Open Access
REVIEW
Perspectives of Vertical Axis Wind Turbines in Cluster Configurations
1 College of Automation, Qingdao University, Qingdao, 266071, China
2 Center for Renewable Energy, Addis Ababa Institute of Technology, Addis Ababa University, Addis Ababa, 1000, Ethiopia
3 BTeQ R&D Labs, Addis Ababa, 1000, Ethiopia
4 Bahir Dar Energy Center, Bahir Dar Institute of Technology, Bahir Dar University, Bahir Dar, 6000, Ethiopia
* Corresponding Author: Chunmei Chen. Email:
Fluid Dynamics & Materials Processing 2024, 20(12), 2657-2691. https://doi.org/10.32604/fdmp.2024.058169
Received 06 September 2024; Accepted 19 November 2024; Issue published 23 December 2024
Abstract
Vertical Axis Wind Turbines (VAWTs) offer several advantages over horizontal axis wind turbines (HAWTs), including quieter operation, ease of maintenance, and simplified construction. Surprisingly, despite the prevailing belief that HAWTs outperform VAWTs as individual units, VAWTs demonstrate higher power density when arranged in clusters. This phenomenon arises from positive wake interactions downstream of VAWTs, potentially enhancing the overall wind farm performances. In contrast, wake interactions negatively impact HAWT farms, reducing their efficiency. This paper extensively reviews the potential of VAWT clusters to increase energy output and reduce wind energy costs. A precise terminology is introduced to clarify ambiguous terms researchers use to quantify cluster parameters. While examining commonly studied and proposed VAWT cluster configurations, several aspects are discussed such as aerodynamic interactions, wake characteristics, structural dynamics, and performance metrics. Additionally, the current state-of-the-art and research gaps are critically described. The review also covers computational modeling, optimization techniques, advanced control strategies, machine learning applications, economic considerations, and the influence of terrain and application locations.Keywords
During the past decade, a remarkable surge in the adoption of renewable energy sources has been witnessed. Reference [1] evaluated renewable energy development between 2012 and 2021. The global consumption of renewable energy rose from 480 to 1945 GW, and wind energy use grew by 562%, from 283 to 845 GW. Generally, wind energy conversion systems are classified based on the axis of rotation of the rotor, as either horizontal axis wind turbines (HAWTs) or vertical axis wind turbines (VAWTs). Research into VAWTs cluster aerodynamics is growing, encompassing rotor aerodynamics and inter-turbine wake interactions. Rotor aerodynamics studies are promisingly undertaken to improve the aerodynamic performance of VAWTs [2–4]. Several researchers used different strategies to enhance the overall performance of VAWTs. It has been found that the core of rotor aerodynamics is to have a high-efficiency turbine at low tip speed ratios and enhanced self-starting capability such as the studies of [5–8]. Some of the strategies are presented here, Reference [9] proposed a novel hybrid Darrieus and modified-Savonius turbine to achieve an efficient turbine through a rotor aerodynamics study. Reference [10] implemented blade pitch to control the turbine blade which resulted in performance improvements, Reference [11] studied integrates the aerodynamic characteristics with that of the vibration characteristics used to investigate performance VAWTs by comparing with HAWTs.
On the other hand, the wake modeling deals with the flow fields downstream, the detailed review of available wake models is highlighted by [12,13]. The wake effect refers to an aerodynamic phenomenon produced by each turbine behind its rotor. Reference [12] demonstrate that due to the effect of dynamic stall, the wake aerodynamics of VAWTs are more complex than HAWTs. Because of the Magnus effect, which is described by [14], and deep dynamic stalls at windward, the wake of VAWTs demonstrates strong asymmetry in the horizontal direction. Using wake aerodynamics modeling, several researchers showed that HAWTs have higher efficiency as compared with VAWTs. However, this argument is valid when both turbines operate in isolation. It has been reported by several authors that arranging HAWTs in clusters leads to a decrease in performance, due to the turbulent wakes of adjacent wind turbines. The main issue with wakes is that it requires a large distance to fully recover, for this reason, it is necessary to install wind turbines as far as possible from one another. Spacing the turbines apart offers another notable benefit to reducing the fatigue load due to upstream turbines’ turbulence. This results in the use of land which is most of the time not feasible. To avoid the effect of wakes, HAWTs in a wind farm need to be placed at least 20 rotor diameters (20D) apart in the downwind direction. Similarly, the study of [15] presented that for modern wind farms, HAWTs are typically spaced 3 to 5 rotor diameters apart in the cross-wind direction and 6 to 10 diameters apart in the stream wise direction. This arrangement aims to minimize aerodynamic interference between adjacent turbines. According to [16] the minimum distance required for VAWTs to recover the wake is about 6 times the diameter of the turbine. Furthermore, Reference [17] tests a hypothesis that arranging VAWTs in clustering can provide enhanced performance as compared with HAWTs. They verified that coupled configurations of counter-rotating VAWTs can provide improved performance. An appropriate arrangement of turbines in clusters plays a vital role in decreasing wake. Hence, it is possible to lower wake losses and raise the wind farm energy generation by considering this impact while placing the turbines.
The present paper explores the perspectives of using VAWTs in cluster configurations. This comprehensive review contains all aspects of vital information required for the clustering of VAWTs such as theoretical models, computational and numerical tools, optimization techniques, economic and market assessments, and other relevant aspects.
The objective of the literature review is to determine and map research and project findings related to VAWTs in cluster configuration. The review aimed to provide insights into future perspectives to increase their global wind energy share with HAWTs. To examine the perspectives of VAWTs in the cluster configuration and identify key research gaps, a systematic literature review approach was adopted from the study of [18]. Synonyms for the following keywords were identified based on themes and terminology from a preliminary literature review: VAWTs, cluster configuration, and wind farm. The strings were used to search for titles, abstracts, and keywords of publications in Web of Science and Scopus. A total of 287 publications were found in the search, but after removing duplicates, 110 relevant ones were reviewed through abstract reading. Out of those, only 97 were systematically reviewed. Finally, 94 publications were found to be relevant and included in the final literature review. The review process of these 94 papers was based on a predefined protocol consisting of four themes: common cluster configurations, computational modeling approaches and tools, optimization methods, and market and economics perspectives. Additionally, the performance comparison with HAWTs in cluster configurations was also reviewed.
1.1.1 Cluster Configuration vs. Wind Farm
According to a literature survey on the Scopus database, searching for VAWTs and cluster configuration, and VAWTs and wind farm as separate keyword combinations resulted in a different number of papers. The search returned 287 papers related to VAWTs and wind farms (see Fig. 1), and 56 papers related to VAWTs and clusters (see Fig. 2). It’s worth mentioning that, during our search, we noticed that the term “wind farm” was more commonly used in the Scopus database as compared to the term “cluster”. However, these terms have been used by several authors to imply and convey similar meanings. In general, Figs. 1 and 2 show that the attention to VAWTs has significantly increased. In this study, a comprehensive review was conducted, including a total of 94 papers.

Figure 1: Number of published papers based on Scopus database with VAWTs and wind farm as search keywords

Figure 2: Number of published papers based on Scopus database with VAWTs and cluster as search keywords
The present review covered the state of research related to VAWTs cluster configurations and identified prospective research gaps in this area. It discussed several cluster configurations studied in the literature (Section 2), reorganized Section 3 into modeling and optimization, and experimental tests and prototyping, presented findings from the experimental work (Section 4), provided insights into the market and economic aspects (Section 5), and some aspects of terrain and application (Section 6). The paper concluded by discussing key research gaps that require further investigation in this domain.
To draw clarity among researchers’ usage of different terms for VAWTs cluster, the following sections briefly defined cluster parameters. Fig. 3 describes the most commonly used terminology used in the study and optimizations of the VAWTs cluster configurations.

Figure 3: Cluster configuration terminology
To further elaborate on these terminologies, Table 1 is provided. The description provided in the table can be referred to better understand the specific meaning and context of these important terminologies.
A VAWT can be classified by several factors, including the alignment axis of rotation to the wind flow direction (cross-flow or vertical), and the blade orientation (straight, helical, curved) [31]. For this review, the main classification used is according to the type of force acting on the blades, i.e., drag force-based Savonius and lift force-based Darrieus. These types of turbines are commonly employed in the isolation or clustering of VAWTs due to their simplicity, fewer moving parts, and scalability when compared to other types of VAWTs. Recently, several VAWTs cluster configurations have been studied, to enhance the performance of the farm. Most of them are inspired by common geometry relations and bio-mimicry configurations of two or three VAWTs. The work of [32] demonstrates the implementation of bio-inspired configurations to VAWTs, they used Darrieus VAWT and their respective performance. Migrating birds and fishes can travel farther by positioning themselves at specific coordinates and gaining from the vortices shed by those ahead of them. Reference [25] reviewed different cluster configurations as the arrays of two and three VAWTs. They examined various parameters affecting the performance of clusters of VAWTs and presented a general guideline for selecting suitable values for each parameter in future research. However, the full implementation and realization of VAWTs in clusters still require substantial research. The clustering of VAWTs is a promising area, but several important concerns need to be addressed. In the spirit of this, the present reviews will provide substantial information and address different aspects of clustering VAWTs to further explore new possibilities. We have performed a thorough review of the existing clustering configuration suggested and studied by different authors. The findings of the review are summarized and briefly described in Table 2. The findings of the review are systematically summarized and briefly described in Table 2. This table provides a comprehensive exploration of various cluster configurations of VAWTs, detailing their rotational directions, configuration type, and schematics. Each configuration is presented with detial descriptions. Additionally, the schematics included in Table 2 visually represent the design and arrangement of each cluster, facilitating a better understanding of how these configurations function in practical applications. This structured overview not only highlights the diversity of VAWT designs but also underscores the potential advantages and limitations associated with each configuration, making it a valuable resource for both researchers and practitioners in the field.
3.1 Computational Modeling Approaches and Tools
One of the important topics in clustering VAWTs is the interaction between each turbine. Usually, this interaction is the most vital to optimizing and modeling the performance of clustered turbines. The wake interaction between turbines significantly determines the performance of the farm and the structural loads. Hence, the state-of-the-art aerodynamics modeling approaches for VAWT cluster configurations are examined in the following section. Furthermore, the review is extended to understand the structural dynamics of VAWTs under the influence of farm wake and turbulence.
To this end understanding the wake of each turbine is vital, which has led researchers to develop various methodologies for modeling it. There are various methodologies available to model the wake some of them are (1) analytical models such as the diploe model, top-Hat Wake Model, and actuator model, (2) computational fluid dynamics (CFD) which includes Reynolds-averaged Navier–Stokes (RANS) and large-eddy simulation (LES) methods, and (3) field measurements or wind tunnel experiments. The comparisons of different aerodynamics models are provided in Table 3.
CFD methods involve numerically solving fluid equations (such as Navier-Stokes equations) using computational methods, which provide a detailed representation of the flow field. The fidelity of CFD methods for the study of VAWTs are well presented by [51], they investigated seven eddy-viscosity turbulence models to select the best-performing turbulence model. According to their findings,
On the other hand, analytical methods simplify the wake behavior using mathematical formulations based on empirical correlations. They provide low computational cost insights into wake characteristics and are commonly used for initial assessments, conceptual designs, and quick estimations of wind farm performance. The relative performances of these models in terms of VAWTs cluster modeling have not been extensively explored. However, a brief review of recent computational research using these individual tools is discussed in the following sections.
One of the simplest analytical wake models used for VAWTs is proposed by [28] as the top-hat Wake Model. The model assumes the wake downwind of the turbine to have a rectangular form. The rectangular dimensions defined by
where the constants used to define the wake expand in the normal direction at the rate of
Other wake models are based on continuity equation, conservation of momentum, and energy equation. Since the flow pattern in wind turbine applications is classified as low Mach flow, roughly 0.1 according to [52], the incompressible flow model is a good fit.
As the wind passes the turbines, it generates wake phenomena which have a negative effect on HAWTs farms. However, wake generation has significant importance in VAWTs clusters. To optimize VAWTs cluster layout, the wake effect must be modeled first. The wake effect is an aerodynamic phenomenon that occurs when each turbine creates a disturbance in the flow of wind that passes through its rotor. This disturbance causes the wind speed to decrease in the area behind the turbine, which results in less energy being extracted by subsequent turbines. By taking the wake effect into account when placing the turbines in the wind farm, it is possible to minimize wake losses and significantly increase the energy production of the wind farm. Several attempts have been made to model the flow characteristics of VAWTs in cluster configurations. The LES study of [45] for three different coupled configurations of VAWT for two values of tip speed ratio (TSR). Their finding demonstrated that the vortex interaction between coupled VAWTs wake is weak. However, the blockage effects play a significant role in creating a higher momentum flux downstream. This effect is more pronounced at higher TSRs, indicating turbines in staggered wind farm layout along the wind direction, can increase the momentum flux of downstream turbines. The aerodynamics study of VAWTs using CFD provides a powerful tool to study and visualize the details of complex wakes. There are three main modeling approaches these are RANS, LES, and DES. Hence, these aerodynamics models are used for the flow characteristics of VAWTs in clusters to provide clear insight for enhanced farm performance. The CFD investigation [53] using RANS
One of the common computational tools used in VAWTs cluster modeling is LES, for example [45] has done LES of three different cluster configurations of VAWT at two TSRs. The mutual vortex interaction between wakes of coupled VAWTs is determined to be weak. However, the blockage effects play a significant role in achieving an increased momentum flux of downstream turbines. This effect is more pronounced at higher TSRs, indicating that arranging staggered clusters can increase the momentum flux of downstream turbines.
The study of [43] on vertical staggered wind farms (VSWFs). The study found that both windbreak and VAWTs contribute to enhancing wake recovery of upstream wind turbines, leading to increased power output as shown in Figs. 4 and 5. The power generation rate of VSWFs increases with turbine spacing, and VSWF with VAWTs generates more power output than a windbreak. The height of the VAWTs significantly affects the power output, and the optimal configuration should not have an overlapping area or gap between the projection area of HAWT’s and VAWT’srotors, i.e., blockage effect.

Figure 4: Streamwise velocity contour of aligned HAWTs with VSWF and windbreak for different tilt angles [43]. Adapted with permission from Reference [43]. Copyright ©2023, Elsevier

Figure 5: Streamwise velocity contour of aligned HAWTs and VSWFs with VAWT for different spacing [43]. Adapted with permission from Reference [43]. Copyright ©2023, Elsevier
The study of [55] employed 2D URANS simulations to identify an optimal arrangement based on average turbine efficiency and area utilization efficiency. They have tested various arrangements that have been demonstrated to provide better performance, such as bioinspired layouts, and new and hybrid designs with several turbines. The capability of two-dimensional CFD analysis to accurately simulate the impact of the wake on the performance of different VAWT farms is explored by [44]. They investigated two H-Darieus turbines using a commercial tool called STAR CCM+. The study demonstrated for the downstream of turbines that the wakes hold significant importance on the overall performance for a range of turbine spacing 2.5D to 40D. Using CFD and combining the ALM with LES to accurately investigate the effect of inter-turbine spacing and turbine rotation on the performance of VAWTs clusters have be studied by [49]. The ALM is one of the reduced-order models, and coupling it with LES makes it an effective tool for analyzing wind turbine wakes. As compared with other reduced-order models, such as the ADM or Vortex Model, ALM is a more accurate model. The basic consideration of ALM model is the lifting surfaces of the turbine as actuator lines. Each actuator line is divided into several stations, as shown in Fig. 6a,b. The validation results showed the proposed tool determined wake characteristics properly and are in good agreement with the references. The study of [49] also investigated the effect of turbine spacing and rotations of three VAWT clusters. The proposed open-source tool demonstrated a robust framework for modeling and analyzing VAWTs, to comprehensively understand their performance and characteristics.

Figure 6: Schematics of ALM representation of (a) HAWT and (b) VAWT
In addition to the turbine spacing and rotational direction, other turbine characteristics have a significant role in the performance of farms. Reference [56] studied the effect of fixed and variable pitch control on the power coefficient
A series of CFD simulations, based on the two-dimensional 2D-URANS method, were performed on four arrangements of VAWTs clusters to achieve optimal power coefficient [20]. The study reveals that the average power generation is greatly influenced by the constraint effect in the lateral direction and the blockage effect of upstream turbines, which can be triggered at a specific separation distance. In most cases, a cluster of 3 VAWTs demonstrates a higher power coefficient compared to a cluster of two VAWTs. The configuration of three VAWTs—consisting of one upstream turbine and two downstream turbines—resulted in an average power coefficient improvement of up to 11.1% compared to that of an isolated turbine [20].
The efficiency of a planetary cluster design was studied using CFD simulations with a transient k-omega (SST) turbulence model. The use of “planet” turbines enhanced the efficiency of the central “sun” turbine by extracting power from the free stream. It has also witnessed an increase of 1.01% in the efficiency of the “sun” turbine of the planetary arrangement over isolated turbine [41].
Computational studies are further demanded to analyze tilted VAWTs for emerging applications such as high-rise buildings and floating wind turbines. It requires numerical validation of an existing experimental and computational work of VAWT in upright and tilted conditions. The correct parametric study for selecting the appropriate turbulence model and optimal computational parameters for solving the URANS equations, under constant TSR and tilted turbine conditions was demostarted by [22]. Their results indicated that SST k-omega captured the wake vortices better and closer to the experimental value than RNG k-epsilon model. Furthermore, based on the SST k-omega simulation, the wake of the tilted axis turbine proceeds downstream in a tilted manner. As a result, the wake stream shifts downward, and VAWT in tilted conditions produces higher torque downwind compared to the upright turbines.
The combined effects of different cluster parameters should also be investigated to provide comprehensive insight into VAWTs cluster development. According to the study of [57], the numerical simulation of twenty-two test scenarios on Savonius turbines in aligned, parallel, and oblique configurations using
The study of [19] employed CFD analysis to study the effect of spacing two turbines. Compared to isolated turbines, there was an improvement of 8.06% at a 2D turbine spacing, while a low improvement was seen at 12D spacing. The performances of 3 VAWTs in a pyramid- and inverted pyramid-shaped clustered configurations with varying oblique angles between 15° to 165° at a fixed spacing 2D were also investigated. For such configurations, the left-side and right-side turbines showed performance increase proportional to the oblique angle, except at 165°. Meanwhile, the center turbine achieved the highest performance at an oblique angle of 45°. The maximum cluster performance was achieved in the inline configuration and perpendicular to the wind direction, resulting 9.78% improvement of the overall performance over the isolated turbine [19].
The use of the ALM could significantly reduce the computational effort and cost of simulating VAWTs by modeling turbines as momentum source terms in the NS equations. ALM to investigate the synergy patterns within a cluster of two and three VAWTs employed by [58]. In conjunction with a URANS method using the SST k-omega turbulence model, the ALM has shown good computational accuracy in predicting VAWT synergy. The variation of the power ratio is characterized as a function of the cluster layout parameters, and the results show good agreement with previous investigations [58].
The study of [59] on the unsteady aerodynamics involved in the operation of VAWTs cluster using the actuator line model. The study involved a wide range of tip speed ratios (TSRs) and considered different inlet conditions such as uniform flow, logarithmic wind shear, and atmospheric boundary layer (ABL). The study also explored performance improvements through the deflected wake produced by the pitched struts of the upstream turbine. Numerical results were compared to experimental measurements, and the study found that the applied ALM could be considered as a potential tool for VAWTs studies, with relatively low computational cost showing accuracy and numerical stability. The study by [37] analyzed the flow structures and energy production of VAWTs arrays. The wake of co and counter-rotating VAWTs shows similarities with pairs of cylinders, and multiple turbines in a column increase power output due to regions of excess momentum between them. It also suggests that downstream columns can be more efficient than the leading column, potentially improving wind farm productivity.
3.1.2 Structural Loads and Dynamics
As VAWTs in cluster configuration are exposed to high turbulence and wake conditions, the structural reliability of the blades is an important factor affecting their safe operation. The detailed investigation of critical structural parameters on the aerodynamic performance VAWTs are rovided by [60]. Hence, the structural safety of the turbines shall be examined for different load cases, mainly ultimate and fatigue strength due to steady and cyclic loads, and dynamics and flow-induced loads. As downstream turbines operate under extreme wake conditions, the effects of vortex shedding and flow-induced vibration should be quantified properly. When the frequency of the external load is close to the natural frequency of the structure, resonance will occur. Resonance will reduce the fatigue life of the structure and lead to blade failure. It will have a significant impact on the flutter limit of the blade, causing the VAWT blade to lose its aeroelastic stability.
Currently, research on the structural dynamics of wind turbine blades primarily focuses on HAWT. However, there are limited published documents regarding the structural dynamics of VAWT blades. Few efforts have been made to establish a VAWT dynamics model. For instance, Reference [61] considered the coupling effects between shaft bending, torsion, tension, rotor tension, and bending modes. Additionally, Reference [62] compared the connection method between the main shaft and blades of a 5 MW offshore floating VAWT to a cantilever beam model. Nevertheless, a comprehensive examination and quantification of the overall farm performance, as well as the interaction between structural dynamics and aerodynamic performance, are necessary to enhance farm output and extend the turbines’s operational life.
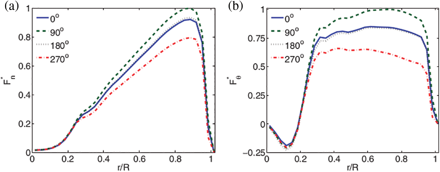
A comprehensive computational analysis to study the wake interaction and the resulting aerodynamic loads exerted on the turbine blades was presented by [63]. The study investigates alterations in the normal and tangential aerodynamic loading across the blades of each turbine at various azimuth positions, see Fig. 7. Moreover, the radial and azimuth fluctuations in the aerodynamic blade loads play a crucial role in determining the magnitude of the rotor hub moments. These moments become particularly significant when there is an imbalance between the loads on the left and right sections or the upper and lower sections of the rotor. Reference [63] also showed for selected cases to indicate the variability of the loading and thus its fatigue driving potential. The analysis showed that the loading on the blades of the upstream turbine is highest when they are oriented upwards

Figure 7: Normal (a) and Tangential (b) loads of the upstream rotor blade for different azimuth positions,
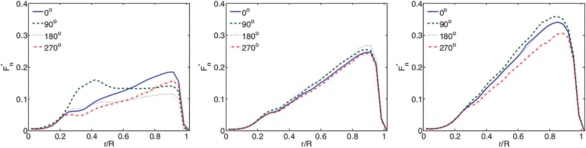
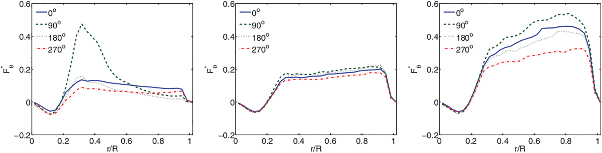
The load profiles of the downstream rotor exhibit notable variations depending on the specific flow conditions. Under full wake operation, the loads amplify as the turbulence level and turbine spacing increase. The blade loads at different horizontal positions display significant dissimilarities for laminar ambient flow and closely positioned turbines. Similarly, for laminar ambient flow and large turbine spacing, a horizontal asymmetry is observed in the blade loads of the downstream rotor, see Figs. 8 and 9. Lateral displacement of the rotors affects the downstream rotor by the influence of the upstream wake. This leads to a decrease in average blade loading and an increase in standard deviation at a position of

Figure 8: Downstream rotor blade span-wise normal load for different azimuth positions with the rotors stream-wise and lateral spacing

Figure 9: Downstream rotor blade span-wise tangential load for different azimuth positions with the rotors stream-wise and lateral spacing
Based on numerical modeling reviewed in the previous section, the performance of the VAWTs cluster is determined by several design variables, namely, rotational direction, turbine spacing, oblique angle, farm layout/pattern, wind direction, turbine types, number of turbines, tip speed ratio, blade pitch angle, flow-control methods employed, and wind shear profile. The optimal combinations of these variables are required to develop satisfactory VAWTs cluster configuration. There are two significant considerations for optimization. Firstly, the availability of limited land area for wind turbine farms necessitates optimizing the spacing between each turbine. Secondly, the arrangement of the turbines plays a critical role in their performance, leading to the study of wake effects and the optimization of the arrangements of the turbines. To conduct the optimization study the most frequently used tool is computational study, while few recorders of using analytical and experimental studies have been found during the literature survey. One of the few pioneer research performed on full-scale field tests on VAWTs in arrays is the work of [17]. The work aims to provide a baseline for future research on computational and scale model experiments. During the field test, they used counter-rotating arrangements of VAWTs, they hypothesized that aerodynamic interactions between adjacent turbines can benefit the performance when nearby. The field tests used six 10-m tall by 1.2-m diameter VAWTs and were conducted with the turbines positioned within the same 75 m by 75 m tract of land. To optimize the best positions of array arrangement the following three sets were used in the field tests as shown in Fig. 10.

Figure 10: (a) Illustration of two-VAWT configurations. (b) Illustration of three VAWT configurations. (c) Illustration of six-VAWT configuration
Fig. 10a confirms that the proximity of the turbines slightly improved their performance relative to the turbines in isolation, Fig. 10b explored the effect of downwind blockage caused by the two closely spaced upwind turbines and a significant decrease in the performance of the downwind turbine was observed, and Fig. 10c demonstrates that increasing the spacing of all turbines in an array to 4D would be significantly reduced the upstream blockage effects. Based on their results, it is possible to improve power density by searching for optimal configurations for counter-rotating VAWTs.
A novel optimization methodology for VAWTs design proposed by [64]. The study investigates the self-starting behavior of adjacent rotors using CFD and a Taguchi-based design of the experiment approach. The optimized results demonstrated that the self-starting capabilities of each rotor are affected by modifications in the flow fields. Specifically, when the second rotor was positioned downstream from the center of the first rotor, it could not self-start due to momentum loss caused by the upstream rotor. However, with an optimized layout, the study achieved significant improvement in wake recovery downstream of the first rotor. Additionally, a substantial reduction in the wake extension for the first rotor was observed, which is beneficial for potential wind farm layouts. A 3D CFD simulations to examine the simultaneous impact of some layout parameters on the operation of two H-type straight-blade VAWTs was used by [65]. To discover optimal configurations, three design parameters were used: the direction of the incoming wind, the vertical distance between the mid-heights of two turbines, and the horizontal distance between the axes of the two wind turbines. It has been discovered that the paired wind turbines’ performance is most affected by their vertical distance apart, while their power production is most influenced by their horizontal distance apart. Through their 3D simulation, it was discovered that the most optimal configuration for the turbines was achieved by placing them in a side-by-side arrangement, all at the same height. Besides vertical turbines working in air medium, they can also be deployed in tidal environments in clusters or as an isolated system. The work of [66] provides a useful insight clustering of Vertical turbines in tidal turbines. A 2D CFD study was employed to investigate the bidirectional Savonius tidal turbine to optimize the cluster arrangement and enhance the performance by using deflectors. To find the optimized deflector Kriging method (which is explained in [67]) combined with a genetic algorithm was used. The optimization study showed that the optimized cluster has a power coefficient improvement of 34.5% compared with the cluster without deflectors.
Determining the optimal spacing between clustered turbines is a critical parameter within the optimization process. To find optimized spacing, the study of [20] provides useful insight. The study follows a three-step approach to investigate the optimal spacing and power coefficient of clustered turbines. Firstly, a 2D CFD analysis is conducted using the URANS model for a single VAWT. Secondly, simulations are performed for various configurations including a single turbine, a parallel and staggered 2 VAWTs cluster, and a 3 VAWTs cluster facing the incident and leeward wind directions to determine the ideal spacing that maximizes the power coefficient. Lastly, the study examines the kinematic parameters of the ambient flow surrounding the turbine clusters to identify the mechanisms influencing the power coefficient. The findings confirm that, in general, clustered turbines exhibit superior average performance compared to isolated turbines when aligned with the prevailing wind direction. Specifically, the 3 VAWTs cluster demonstrates higher efficiency in terms of the average power coefficient compared to the 2 VAWTs cluster. For the 2 VAWTs cluster, the optimized spacing is determined to be around 1.5 to 1.6 times the turbine diameter, and the staggered arrangement proves to enhance performance due to the accelerated flow induced by the upstream turbines. Similarly, Reference [68] used the URANS equation to investigate the interaction between H-rotor Darrieus turbines in staggered wind farms and standalone clusters. It is found that the mutual interaction becomes negligible at a minimum distance of 13D.
Using analytical tools [69] develops a wake model of straight-bladed VAWTs and applies it to optimize the cluster configuration of VAWTs coupled with wind tunnel tests. The use of the wind tunnel tests is to determine the unknown parameters in the wake model. They have proposed a wake model and the schematic plot of the proposed wake model is shown in Fig. 11.

Figure 11: Schematic of the wake model of the VAWT [69]. Adapted with permission from Reference [69]. Copyright ©2017, Elsevier
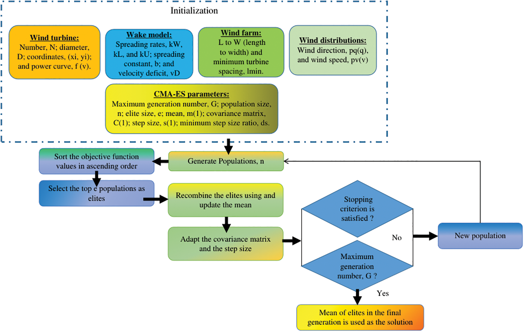
The model is based on the use of a continuity conservation equation, with a Cartesian coordinate system where the x-axis is pointing downstream, the y-axis is pointing windward, and the z-axis is aligned with the tower. A covariance matrix adaption-based evolutionary strategy (CMA-ES) was implemented to optimize the micro-siting of VAWTs using the wake model. The procedure of the CMA-ES algorithm for micro siting of VAWTs is shown in Fig. 12.

Figure 12: The procedure of the CMA-ES algorithm for micro siting
Other analytical models (top-hat model, the Gaussian model wake model, and Gaussian wake) coupled with experimental studies were used by [70] for layout optimizations. The utilization of wake models has enabled a comparison between layout solutions employing HAWTs and VAWTs within the same wind farm site. The findings indicate that in the wind farm layout optimization process, the energy density of VAWTs can surpass that of HAWTs, resulting in a more efficient utilization of sea areas. This is further enhanced by incorporating a layout optimization formulation that takes into account the direction of rotation specific to VAWTs. By fully exploiting the asymmetric wakes generated by VAWTs, their potential is maximized within the wind farm layout.
Another benefit that comes from the wake interaction of VAWTs is their ability to improve the overall performance of HAWTs farms. To demonstrate this, Reference [71] used LES and analytical wake models to optimize the layout of HAWTs. The proposed strategy is to use small-scale VAWTs in triangular clusters deployed within a finite-size wind farm consisting of HAWTs. The clustering is shown in Fig. 13.

Figure 13: VAWTs clusters between HAWTs [71]. Adapted with permission from Reference [71]. Copyright ©2020, Purpose-Led Pulishig
According to the LES CFD analysis, VAWT wakes are visible far downstream of the farm because the wake behind VAWTs must expand enough vertically before it can be seen at the hub height of the HAWT. Because of the relatively wide relative distance between the two columns of VAWTs clusters, it is evident from Fig. 14 that the wakes of these clusters had almost recovered before the following column. When compared to the baseline scenario when just the HAWTs are present, they have discovered that the co-located wind farm’s power output rises by up to 21%.

Figure 14: Stream-wise velocity of VAWTs clustered in HAWTs from LES [71]. Adapted with permission from Reference [71]. Copyright ©2020, Purpose-Led Pulishig
Furthermore, Reference [40] investigated the interactions of multiple VAWTs in small clusters, and subsequently used these clusters to design large VAWTs farms. For optimization, they have used the LES CFD model coupled with the actuator-line model (ALM-LES). They have performed the cluster design by geometric and shading considerations as shown in Fig. 15. The range of wind directions where two turbines can directly shadow one other is then enlarged by adding one more turbine. Nevertheless, depending on the direction of the wind, the third turbine could benefit from the increased wind speed created between the two upstream turbines, or the two downstream rotors may profit from the upstream turbine’s transverse flow deflection. By pairing these three turbines, they will be able to produce more power than from three distant, non-interacting turbines.

Figure 15: Two-, three-, and four turbine vertical-axis wind directions with upstream rotors [40]. Adapted with permission from Reference [40]. Copyright ©2018, Springer
To investigate the interactions between VAWTs to increase the wind-farm power density, Reference [40] have also performed the LES simulations of different cases. To visualize the differences in the flow patterns in these designs, the average stream-wise velocity component for a few selected configurations is shown in Fig. 16.

Figure 16: A 10D horizontal spacing wind farm with stream-wise velocity magnitude, mean flow from left to right: (a) regular aligned, (b) regular staggered, (c) cluster staggered with 0-degree wind direction, and (d) cluster staggered with 60-degree wind direction [40]. Adapted with permission from Reference [40]. Copyright ©2018, Springer
The simulations confirm that VAWTs, when arranged in well-planned clusters, positively impact one another: in such configurations, the power generation of a single turbine is increased by approximately 10%. Furthermore, compared to traditional setups, the cluster designs allow for closer turbine spacing, which results in almost three times as many turbines for a given land area. Using 2D CFD simulation [33] proposed an efficient way of clustering Savonius turbines. They have used the same geometric model arranged in three, nine, and twenty-seven to form a wind farm. They propose that the patterned Savonius VAWT farms, as shown in Fig. 17.

Figure 17: Farm development [26]. Adapted with permission from Reference [26]. Copyright ©2016, Elsevier
A similar study was performed for Efficient clusters and patterned farms for Darrieus wind turbines [33]. Their results of the simulation of the multi-turbine clusters are used to develop an efficient triangular shaped three turbine cluster having an average power coefficient up to 30% higher than an isolated turbine. A CFD study was performed for double Nautilus VAWT by [72] to optimize different layouts proposed, as shown in Fig. 18. They generally showed that the enhancement of the wind turbine arrays situation could significantly increase the average efficiency of the entire wind turbine cluster. The maximum average power coefficient reached 28.9%. Reference [73] also presents a variable-speed control method that provides an easy strategy to improve the power output of a cluster of turbines.

Figure 18: Different array layouts investigated [72]. Adapted with permission from Reference [72]. Copyright ©2023, MDPI
Several cluster configurations have been studied for enhanced performance of the VAWTs farm. The most common optimal configurations are (1) collocated wind plants, (2) planetary clusters, (3) vertically staggered cluster, and (4) bio-mimicking blusters. Collocated wind plants are one of the promising cluster configurations is a collocated wind farm, wind farms with VAWTs are often staggered or aligned with the horizontal axis wind turbines to introduce clusters of VAWTs [42]. Collocated wind plant configuration encompasses three arrangements: (1) a typical wind farm with just wind turbines oriented horizontally, (2) an aligned collocated wind plant, and (3) a staggered collocated wind plant. In the collocated wind plants, clusters of three VAWTs are introduced to the standard wind farm and placed either in alignment with the horizontal axis wind turbines or staggered between the rows. Planetary cluster: according to [41], a new planetary cluster of VAWTs that can increase the efficiency and power density of wind farms. To conduct a parametric study and optimize this setup, the PCD (pitch circle diameter) and oblique angular,
3.2.2 Application of Machine Learning and AI
In addition to advanced computational approaches, AI could benefit the optimization and enhancement of VAWTs cluster configurations. In this regard, in [75], a model has been developed that integrates three ensemble learning algorithms with clustering approaches to model wind power in a wind farm, using multiple meteorological factors. Ensemble models with clustering outperform models without clustering by approximately 15%, with the best-performing model using Farthest First clustering and improving by around 30%. Stacking fuses ensembles with varying clusters, further boosting power modeling performance by about 5%. The proposed modeling framework is efficient, robust, and promising. Reference [76] suggested a unique method for combining data and knowledge to build the first digital twin of an offshore and onshore wind farm flow system that is capable of predicting the spatiotemporal wind field in situ over the whole wind farm. Through the use of physics-informed neural networks, the digital twin is created by combining the Lidar observations, the Navier-Stokes equations, and the actuator disk technique of turbine simulation. The architecture allows the merging of flow physics to retrieve unmeasured wind field information and the smooth integration of Lidar observations and turbine operating data for real-time flow characterization. As a result, it overcomes the shortcomings of current supervised machine learning-based wind prediction techniques, which are unable to make such predictions due to a lack of training objectives. The digital twin accurately mirrors the physical wind farm, capturing detailed flow features. Case studies have exhibited this. It also has a low prediction error of 4.7% for flow fields, enabling new research for wind farm life-cycle monitoring, control, and load assessment. There is a great deal of effect that wake interactions have on a wind farm’s overall performance. A novel deep learning method, called Bilateral Convolutions Neural Network (BiCNN), is proposed and then employed to accurately model dynamic wind farm wakes based on flow field data generated by high-fidelity simulations [77]. As opposed to the current machine-learning-based dynamic wake models, which depend on dimensionless reduction, the suggested BiCNN is made to directly process various input kinds via background and foreground paths, thereby eliminating dimensional reduction errors. Significant findings demonstrate that the created machine learning-based wake model can accurately forecast wakes in real-time; that is, it can run at the same speed as low-fidelity static wake models and capture the spatial fluctuations of dynamic wakes in a manner akin to high-fidelity wake models. Regarding the free-stream wind speed, the derived model’s overall forecast error is 3.7%. Moreover, the outcomes for a test farm with 25 turbines demonstrate that the created model can forecast the dynamic wind farm wakes in a matter of seconds [77]. The work of [78] demostrated the application of machine learning for predictive maintenance of wind turbines and they propsed a revolutionized the way wind energy systems are maintained.
The common control principles employed in VAWTs to benefit the cluster performance are Variable swept area (VSA) as smart rotors [79], rotation direction [49], TSR [80], Variable pitch controller [56], and through the application of active flow controllers such (i) surface blowing or suction, (ii) VG’s, surface heating, plasma or (iii) changes in section shape (aileron, smart materials, and micro-tabs) [81–83]. Furthermore, the application of AI and machine learning as smart controllers will enhance the farm performance. Reference [79] employed a Fuzzy Logic Controller (FLC) to vary the turbine’s swept area, which is adjustable for height and width with actuators. The VSA rotors are controlled by an FLC to maintain a constant power rating at the PMSG. Furthermore, the change in the turbine swept area will then alter the downstream flow characteristics. In a general sense in existing studies on VAWT arrays, little attention is paid to the real-time control of individual rotors in VAWT arrays. In arrays, the pitch control curve for VAWT in different positions should change due to the interaction of adjacent turbines. References [58,84] explored the dynamic pitch control strategies in double-VAWT arrangements. Pitch control enables the downstream rotor deviating from the wake (

Figure 19: Wake development of the VAWTs in arrays under different control strategies (
In addition, other wind farm control principles used in HAWTs farms could be adapted for VAWTs clusters. For instance, the recently proposed collective wind farm operation and control based on a predictive model by [85], could be employed for VAWTs clusters to collectively control all the turbines within the farm for a synergized farm operation.
4 Experimental Tests and Prototyping
Alongside analytical and computational studies, experimental tests and validations are essential. To examine the performance of VAWTs in cluster configurations, few experimental studies have been done. For example, experimental study of wake evolution under vertical staggered arrangement of wind turbines of different sizes are presnted by [86] with the experimental setup show in Fig. 20 and the measuremnts made by [87] showed the wake from lift-driven VAWTs in a wind tunnel and compared the results for three counter-rotating and isolated versions. They discovered that the wake of a paired VAWT is greatly influenced by the direction of rotation and that the wake of an isolated VAWT is deflected. The length, breadth, and replenishment of the wake of a counter-rotating VAWT that has adjacent blades moving downwind are comparable to those of an isolated VAWT. The wake of a counter-rotating VAWT with nearby upwind moving blades, however, is very different from the wake of an isolated VAWT in terms of replenishment and breadth. Paired VAWTs provide distinct benefits for wind farm applications because of their attractive wake characteristics, particularly for offshore floating wind farms. In another study, Reference [88] conducted an experimental investigation to explore the interactions between VAWT’srotor and wake. By considering various wake deflections, they evaluated the interactions, taking into account the pitch angles of the upwind VAWT’s blades. Using stereoscopic particle image velocimetry, they examined wake interactions between two VAWTs in nine different wake deflection and rotor position combinations. Additionally, force balances were employed to assess the time-average loads on the VAWTs. The study findings confirmed the effectiveness of wake deflection and quick wake recovery, ultimately enhancing the available power of the second rotor.

Figure 20: (A) schematic of the experimental setup; (B) a snapshot of the setup [88]. Adapted with permission from Reference [88]. Copyright ©2023, Wiley
The work of [89] showed a thorough investigation using wind tunnel tests to determine how the arrangement of the array affects VAWT power performance. When the transverse spacing is 2.4 rotor diameters, the maximum power coefficient of the turbine pair is 8.2% greater than that of an isolated turbine. The ideal mode of the transversal arrangement is counter-forward rotation. In the two-turbine and three-turbine longitudinal layouts, the maximum power coefficient of a downstream turbine is found to be enhanced by 45% and 61.1%, respectively, in comparison to an isolated turbine. The proposed design includes trusses and triangles depending on the direction the wind is blowing. The experiment’s outcomes verified that by fine-tuning the turbines’ array arrangement, the average power coefficient may be raised even higher.
In addition to the aerodynamic performance of VAWTs in a clustered configuration, it is important to evaluate their financial feasibility under various scenarios. Although the technology for horizontal wind turbines (HAWTs) is advancing rapidly and driving down costs, it may be possible to further decrease the cost of offshore floating wind by opting for VAWT technology. VL Offshore has developed a cost-effective 5 MW floating foundation, known as the Y-Wind semi, for HAWTs [90]. To compare the Levelized Cost of Energy (LCoE) of the Y-Wind semi with a 5 MW HAWT against the same foundation with a 5 MW VAWT, a 200 MW wind farm located approximately 10 km offshore the Northeast U.S. at a water depth of 100 m was considered for bench-marking. The LCoE results indicated that a foundation for a 5 MW VAWT will be more commercially viable than a comparable foundation for a 5 MW HAWT. These LCoE values compare favorably to most electricity prices in the Northeast states [90].
The technological advancements have reduced a variety of capital, operational, and financial cost categories, resulting in a regional diversity in LCOE was examined by [91]. Due to the variable geospatial features of the farm sites under consideration and the nonlinear dependence on these input parameters, a specified change in the cost of a single turbine subsystem produces a range of LCOE outcomes; for instance, a 10.8% improvement in net capacity factor can reduce LCOE by between 6% and 20% at different sites [91]. Hence, technical innovations can have a significant influence and should be taken into account both spatially and temporally when funding or prioritizing technology innovation research to enhance offshore wind technologies. Through the analysis conducted by [92], the impact of varying spatial characteristics in the U.S. offshore wind resource area on the LCOE and economic feasibility of offshore wind was quantified. The report takes into consideration current technology, market, and regulatory conditions and presents a cost-effective option between fixed-bottom and floating offshore wind technologies for different site conditions while also evaluating the impact of technology advancement and market maturity. The results of the study suggest that offshore wind can potentially achieve significant cost reductions and forecasted economic viability in select regions of the United States within the next 15 years [92].
In general, the factors commonly considered in calculating LCoE include Capital Cost, Operating Lifetime, Capacity Factor, Fixed O&M cost, Variable O&M cost, and Electricity Price [92]. To reduce LCoEs for Wind Farms, advancements in turbine and blade technologies should continue to increase power output, improve efficiency, and decrease costs. Additionally, optimizing the spacing of individual wind farm units could also help reduce LCoE values. Further research may uncover ways to minimize down turbine wake effects, increase capacity factor, decrease in-field cable lengths, and improve power output by spacing VAWTs closer together [38,90].
6 Terrain and Application Locations
All rotating machines inherently generate a significant amount of sound, which affects the vicinity. The application of most types of machinery depends on sound pollution. Several studies indicated that VAWT is more silent than HAWT in comparison. Reference [93] provided LES and aeroacoustic spectra for three configurations of increasing flow complexity: a nearby farm of four vertical axis turbines (that have the same characteristics as the isolated turbine), an isolated rotating VAWTs made up of three rotating airfoils and an isolated NACA0012 airfoil. Only the blade passage frequency and the boundary layer tones can be distinguished when comparing the spectrum with the isolated turbine. The aeroacoustic footprint of nearby VAWTs cannot be adequately described by a linear combination of sources from isolated turbines, as indicated by variations in acoustic amplitudes, tonal frequencies, and sound directives. Rather, farms should be viewed and investigated as distinct entities. This will benefit VAWTs for application in urban and rooftop applications and other sound-constrained sites.
One important new source of clean, renewable energy is onshore wind power. However, onshore wind does have certain limitations. It is hard to locate wind-generating projects in heavily populated areas like the Northeast of the United States. Because of this, any onshore wind farms will need to be situated farther out, which will present more logistical and transmission difficulties, along with increased costs and power loss. One of the promising solutions is to install floating wind power offshore. Offshore wind offers proximity to large population centers, a vast and more consistent wind resource, and a scale-up opportunity. On the other hand, offshore wind suffers from high LCOE and, in particular, high balance of system (BoS) costs owing to accessibility challenges and limited project experience. Preliminary studies on offshore VAWTs clusters showed their significant economic feasibility [90,94]. As discussed in the section (market and economics), the comparison between offshore HAWTs and offshore VAWTs clusters indicated that VAWT will be more commercially viable than a comparable foundation for a 5 MW HAWT [90]. Fig. 21 sumrrized the work of [94], they explored cost trade-offs within the design space for floating VAWTs between the rotor and platform configurations and corresponding performances. The benefit of a floating VAWT is envisioned through system-level improvements and balance of system (BoS) cost reductions, which are addressed in this project through design studies that feed into an LCOE analysis.

Figure 21: Estimated life-cycle cost breakdown for an offshore VAWTs [94]. Adapted with permission from Reference [94]. Copyright ©2016, Purpose-Led Pulishig
As per [94] the Darrieus rotor is a VAWT rotor configuration proven with field experience and offering structural advantages and aerodynamic efficiency similar to a HAWT. However, there is still room for enhancement of the Darrieus rotor when designing VAWTs at large scale and for floating offshore systems.
In addition to the low noise generation benefits of VAWTs, their characteristics under wake conditions make them a promising source of energy in urban areas. Urbanization leads to more high-rise buildings and raises questions about their impact on wind flow and energy potential. Matching wind turbine performance with local conditions is essential for efficient power output in buildings and urban areas.
According to the study of [95], the wind characteristics and the interference effects around high-rise buildings based on the level of building exposure to the wind and the position of surrounding buildings. They also determined the wind energy resource above the roof in terms of the Wind Power Density (WPD), turbulence intensities, and skew angle. The analysis forecasted high turbulence and skewed flow in urban areas were found to affect their efficiency and operability, which indicates the suitability of VAWTs in such conditions.
The study of [96,97] offered viewpoints on the study of wind energy from the construction and urban aerodynamics standpoint. They reviewed the recent designs of urban/building-based wind energy systems, such as building integrated VAWTs, power windows, wind-induced vibration-based wind energy harvesters, double skin, and other creative building facade systems, and wind source exploration. They also examined factors affecting urban wind flow and the effects they have on urban wind energy harnessing.
In the previous sections, several configuration of the VAWTs cluster were addressed. Their comparative advantage against HAWTs shall be identified to provide clear insights. Several studies compared the performance and characteristics of HAWTs and VAWTs in cluster configurations. The common comparison criteria considered are, LCOE, aerodynamic performance, power density, aerodynamic loads, complexity, and noise, to mention a few. Table 4 discusses the few types of comparative research between equivalently rated VAWTs and HAWTs. Table 4 discusses the few comparative types of research between equivalently rated VAWTs and HAWTs. This table provides findings from multiple case studies, highlighting the distinct performance characteristics of each turbine type. The analysis reveals that VAWT clusters exhibit significant advantages over their HAWT counterparts across a wide range of performance indicators. Based on the case studies reviewed, VAWTs clusters showed a promising advantage over HAWTs through wide areas of performance indicators.
7 Conclusion and Recommendations
The present paper comprehensively examined the perspectives of VAWTs in cluster configurations. The review identified several promising VAWTs cluster configurations and explored their relative performances with different design variations. The performance of VAWTs cluster is significantly affected by several design variables, namely, rotational direction, turbine spacing, farm layout/pattern, wind direction, turbine types, number of turbines, tip speed ratio, pitch control, and wind shear profile. Hence, developing an efficient cluster requires proper modeling and optimization tools, along with high-end experimental tests and prototyping. This paper demonstrates that the wake interaction downstream of VAWTs in a cluster has a positive impact, potentially enhancing the overall performance of the wind farm. However, conversely, the paper also illustrates that the wake interaction has a negative effect on HAWTs farms, leading to a reduction in their overall performance. The computational requirement of VAWTs cluster is very high given the wake interaction between turbines is important in quantifying the farm output. In this regard, CFD-based models, such as LES, RANS, URANS, and DES, and analytical methods, such as the Top-Hat Wake Model, Gaussian Wake Model, Asymmetric Gaussian Wake Model, Actuator Line Model (ALM), Actuator Disk Model (ADM) and Vortex Model are explored. We have found that results from CFD models show more accurate results than the analytical methods. However, the CFD approach necessitates cutting-edge computational resources to model the wake effect, resulting in significant costs associated with running all the simulations. The authors contend that to address the limitations of CFD, the implementation of hybrid models like ALM-LES has proven to be a promising approach for modeling the wake while maintaining the accuracy of the results. In addition to the aforementioned computational efforts, there are few findings on AI and advanced control strategies to enhance the optimization of VAWTs clusters. Finally, the review explored a few case studies done on comparison between the HAWTs and VAWTs clusters, to provide future perspectives and insights based on different comparison criteria such as LCOE, aerodynamic performance, Power density, aerodynamic loads, complexity, Noise, and gain/loss factor. Despite the promising results presented by several researchers, the following research gaps and areas are identified for future exploration to enhance the deployment of VAWTs clusters.
1. Advanced computational models and optimization tools:
• The CFD study has scope for expansion on bigger infrastructure by adding more turbines;
• There is a scarcity of 3D simulations, which should be addressed to enhance the understanding of VAWT clusters;
• To evaluate the impact of atmospheric thermal stability on the performance of co-located wind farms;
• To extend the validation of both computational and analytical wake models to different atmospheric regimes and wind shear characteristics;
• To comprehend different wind-farm layouts such as co-locating, vertical staggered, and other complex cluster configurations;
• To enhance the power generation of co-located wind farms by optimizing the design and placement of clustered VAWTs inside HAWT arrays;
• Coupled and multi-physics modeling, such as FSI, is required to quantify the structural loads due to wake interactions and layout design;
• Application of AI and machine learning to optimize cluster layout; and
• Application of advanced and innovative control strategies such as combined wind farm operation using a predictive model.
2. Refined economic models: To refine the designs for the major components and their cost estimates, to quantify LCOE with reasonable uncertainty for a floating VAWT system. The refinements to the design and cost analysis will include:
• For the rotor inclusion of additional costs such as manufacturing;
• For the platform and mooring, consider additional floater types and re-visit practical design requirements such as free-board height;
• For the drive train, sizing of both direct drive and geared options will be considered along with costing;
• For operations and maintenance costs, including unique VAWT characteristics such as improved drive-train accessibility at the water line;
• For BoS costs for a floating VAWT system, including important costs such as installation, assembly, and electrical infrastructure; and
• To evaluate how a realistic wind rose affects the LCoE computation in co-located wind farms and other configurations
3. Promoting the right technology:
• Developing comprehensive environmental pollution metrics such as noise metrics and psychoacoustic annoyance of the VAWTs vs. HAWTs could clarify the merits of VAWTs;
• Exploring environmental activism and vertical-axis wind turbine preferences in urban areas and offshore locations shall be promoted given their inherent merits and suitability;
• Experimental and prototyping shall foster the application of VAWTs cluster in the wind energy industry;
• In addition to advanced computational approaches, AI could benefit the optimization and enhancement of VAWTs cluster configurations;
• Exploring more optimal VAWTs cluster layouts and co-locating in existing shall enhance VAWTs acceptance in the wind industry; and
• The application of advanced control strategies shall also improve the performance of VAWTs cluster configurations.
Acknowledgement: None.
Funding Statement: The authors received no specific funding for this study.
Author Contributions: The authors confirm contribution to the paper as follows: Study Conception and Design: Ryan Randall, Chunmie Chen, Mesfin Belayneh Ageze, Muluken Temesgen Tigabu; Literature Collection: Mesfin Belayneh Ageze; Draft Manuscript Preparation: Ryan Randall, Mesfin Belayneh Ageze, Muluken Temesgen Tigabu; Final Review and Approval, Manuscript Review and Supervision: Chunmie Chen. All authors reviewed the results and approved the final version of the manuscript.
Availability of Data and Materials: The data presented in this study are available on request from the corresponding author.
Ethics Approval: Not applicable.
Conflicts of Interest: The authors declare no conflicts of interest to report regarding the present study.
References
1. Yolcan OO. World energy outlook and state of renewable energy: 10-year evaluation. Innov Green Dev. 2023;2(4):100070. doi:10.1016/j.igd.2023.100070. [Google Scholar] [CrossRef]
2. Tanürün HE. Improvement of vertical axis wind turbine performance by using the optimized adaptive flap by the Taguchi method. Energy Sour Part Recov Util Environ Eff. 2024;46(1):71–90. doi:10.1080/15567036.2023.2279264. [Google Scholar] [CrossRef]
3. Mohammed AA, Ouakad HM, Sahin AZ, Bahaidarah HMS. Vertical axis wind turbine aerodynamics: summary and review of momentum models. J Energy Resour Technol. 2019 Feb;141(5):050801. doi:10.1115/1.4042643. [Google Scholar] [CrossRef]
4. Barnes A, Marshall-Cross D, Hughes BR. Towards a standard approach for future Vertical Axis Wind Turbine aerodynamics research and development. Renew Sustain Energy Rev. 2021;148(4):111221. doi:10.1016/j.rser.2021.111221. [Google Scholar] [CrossRef]
5. Tigabu MT, Khalid MSU, Wood D, Admasu BT. Some effects of turbine inertia on the starting performance of vertical-axis hydrokinetic turbine. Ocean Eng. 2022 May;252(3):111143. doi:10.1016/j.oceaneng.2022.111143. [Google Scholar] [CrossRef]
6. Ghafoorian F, Mirmotahari SR, Eydizadeh M, Mehrpooya M. A systematic investigation on the hybrid Darrieus-Savonius vertical axis wind turbine aerodynamic performance and self-starting capability improvement by installing a curtain. Energy. 2025 Jan;6(7):100203. doi:10.1016/j.nxener.2024.100203. [Google Scholar] [CrossRef]
7. Yan D, Yang Y, Ge Z. CFD evaluation of the self-starting of a vertical-axis wave turbine and the related flow and load characteristics. In: ASME 2024 43rd International Conference on Ocean, Offshore and Arctic Engineering, 2024 Aug; Singapore: American Society of Mechanical Engineers Digital Collection. doi:10.1115/OMAE2024-125892. [Google Scholar] [CrossRef]
8. Mirmotahari SR, Ghafoorian F, Mehrpooya M, Hosseini Rad S, Taraghi M, Moghimi M. A comprehensive investigation on Darrieus vertical axis wind turbine performance and self-starting capability improvement by implementing a novel semi-directional airfoil guide vane and rotor solidity. Phys Fluids. 2024 Jun;36(6):065151. doi:10.1063/5.0208848. [Google Scholar] [CrossRef]
9. Liu K, Yu M, Zhu W. Enhancing wind energy harvesting performance of vertical axis wind turbines with a new hybrid design: a fluid-structure interaction study. Renew Energy. 2019;140(4):912–27. doi:10.1016/j.renene.2019.03.120. [Google Scholar] [CrossRef]
10. Wisner KS, Yu M. Vertical-axis turbine performance enhancement with physics-informed blade pitch control. Basic principles and proof of concept with high-fidelity numerical simulation. J Renew Sustain Energy. 2024 Mar;16(2):023305. doi:10.1063/5.0178535. [Google Scholar] [CrossRef]
11. Tong M, Zhu W, Zhao X, Yu M, Liu K, Li G. Free and forced vibration analysis of H-type and hybrid vertical-axis wind turbines. Energies. 2020;13(24):6747. doi:10.3390/en13246747. [Google Scholar] [CrossRef]
12. Peng HY, Liu HJ, Yang JH. A review on the wake aerodynamics of H-rotor vertical axis wind turbines. Energy. 2021;232:121003. doi:10.1016/j.energy.2021.121003. [Google Scholar] [CrossRef]
13. Wang L, Dong M, Yang J, Wang L, Chen S, Duić N, et al. Wind turbine wakes modeling and applications: past, present, and future. Ocean Eng. 2024 Oct;309(8):118508. doi:10.1016/j.oceaneng.2024.118508. [Google Scholar] [CrossRef]
14. Watts RG, Ferrer R. The lateral force on a spinning sphere: aerodynamics of a curveball. Am J Phys. 1987 Jan;55(1):40–4. doi:10.1119/1.14969. [Google Scholar] [CrossRef]
15. Sorensen B. Renewable energy: physics, engineering, environmental impacts, economics and planning. London: Academic Press; 2017. [Google Scholar]
16. Kelley CL, Maniaci DC, Resor BR. Horizontal-axis wind turbine wake sensitivity to different blade load distributions. In: 33rd Wind Energy Symposium, 2015; Kissimmee, FL, USA. doi:10.2514/6.2015-0490. [Google Scholar] [CrossRef]
17. Dabiri JO. Potential order-of-magnitude enhancement of wind farm power density via counter-rotating vertical-axis wind turbine arrays. J Renew Sustain Energy. 2011;3(4):043104. doi:10.1063/1.3608170. [Google Scholar] [CrossRef]
18. Lund K, Madsen E. State-of-the-art value chain roadmap for sustainable end-of-life wind turbine blades. Renew Sustain Energy Rev. 2024;192:114234. [Google Scholar]
19. Silva JE, Danao LAM. Varying VAWT cluster configuration and the effect on individual rotor and overall cluster performance. Energies. 2021;14(6):1567. doi:10.3390/en14061567. [Google Scholar] [CrossRef]
20. Zheng H-D, Zheng XY, Zhao SX. Arrangement of clustered straight-bladed wind turbines. Energy. 2020;200(3):117563. doi:10.1016/j.energy.2020.117563. [Google Scholar] [CrossRef]
21. Mohamed OS, Ibrahim A, El Baz AMR. CFD investigation of the multiple rotors Darrieus type turbine performance. In: ASME Turbo Expo 2019: Turbomachinery Technical Conference and Exposition, Jun 17–21, 2019; Phoenix, AZ, USA: American Society of Mechanical Engineers; V009T48A010. [Google Scholar]
22. Chowdhury AM, Akimoto H, Hara Y. Comparative CFD analysis of vertical axis wind turbine in upright and tilted configuration. Renew Energy. 2016;85(1):327–37. doi:10.1016/j.renene.2015.06.037. [Google Scholar] [CrossRef]
23. Ross I, Altman A, Bowman D, Mooney T, Bogart D. Aerodynamics of vertical-axis wind turbines: assessment of accepted wind tunnel blockage practice. In: 48th AIAA Aerospace Sciences Meeting Including the New Horizons Forum and Aerospace Exposition, 2010; Orlando, FL, USA. doi:10.2514/6.2010-397. [Google Scholar] [CrossRef]
24. Manwell JF, McGowan JG, Rogers AL. Wind energy explained: theory, design and application. John Wiley & Sons; 2010. [Google Scholar]
25. Azadani LN. Vertical axis wind turbines in cluster configurations. Ocean Eng. 2023;272(4):113855. doi:10.1016/j.oceaneng.2023.113855. [Google Scholar] [CrossRef]
26. Shaheen M, Abdallah S. Development of efficient vertical axis wind turbine clustered farms. Renew Sustain Energy Rev. 2016;63(8):237–44. doi:10.1016/j.rser.2016.05.062. [Google Scholar] [CrossRef]
27. Kinzel M, Mulligan Q, Dabiri JO. Energy exchange in an array of vertical-axis wind turbines. J Turbul. 2012;13:N38. doi:10.1080/14685248.2012.712698. [Google Scholar] [CrossRef]
28. Abkar M. Theoretical modeling of vertical-axis wind turbine wakes. Energies. 2019;12(1):10. doi:10.3390/en12010010. [Google Scholar] [CrossRef]
29. Lam HF, Peng HY. Measurements of the wake characteristics of co- and counter-rotating twin H-rotor vertical axis wind turbines. Energy. 2017;131:13–26. doi:10.1016/j.energy.2017.05.015. [Google Scholar] [CrossRef]
30. Peng HY, Lam HF, Liu HJ. Numerical investigation into the blade and wake aerodynamics of an H-rotor vertical axis wind turbine. J Renew Sustain Energy. 2018 Sep;10(5):053305. doi:10.1063/1.5040297. [Google Scholar] [CrossRef]
31. Hand B, Kelly G, Cashman A. Aerodynamic design and performance parameters of a lift-type vertical axis wind turbine: a comprehensive review. Renew Sustain Energy Rev. 2021;139(3):110699. doi:10.1016/j.rser.2020.110699. [Google Scholar] [CrossRef]
32. Tjiu W, Marnoto T, Mat S, Ruslan MH, Sopian K. Darrieus vertical axis wind turbine for power generation I: assessment of Darrieus VAWT configurations. Renew Energy. 2015;75:50–67. doi:10.1016/j.renene.2014.09.038. [Google Scholar] [CrossRef]
33. Shaheen M, Abdallah S. Efficient clusters and patterned farms for Darrieus wind turbines. Sustain Energy Technol Assess. 2017;19(4):125–35. doi:10.1016/j.seta.2017.01.007. [Google Scholar] [CrossRef]
34. Giorgetti S, Pellegrini G, Zanforlin S. CFD Investigation on the aerodynamic interferences between medium-solidity darrieus vertical axis wind turbines. Energy Proc. 2015;81:227–39. doi:10.1016/j.egypro.2015.12.089. [Google Scholar] [CrossRef]
35. Whittlesey RW, Liska S, Dabiri JO. Fish schooling as a basis for vertical axis wind turbine farm design*. Bioinspir Biomim. 2010 Aug;5(3):035005. doi:10.1088/1748-3182/5/3/035005. [Google Scholar] [PubMed] [CrossRef]
36. Duraisamy K, Lakshminarayan V. Flow physics and performance of vertical axis wind turbine arrays. In: 32nd AIAA Applied Aerodynamics Conference, 2014; Atlanta, GA, USA: American Institute of Aeronautics; p. 3139. [Google Scholar]
37. Bremseth J, Duraisamy K. Computational analysis of vertical axis wind turbine arrays. Theor Comput Fluid Dyn. 2016;30:387–401. [Google Scholar]
38. Kinzel M, Araya DB, Dabiri JO. Turbulence in vertical axis wind turbine canopies. Phys Fluids. 2015 Nov;27(11):115102. doi:10.1063/1.4935111. [Google Scholar] [CrossRef]
39. Mereu R, Federici D, Ferrari G, Schito P, Inzoli F. Parametric numerical study of Savonius wind turbine interaction in a linear array. Renew Energy. 2017;113(9):1320–32. doi:10.1016/j.renene.2017.06.094. [Google Scholar] [CrossRef]
40. Hezaveh SH, Bou-Zeid E, Dabiri J, Kinzel M, Cortina G, Martinelli L. Increasing the power production of vertical-axis wind-turbine farms using synergistic clustering. Bound-Layer Meteorol. 2018;169:275–96. [Google Scholar]
41. Durkacz J, Islam S, Chan R, Fong E, Gillies H, Karnik A, et al. CFD modelling and prototype testing of a vertical axis wind turbines in planetary cluster formation. Energy Rep. 2021;7(2021):119–26. doi:10.1016/j.egyr.2021.06.019. [Google Scholar] [CrossRef]
42. Kadum H, Cal RB, Quigley M, Cortina G, Calaf M. Compounded energy gains in collocated wind plants: energy balance quantification and wake morphology description. Renew Energy. 2020;150:868–77. doi:10.1016/j.renene.2019.12.077. [Google Scholar] [CrossRef]
43. Chen J, Zhang Y, Xu Z, Li C. Flow characteristics analysis and power comparison for two novel types of vertically staggered wind farms. Energy. 2023;263(3):126141. doi:10.1016/j.energy.2022.126141. [Google Scholar] [CrossRef]
44. Belabes B, Paraschivoiu M. CFD modeling of vertical-axis wind turbine wake interaction. Trans Can Soc Mech Eng. 2023;47(4):449–58. doi:10.1139/tcsme-2022-0149. [Google Scholar] [CrossRef]
45. Posa A. Wake characterization of coupled configurations of vertical axis wind turbines using large eddy simulation. Int J Heat Fluid Flow. 2019;75(4):27–43. doi:10.1016/j.ijheatfluidflow.2018.11.008. [Google Scholar] [CrossRef]
46. Rivera-Arreba I, Li Z, Yang X, Bachynski-Polić EE. Comparison of the dynamic wake meandering model against large eddy simulation for horizontal and vertical steering of wind turbine wakes. Renew Energy. 2024 Feb;221(6):119807. doi:10.1016/j.renene.2023.119807. [Google Scholar] [CrossRef]
47. Ouro P, Lazennec M. Theoretical modelling of the three-dimensional wake of vertical axis turbines. Flow. 2021;1:E3. doi:10.1017/flo.2021.4. [Google Scholar] [CrossRef]
48. Yuan Z, Sheng Q, Sun K, Zang J, Zhang X, Jing F, et al. The array optimization of vertical axis wind turbine based on a new asymmetric wake model. J Mar Sci Eng. 2021;9(8):820. doi:10.3390/jmse9080820. [Google Scholar] [CrossRef]
49. Dinesh Kumar Reddy G, Verma M, De A. Performance analysis of vertical-axis wind turbine clusters: effect of inter-turbine spacing and turbine rotation. Phys Fluids. 2023 Oct;35(10):105122. doi:10.1063/5.0169060. [Google Scholar] [CrossRef]
50. Hezaveh SH, Bou-Zeid E, Lohry MW, Martinelli L. Simulation and wake analysis of a single vertical axis wind turbine. Wind Energy. 2017;20(4):713–30. doi:10.1002/we.2056. [Google Scholar] [CrossRef]
51. Rezaeiha A, Montazeri H, Blocken B. On the accuracy of turbulence models for CFD simulations of vertical axis wind turbines. Energy. 2019;180(8):838–57. doi:10.1016/j.energy.2019.05.053. [Google Scholar] [CrossRef]
52. Hansen MOL, Sørensen JN, Voutsinas S, Sørensen N, Madsen HA. State of the art in wind turbine aerodynamics and aeroelasticity. Prog Aerosp Sci. 2006;42(4):285–330. [Google Scholar]
53. Oktavitasari D, Kurniawan P, Tjahjana DDDP, Mazlan SA. Study of the wind farm arrangements and wake characteristic using numerical simulation for crossflow wind turbine. AIP Conf Proc. 2019 Apr;2097(1):030009. doi:10.1063/1.5098184. [Google Scholar] [CrossRef]
54. Hansen JT, Mahak M, Tzanakis I. Numerical modelling and optimization of vertical axis wind turbine pairs: a scale up approach. Renew Energy. 2021;171(14):1371–81. doi:10.1016/j.renene.2021.03.001. [Google Scholar] [CrossRef]
55. Barnes A, Hughes B. Determining the impact of VAWT farm configurations on power output. Renew Energy. 2019;143(5):1111–20. doi:10.1016/j.renene.2019.05.084. [Google Scholar] [CrossRef]
56. Shaheen M. Numerical analysis of the effect of the mutual interaction between closely separated variable pitch vertical axis wind turbines. Wind Eng. 2021;45(5):1222–42. doi:10.1177/0309524X20971679. [Google Scholar] [CrossRef]
57. Meziane M, Essadiqi E, Faqir M, Ghanameh MF. CFD study of unsteady flow through Savonius wind turbine clusters. Int J Renew Energy Res. 2019;9(2):657–66. [Google Scholar]
58. Zhang JH, Lien F-S, Yee E. Investigations of vertical-axis wind-turbine group synergy using an actuator line model. Energies. 2022;15(17):6211. doi:10.3390/en15176211. [Google Scholar] [CrossRef]
59. Mendoza V, Goude A. Wake flow simulation of a vertical axis wind turbine under the influence of wind shear. J Phys Conf Ser. 2017 May;854(1):012031. doi:10.1088/1742-6596/854/1/012031. [Google Scholar] [CrossRef]
60. Shen Z, Gong S, Xie G, Lu H, Guo W. Investigation of the effect of critical structural parameters on the aerodynamic performance of the double darrieus vertical axis wind turbine. Energy. 2024 Mar;290:130156. doi:10.1016/j.energy.2023.130156. [Google Scholar] [CrossRef]
61. Kim HH, Oh Y, Yoo HH. Simple vibration model for the design of a vertical axis wind turbine. J Mech Sci Technol. 2020;34(2):511–20. doi:10.1007/s12206-020-0101-z. [Google Scholar] [CrossRef]
62. Deng W, Yu Y, Liu L, Guo Y, Zhao H. Research on the dynamical responses of H-type floating VAWT considering the rigid-flexible coupling effect. J Sound Vib. 2020;469(6):115162. doi:10.1016/j.jsv.2019.115162. [Google Scholar] [CrossRef]
63. Troldborg N, Larsen GC, Madsen HA, Hansen KS, Sørensen JN, Mikkelsen R. Numerical simulations of wake interaction between two wind turbines at various inflow conditions. Wind Energy. 2011;14(7):859–76. doi:10.1002/we.433. [Google Scholar] [CrossRef]
64. Fatahian E, Mishra R, Jackson FF, Fatahian H. Optimization and analysis of self-starting capabilities of vertical axis wind turbine pairs: a CFD-Taguchi approach. Ocean Eng. 2024;302(1–3):117614. doi:10.1016/j.oceaneng.2024.117614. [Google Scholar] [CrossRef]
65. Hassanpour M, Azadani LN. Aerodynamic optimization of the configuration of a pair of vertical axis wind turbines. Energy Convers Manag. 2021;238(8):114069. doi:10.1016/j.enconman.2021.114069. [Google Scholar] [CrossRef]
66. Chen Y, Chen Y, Zhou J, Guo P, Li J. Optimization and performance study of bidirectional Savonius tidal turbine cluster with deflectors. Energy Convers Manag. 2023;283:116947. [Google Scholar]
67. Ginsbourger D, Le Riche R, Carraro L. Kriging is well-suited to parallelize optimization. In: Computational intelligence in expensive optimization problems. Springer; 2010. p. 131–62. [Google Scholar]
68. Shaaban S, Albatal A, Mohamed MH. Optimization of H-Rotor Darrieus turbines’ mutual interaction in staggered arrangements. Renew Energy. 2018;125:87–99. doi:10.1016/j.renene.2018.02.094. [Google Scholar] [CrossRef]
69. Lam HF, Peng HY. Development of a wake model for Darrieus-type straight-bladed vertical axis wind turbines and its application to micro-siting problems. Renew Energy. 2017;114:830–42. doi:10.1016/j.renene.2017.07.094. [Google Scholar] [CrossRef]
70. Cazzaro D, Bedon G, Pisinger D. Vertical axis wind turbine layout optimization. Energies. 2023;16(6):2697. doi:10.3390/en16062697. [Google Scholar] [CrossRef]
71. Hansen M, Enevoldsen P, Abkar M. Energy harvesting via co-locating horizontal-and vertical-axis wind turbines. J Phys: Conf Ser. 2020;1618:032004. doi:10.1088/1742-6596/1618/3/032004. [Google Scholar] [CrossRef]
72. Xia G, Cao Y, Qian Z, Zhu Y, Wang J, Guo T, et al. Optimization layout and aerodynamic performance research on double nautilus vertical-axis wind turbine. Appl Sci. 2023;13(19):10959. doi:10.3390/app131910959. [Google Scholar] [CrossRef]
73. Chen Y, Guo P, Zhang D, Chai K, Zhao C, Li J. Power improvement of a cluster of three Savonius wind turbines using the variable-speed control method. Renew Energy. 2022;193(2012):832–42. doi:10.1016/j.renene.2022.05.062. [Google Scholar] [CrossRef]
74. Weihs D. Some hydrodynamical aspects of fish schooling. Swim Fly Nat. 1975;2:703–18. doi:10.1007/978-1-4757-1326-8. [Google Scholar] [CrossRef]
75. Chen H. Cluster-based ensemble learning for wind power modeling from meteorological wind data. Renew Sustain Energy Rev. 2022;167(5):112652. doi:10.1016/j.rser.2022.112652. [Google Scholar] [CrossRef]
76. Zhang J, Zhao X. Digital twin of wind farms via physics-informed deep learning. Energy Convers Manag. 2023;293:117507. [Google Scholar]
77. Li R, Zhang J, Zhao X. Dynamic wind farm wake modeling based on a Bilateral Convolutional Neural Network and high-fidelity LES data. Energy. 2022;258(8):124845. doi:10.1016/j.energy.2022.124845. [Google Scholar] [CrossRef]
78. Udo WS, Kwakye JM, Ekechukwu DE, Ogundipe OB. Optimizing wind energy systems using machine learning for predictive maintenance and efficiency enhancement. J Renew Energy Technol. 2024;28(3):312–30. [Google Scholar]
79. Fadil J, Soedibyo S, Ashari M. Novel of vertical axis wind turbine with variable swept area using fuzzy logic controller. Int J Intell Eng Syst. 2020;13(3):256–67. doi:10.22266/ijies2020.0630.24. [Google Scholar] [CrossRef]
80. Brandetti L, Mulders SP, Merino-Martinez R, Watson S, van Wingerden J-W. Multi-objective calibration of vertical-axis wind turbine controllers: balancing aero-servo-elastic performance and noise. Wind Energy Sci Discuss. 2023;2023:1–34. [Google Scholar]
81. Aboelezz A, Ghali H, Elbayomi G, Madboli M. A novel VAWT passive flow control numerical and experimental investigations: guided vane airfoil wind turbine. Ocean Eng. 2022;257(1):111704. doi:10.1016/j.oceaneng.2022.111704. [Google Scholar] [CrossRef]
82. Xu W, Li G, Wang F, Li Y. High-resolution numerical investigation into the effects of winglet on the aerodynamic performance for a three-dimensional vertical axis wind turbine. Energy Convers Manag. 2020;205:112333. [Google Scholar]
83. Abbasi S, Daraee MA. Improving vertical-axis wind turbine performance through innovative combination of deflector and plasma actuator. Phys Fluids. 2024 Apr;36(4):045134. doi:10.1063/5.0204070. [Google Scholar] [CrossRef]
84. Xu Z, Chen J, Li C. Research on the adaptability of dynamic pitch control strategies on H-type VAWT close-range arrays by simulation study. Renew Energy. 2023;218(4):119231. doi:10.1016/j.renene.2023.119231. [Google Scholar] [CrossRef]
85. Howland MF, Quesada JB, Martínez JP, Larrañaga FP, Yadav N, Chawla JS, et al. Collective wind farm operation based on a predictive model increases utility-scale energy production. Nat Energy. 2022;7(9):818–27. doi:10.1038/s41560-022-01085-8. [Google Scholar] [CrossRef]
86. Zhang L, Feng Z, Zhao Y, Xu X, Feng J, Ren H, et al. Experimental study of wake evolution under vertical staggered arrangement of wind turbines of different sizes. J Mar Sci Eng. 2024 Mar;12(3):3. doi:10.3390/jmse12030434. [Google Scholar] [CrossRef]
87. Vergaerde A, Troyer TD, Muggiasca S, Bayati I, Belloli M, Kluczewska-Bordier J, et al. Experimental characterisation of the wake behind paired vertical-axis wind turbines. J Wind Eng Ind Aerodyn. 2020;206(4):104353. doi:10.1016/j.jweia.2020.104353. [Google Scholar] [CrossRef]
88. Huang M, Vijaykumar Patil Y, Sciacchitano A, Ferreira C. Experimental study of the wake interaction between two vertical axis wind turbines. Wind Energy. 2023;26(11):1188–211. doi:10.1002/we.2863. [Google Scholar] [CrossRef]
89. Su H, Meng H, Qu T, Lei L. Wind tunnel experiment on the influence of array configuration on the power performance of vertical axis wind turbines. Energy Convers Manag. 2021;241:114299. doi:10.1016/j.enconman.2021.114299. [Google Scholar] [CrossRef]
90. Shelley SA, Boo SY, Kim D, Luyties WH. Comparing levelized cost of energy for a 200 MW floating wind farm using vertical and horizontal axis turbines in the Northeast U.S.A. In: OTC Offshore Technology Conference, 2018; Houston, TX, USA. doi:10.4043/28700-MS. [Google Scholar] [CrossRef]
91. Shields M, Beiter P, Kleiber W. Spatial impacts of technological innovations on the levelized cost of energy for offshore wind power plants in the United States. Sustain Energy Technol Assess. 2021;45(17):101059. doi:10.1016/j.seta.2021.101059. [Google Scholar] [CrossRef]
92. Beiter P, Musial W, Kilcher L, Sirnivas S, Stehly T, Gevorgian V, et al. A spatial-economic cost-reduction pathway analysis for U.S. In: Offshore wind energy development from 2015–2030. USA: National Renewable Energy Lab; 2016. Available from: https://api.semanticscholar.org/CorpusID:114164082. [Accessed 2024]. [Google Scholar]
93. Viqueira-Moreira M, Ferrer E. Insights into the aeroacoustic noise generation for vertical axis turbines in close proximity. Energies. 2020;13(16):4148. doi:10.3390/en13164148. [Google Scholar] [CrossRef]
94. Todd Griffith D, Paquette J, Barone M, Goupee AJ, Fowler MJ, Bull D, et al. A study of rotor and platform design trade-offs for large-scale floating vertical axis wind turbines. J Phys: Conf Ser. 2016;753:102003. doi:10.1088/1742-6596/753/10/102003. [Google Scholar] [CrossRef]
95. Vranešević KK, Ćorić S, Glumac AŠ. LES study on the urban wind energy resources above the roof of buildings in generic cluster arrangements: impact of building position. J Wind Eng Ind Aerodyn. 2023;240(1):105503. doi:10.1016/j.jweia.2023.105503. [Google Scholar] [CrossRef]
96. Kwok KCS, Hu G. Wind energy system for buildings in an urban environment. J Wind Eng Ind Aerodyn. 2023;234:105349. doi:10.1016/j.jweia.2023.105349. [Google Scholar] [CrossRef]
97. Li S, Lu W-T, Phillips BM, Jiang Z. Flow characteristics over flat building roof with different edge configurations for wind energy harvesting: a wind tunnel study. Energy Build. 2024 Nov;323(7282):114789. doi:10.1016/j.enbuild.2024.114789. [Google Scholar] [CrossRef]
98. Paraschivoiu I, Ammar S, Saeed F. VAWT versus HAWT: a comparative performance study of 2–6 MW rated capacity turbines. Eng Can Soc Mech Eng. 2018;42(4):393–403. doi:10.1139/tcsme-2017-0137. [Google Scholar] [CrossRef]
99. Möllerström E, Ottermo F, Hylander J, Bernhoff H. Noise emission of a 200 kW vertical axis wind turbine. Energies. 2016;9(1):19. doi:10.3390/en9010019. [Google Scholar] [CrossRef]
100. Xie S, Archer CL, Ghaisas N, Meneveau C. Benefits of collocating vertical-axis and horizontal-axis wind turbines in large wind farms. Wind Energy. 2017;20(1):45–62. doi:10.1002/we.1990. [Google Scholar] [CrossRef]
Cite This Article
Copyright © 2024 The Author(s). Published by Tech Science Press.This work is licensed under a Creative Commons Attribution 4.0 International License , which permits unrestricted use, distribution, and reproduction in any medium, provided the original work is properly cited.


Submit a Paper
Propose a Special lssue
View Full Text
Download PDF



Downloads
Citation Tools