ijthermalsci.2015.06.010. [Google Scholar] [CrossRef]
13. Jackson RH, Shroyer EL, Nash JD, Sutherland DA, Carroll D, Fried MJ, et al. Near-glacier surveying of a subglacial discharge plume: implications for plume parameterizations. Geophys Res Lett. 2017;44(13):6886–94. doi:10.1002/2017GL073602. [Google Scholar] [CrossRef]
14. Wang X, Xu F, Zhai H. An experimental study of a starting plume on a mountain. Int Commun Heat Mass Transf. 2018;97:1–8. doi:10.1016/j.icheatmasstransfer.2018.06.004. [Google Scholar] [CrossRef]
15. Ashraf M, Khan A, Gorla RS. Natural convection boundary layer flow of nanofluids around different stations of the sphere and into the plume above the sphere. Heat Transf—Asian Res. 2019;48(3):1127–48. doi:10.1002/htj.21424. [Google Scholar] [CrossRef]
16. Ahmad U, Ashraf M, Khan I, Nisar KS. Modeling and analysis of the impact of exothermic catalytic chemical reaction and viscous dissipation on natural convection flow driven along a curved surface. Therm Sci. 2020;24(Suppl. 1):1. doi:10.2298/TSCI20S1001A. [Google Scholar] [CrossRef]
17. Khan A, Ashraf M, Rashad AM, Nabwey HA. Impact of heat generation on magneto-nanofluid free convection flow about sphere in the plume region. Mathematics. 2010;8(11):2010. doi:10.3390/math8112010. [Google Scholar] [CrossRef]
18. Fan Y, Wang Q, Ge J, Li Y. Conditions for transition from a plume to a dome above a heated horizontal area. Int J Heat Mass Transf. 2020;156:119868. doi:10.1016/j.ijheatmasstransfer.2020.119868. [Google Scholar] [CrossRef]
19. Ullah Z, Ashraf M, Rashad AM. Magneto-thermo analysis of oscillatory flow around a non-conducting horizontal circular cylinder. J Therm Anal Calorim. 2020;142(4):1567–78. doi:10.1007/s10973-020-09571-5. [Google Scholar] [CrossRef]
20. Koppers AA, Becker TW, Jackson MG, Konrad K, Müller RD, Romanowicz B, et al. Mantle plumes and their role in Earth processes. Nat Rev Earth Environ. 2021;2(6):382–401. doi:10.1038/s43017-021-00168-6. [Google Scholar] [CrossRef]
21. Ahmad U, Ashraf M, Al-Zubaidi A, Ali A, Saleem S. Effects of temperature dependent viscosity and thermal conductivity on natural convection flow along a curved surface in the presence of exothermic catalytic chemical reaction. PLoS One. 2021;16(7):e0252485. doi:10.1371/journal.pone.0252485 [Google Scholar] [PubMed] [CrossRef]
22. Ashraf M, Ahmad U, Zia S, Gorla RS, Al-Johani AS, Khan I, et al. Magneto-exothermic catalytic chemical reaction along a curved surface. Math Probl Eng. 2022;2022(1):8439659. doi:10.1155/2022/8439659. [Google Scholar] [CrossRef]
23. Abbas Z, Rafiq MY. Numerical simulation of thermal transportation with viscous dissipation for a peristaltic mechanism of micropolar-Casson fluid. Arab J Sci Eng. 2022;47(7):8709–20. doi:10.1007/s13369-021-06354-4. [Google Scholar] [CrossRef]
24. Ashraf M, Ilyas A, Ullah Z, Ali A. Combined effects of viscous dissipation and magnetohydrodynamic on periodic heat transfer along a cone embedded in porous medium. Proc Inst Mech Eng, Part E: J Process Mech Eng. 2022;236(6):2325–35. doi:10.1177/09544089221089135. [Google Scholar] [CrossRef]
25. Ashraf M, Khan A, Ullah Z. Computational analysis of the transient mixed convective flow of nanofluid in the plume regions. Wave Random Complex. 2022;11:1–7. doi:10.1080/17455030.2022.2084573. [Google Scholar] [CrossRef]
26. Ashraf M, Khan A, Abbas A, Hussanan A, Ghachem K, Maatki C, et al. Finite difference method to evaluate the characteristics of optically dense gray nanofluid heat transfer around the surface of a sphere and in the plume region. Mathematics. 2023;11(4):908. doi:10.3390/math11040908. [Google Scholar] [CrossRef]
27. Li S, Khan MI, Alzahrani F, Eldin SM. Heat and mass transport analysis in radiative time dependent flow in the presence of Ohmic heating and chemical reaction, viscous dissipation: an entropy modeling. Case Stud Therm Eng. 2023;42:102722. doi:10.1016/j.csite.2023.102722. [Google Scholar] [CrossRef]
28. Kumar J, Sandeep N. Dynamics of Ohmic heating and aligned magnetic field on a nanofluid flow between two coaxial cylinders with rotation effect. Numer Heat Transf, Part A: Appl. 2023;231:1–20. doi:10.1080/10407782.2023.2237185. [Google Scholar] [CrossRef]
29. Rehman A, Khun MC, Khan D, Shah K, Abdeljawad T. Stability analysis of the shape factor effect of radiative on MHD couple stress hybrid nanofluid. South Afr J Chem Eng. 2023;46:394–403. doi:10.1016/j.sajce.2023.09.004. [Google Scholar] [CrossRef]
30. Thabet EN, Khan Z, Abd-Alla AM, Bayones FS. Thermal enhancement, thermophoretic diffusion, and Brownian motion impacts on MHD micropolar nanofluid over an inclined surface: numerical simulation. Numer Heat Transf, Part A: Appl. 2023:1–20. doi:10.1080/10407782.2023.2276319. [Google Scholar] [CrossRef]
31. Taghavi M, Sharma S, Balakotaiah V. Natural convection effects in insulation layers of spherical cryogenic storage tanks. Int J Heat Mass Transf. 2024;220:124918. doi:10.1016/j.ijheatmasstransfer.2023.124918. [Google Scholar] [CrossRef]
32. Ajibade AO, Gambo JJ, Jha BK. Effects of darcy and viscous dissipation on natural convection flow in a vertical tube partially filled with porous material under convective boundary condition. Int J Appl Comput Math. 2024;10(2):84. doi:10.1007/s40819-023-01623-2. [Google Scholar] [CrossRef]
33. Ajithkumar M, Lakshminarayana P, Sucharitha G, Vajravelu K. Investigation of convective peristaltic flow of non-Newtonian fluids through a non-uniform tapered porous conduit with Ohmic heating and viscous dissipation. Int J Model Simul. 2024;5:1–4. doi:10.1080/02286203.2024.2345259. [Google Scholar] [CrossRef]
34. Anwar S, Ahmad U, Sun T, Ashraf M, Rasool G. Impact of solar radiation in the presence of temperature-dependent thermal conductivity of non-Newtonian Casson flow on natural convection heat transfer in plume generated due to the combined effects of heat source and aligned magnetic field. Numer Heat Transf, Part A: Appl. 2024;7:1–8. doi:10.1080/10407782.2024.2367089. [Google Scholar] [CrossRef]
The major lines of the algorithm are stated from Eqs. (A1) to (A4). The differential equations are enlisted as:
Boundary conditions are enlisted as:
The initial guess and step size adjuster
Cite This Article
Copyright © 2024 The Author(s). Published by Tech Science Press.This work is licensed under a Creative Commons Attribution 4.0 International License , which permits unrestricted use, distribution, and reproduction in any medium, provided the original work is properly cited.


Submit a Paper
Propose a Special lssue
View Full Text
Download PDF
Downloads
Citation Tools