![]() | Energy Engineering | ![]() |
DOI: 10.32604/EE.2021.017657
ARTICLE
A Study on Heat Transfer Enhancement through Various Nanofluids in a Square Cavity with Localized Heating
1Department of Mathematics and Physics, North South University, Dhaka, Bangladesh
2Center for Applied and Scientific Computing (CASC), North South University, Dhaka, Bangladesh
3Department of Mathematics, Jagannath University, Dhaka, Bangladesh
4Department of Mathematics, Dhaka University of Engineering and Technology, Gazipur, Bangladesh
5Department of Mathematics, COMSAT University Islamabad, Attock Campus, Attock, Pakistan
*Corresponding Author: Md. Mamun Molla. Email: mamun.molla@northsouth.edu
Received: 28 May 2021; Accepted: 02 August 2021
Abstract: A two-dimensional (2D) laminar flow of nanofluids confined within a square cavity having localized heat source at the bottom wall has been investigated. The governing Navier–Stokes and energy equations have been non dimensionalized using the appropriate non dimensional variables and then numerically solved using finite volume method. The flow was controlled by a range of parameters such as Rayleigh number, length of heat source and nanoparticle volume fraction. The numerical results are represented in terms of isotherms, streamlines, velocity and temperature distribution as well as the local and average rate of heat transfer. A comparative study has been conducted for two different base fluids, ethylene glycol and water as well as for two different solids
Keywords: Nanofluids; finite volume method; heat transfer enhancement; localized heating
Nomenclature
| | Specific heat at constant pressure (kJ/kg K) |
| g: | Gravitational field constant ( |
| Gr: | Grashof Number ( |
| H: | Cavity Height (m) |
| L: | Cavity width (m) |
| | Average Nusselt number |
| Nu: | Nusselt number |
| Pr: | Prandtl number |
| Ra: | Rayleigh number ( |
| t: | Time (s) |
| T: | Temperature (K) |
| U, V: | Dimensionless velocity components (m/s) |
| u, v: | Dimensional velocity components (m/s) |
| X, Y: | Dimensionless Cartesian coordinates (m) |
| x. y: | Cartesian Coordinates |
Greek symbols
| | Thermal diffusivity of nano fluid ( |
| | Fluid thermal expansion coefficient (1/K) |
| | Solid thermal expansion coefficient (1/K) |
| | Width of heat source at bottom wall |
| | Fluid thermal conductivity (W/m K) |
| | Solid thermal conductivity (W/m K) |
| | Dynamic viscosity of nano fluid (N |
| | Dynamic viscosity of base fluid (N |
| | Density of nano fluid ( |
| | Density of base fluid ( |
| | Non dimensional temperature |
| | Dimensionless time |
| | Solid volume fraction |
| | Streamline function |
| | Stress component |
Subscripts
| f: | Fluid |
| s: | Solid |
| h: | Hot |
| c: | Cold |
| nf: | Nanofluids |
Nanofluids are immersions of nanosized particles in a base fluid. The base fluid could be water, ethylene glycol, etc., whereas there are varieties of nanoparticles to choose from, for example, copper (Cu), aluminum oxide (
In a study by Truong et al. [5] to investigate if nanoparticles increase Critical Heat Flux (CHF) on a passively engineered heating surface, bares and blasted plates were used to establish a baseline for the CHF measurement and the nanofluids used included diamond, alumina and zinc oxide with volume fractions of 1%, 10%, and 20%, respectively. The CHF value for diamond showed an 11% enhancement, and that for both zinc oxide and alumina showed 35% enhancement. Extended research was carried by Wen [6] in further increasing the already enhanced CHF value for nanofluids reviews experiments performed on enhanced CHF and investigated possible mechanisms that increase CHF enhancement. A simplified dry patch model was developed, and the structural disjoining pressure was investigated by calculating interfacial shapes for pure fluid and various concentrations of nanofluids. An experiment by Chun et al. [7] elucidates the effect of nanofluids on boiling heat transfer of silicon, silicon carbide, and water using platinum (Pt) wire as a heat source. The experiment shows that nanoparticle-coated Pt wires are cooled down at a much higher rate compared to the bare Pt wires cooled by water and Si nanofluids.
Among works done on natural convective heat transfer, Wen et al. [8] formulated the transient and steady heat transfer coefficient for different concentrations of nanofluids under natural convective conditions in a range of Rayleigh numbers (Ra) from
Among works done with nanofluids in various geometries, the numerical study by Vajjha et al. [18] investigates heat transfer of nanofluids placed in the flat tubes of an automobile radiator. The results show a considerable increase in average heat transfer coefficient with increasing concentration and Reynolds number. In another numerical study by Maiga et al. [19] to investigate thermal characteristics of the forced convective flow of nanofluids,
Jung et al. [25] conducted an experimental study to investigate the heat transfer coefficient and friction factor of nanofluids in a rectangular-shaped microchannel. Kondaraju et al. [26] conducted a numerical simulation to investigate the effects of coagulation of particles on thermal conductivity and found that heat transfer increases with an increase in volume fraction. Oztop et al. [27] conducted another numerical study to examine the heat and fluid flow due to the natural convection of nanofluids inside a partially heated rectangular-shaped enclosure. Results indicate that the heat transfer enhances with an increase in Rayleigh number as well as with an increase in particle concentration. The numerical investigation on mixed convection heat transfer by Kherbeet et al. [28] shows that the Nusselt number increases with increasing the solid volume fraction and Reynolds number and also reveals that the nanofluid containing
Yang et al. [31] conducted an experimental study on nanofluids that exhibit both viscosity and elastic properties and found that thermal conductivity increases with increasing particle volume concentration and temperature. Viscosity was found to be higher when using visco-elastic nanofluid rather than the base fluid, and it increases with increasing particle volume concentration but decreases when the temperature was increased. A study performed by Khanafer et al. [32] analyses the synthesis of thermo-physical properties of nanofluids and their contribution in heat transfer enhancement. It was concluded that the types of models that give appropriate values at different temperatures were not clearly defined, suggesting further investigations in the measurement of nanofluid properties.
An interesting numerical study on nanoparticles of various shapes, performed by Fan et al. [33], investigates the effects of thermal conductivity ratio, particle volume fraction, and particle morphology on multiple aspects of nanoparticles such as temperature gradient, phase lags of heat flux, and thermal conductivity. Results reveal that two aspects of nanoparticle geometry affect thermal conductivity, i.e., particle’s radius of gyration and/or non-dimensional interfacial area. In a study performed on transient buoyancy-driven convective heat transfer of bottom-heated water-based nanofluids by Yu et al. [34], results with and without considering Brownian motion were recorded for each volume fraction value. Here a phenomenon called Pitchfork bifurcation was observed for
Comparative analyses on the effects of different nanoparticles on the heat transfer characteristic are available. However, research on the impact of varying base fluid on the nanofluid heat transfer characteristics is rare in the literature. Based on the literature review and to the best of the authors’ knowledge, there is no scholarly work comparing water and ethylene-glycol as the base fluids used for heat transfer medium as nanofluid. To remove the bulk heat or to cool a device in an industry or laboratory is a significant event for enhancing the efficiency of a machine or electrical system, and choosing an appropriate base fluid while using nanofluid plays an important role. The present research is a comparative investigation of the flow and thermal performance between nanofluids and pure-fluids flowing in such a square cavity whose bottom wall is partially heated by a heat source of variable length. The governing non-dimensional Navier Stokes and energy equations are solved numerically using the finite volume method with the staggered grid.
A square cavity has been considered with a heat source placed at its bottom wall, as shown in Fig. 1. The top border is entirely adiabatic, and a part of the bottom wall is kept heated while the rest is adiabatic. The sidewalls are cool. Considering this cavity contains nanofluid, the flow and thermal behavior are investigated when the bottom wall is heated at different lengths and different base fluids and solid particles. There are some predefined underlined assumptions for the simplicity of the problem, and these are: fluid flow is laminar, steady-state, Newtonian, and incompressible. Viscous dissipation, as well as radiation effects, are neglected here. For buoyancy force density variation, Boussinesq approximations have been considered. The flow is governed by the following Navier Stokes and energy equations:
where

Figure 1: Schematic model and coordinate systems
To non-dimensionalizing the above mentioned governing equations, the appropriate non-dimensional variables are defined as follows:
where
The effective viscosity for a suspension containing small spherical solid nanoparticles is given by Brinkman [36]:
The effective density and thermal expansion coefficient of a fluid containing solid nanoparticles can be given as [37]:
The heat capacitance of nanofluid is given as:
The Maxwell–Garnetts model [38] for effective thermal conductivity of a mixture of base fluid along with the particular concentration of nanoparticles states:
Applying the above non-dimensional variables into Eqs. (1)–(4) yield the following non-dimensional equations:
The physical properties of the particles and fluid taken into consideration are tabulated in Tab. 1.

To solve the non-dimensional governing Eqs. (11)–(14) the following boundary conditions are used:
where
The rate of heat transfer is measured in terms of the Nusselt number. The local Nusselt number is defined by
and the average Nusselt number on the heated bottom wall is defined by
3 Numerical Procedure and Code Validation
A SIMPLE (Semi-Implicit Method for Pressure-Linked Equations) algorithm, also known as a pressure-corrector method, is used to integrate the problem (11)–(14) numerically in the given cavity. The SIMPLE algorithm involves the nodal momentum contributions and cell-face dissipation coefficients in the pressure-correction equation on a collocated or staggered grid arrangement. For the pressure and temperature, computational results are computed and stored at the center of the node. A three-point backward difference formula is used for the time derivative of the velocity and temperature, whereas the central difference quotient is used for the convective and diffusion terms. After discretizing the governing Eqs. (11)–(14), the resulting quasi-linear algebraic equations are solved using the line Gauss–Siedel method. In this study, the local mesh refinement is performed with a tangential hyperbolic stretching function. Further, a constant time step
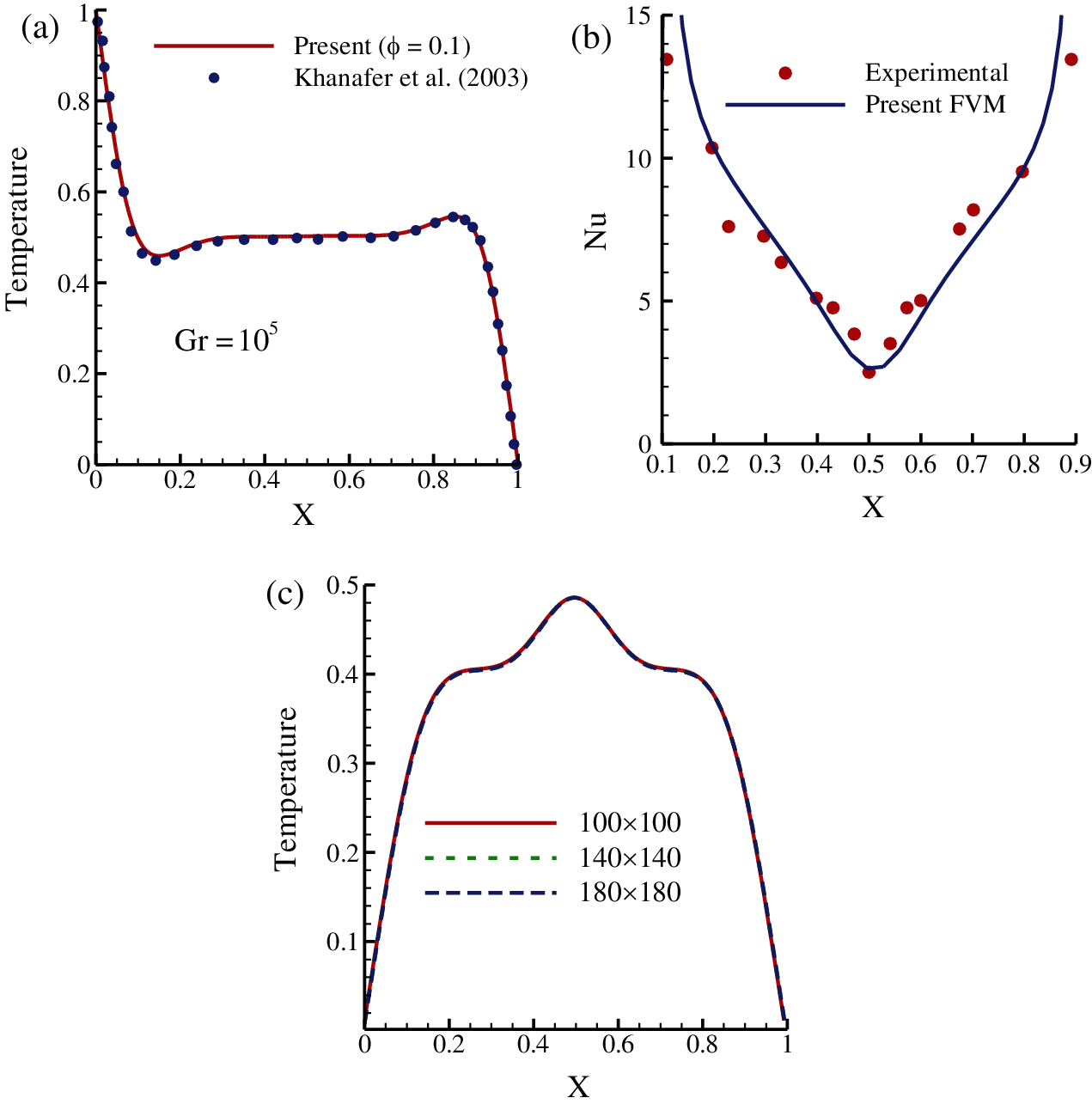
In order to validate our code, the present results have been compared to the benchmark solution of Davis [42], in which side heated cavity flow was considered (Tab. 2). In this comparison, the results are presented in terms of the average Nusselt number and maximum U and V velocities for three different Rayleigh numbers. From this table, it is seen that results are in good agreement with the benchmark solutions of Davis [42]. Khanafer et al. [21] conducted a numerical study on the natural convection of nanofluid in a side heated square cavity. A comparison has been made with these numerical results for Gr
For the present problem, a grid independence test has been conducted for Pr = 16.6,


Figure 2: (a) Comparison of the temperature distribution with the numerical results of Khanafer et al. [21] while Pr = 6.2, Gr = 105, and
Simulations have been carried out for several Rayleigh numbers, Ra, from
4.1 Case 1:
The isotherms and streamlines at
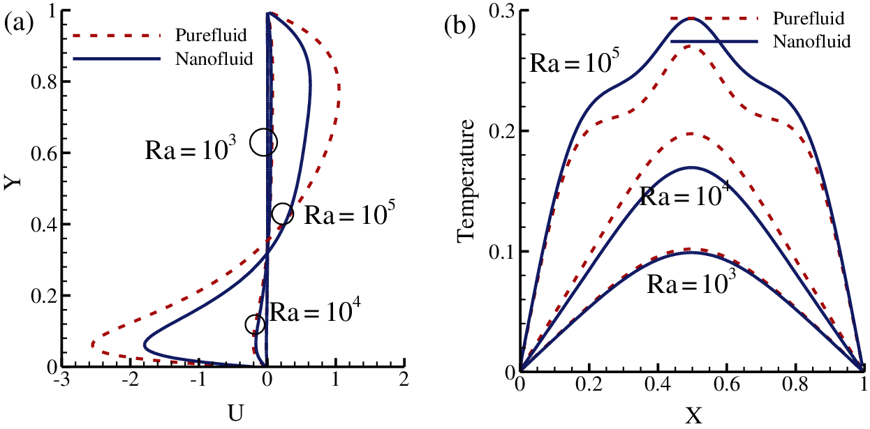
The velocity and temperature distribution at mid X and mid Y planes of the cavity for both pure and nanofluid are illustrated in Figs. 4a--4b, respectively. Fig. 4a shows that there is a higher difference in the profiles between high Ra and low Ra. This occurs because, at low Rayleigh number, the heat transfer is heavily influenced by conduction, but at higher Rayleigh number, the heat transfer occurs prominently by convection which causes the velocities of the fluids to rise. From Fig. 4b, it can be seen that at Ra (=
Fig. 5 represents how the local Nusselt number varies along the heated bottom wall for Ra (=
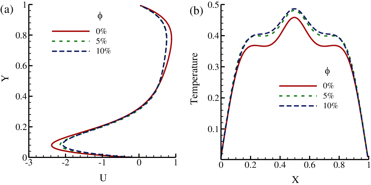
The velocity and temperature behavior of the nanofluid within the cavity is observed as well for various concentrations,

Figure 3: Comparison of streamlines (left) and isotherms (right) between nanofluid (solid line) and pure fluid (dashed line) at various Ra while

Figure 4: (a) U velocity at x midplane (b) Temperature distribution

Figure 5: Variation of local Nusselt number, Nu with Rayleigh number while

4.2 Case 2:
In this case, the length of the heat source on the bottom wall was reduced to 2/5. The isotherms and streamlines at

Figure 6: (a) U-velocity at X = 0.5 (b) temperature at Y = 0.5 for varying concentrations of nanofluid while
In Fig. 8, the graphs follow the same trend as that in Fig. 4. However, the maximum values of U velocity for each set of Rayleigh numbers are much lesser in this case than in Case 1. Comparing Figs. 4a and 8a, it is also evident that there is a remarkable similarity in the U velocity profiles in Case 1. In the temperature profile in Fig. 8b, the maximum temperature was reached at the midplane of the cavity at
4.3 Case 3:
In this case, the length of the heat source was further reduced to 1/5 to investigate its impact on the flow and thermal behavior of nanofluids. The streamlines and isotherms are illustrated in Fig. 9 and the temperature and velocity profiles in Fig. 10. By comparing Figs. 9 and 10, it can be seen that changing

Figure 7: Streamlines (left) and isotherms (right) contours between nanofluid (solid line) and pure-fluid (dashed line) at various Rayleigh numbers while
Considering Figs. 4 and 10, it is revealed that maximum velocity is reached in both cases at

Figure 8: (a) U-velocity at X = 0.5 (b) temperature at Y = 0.5 of nanofluid (solid line) and pure-fluid (dashed line) at various Rayleigh numbers while

Figure 9: Comparison of streamlines and isotherms contours between nanofluid (solid line) and pure fluid (dashed line) at various Rayleigh numbers while
The comparison of the average Nusselt numbers,
4.4 Case 4: Effect of Changing Base Fluid on Average Nusselt Number
The Prandtl number characterizes the choice of the type of base fluid. Initially, ethylene glycol is chosen as the base fluid, which has a Prandtl number of 16.6. Keeping
The effect of nanoparticles in the ethylene glycol-based nanofluid is more predominant compared to water-based nanofluid. This phenomenon is observed as the value of Pr is higher for ethylene glycol (ethylene glycol has a Pr of 16.6). According to the definition of Prandtl number, it is the ratio of momentum diffusivity and thermal diffusivity. When Pr < 1, it signifies that heat transfer in the fluid medium would be in conduction mode as thermal diffusivity would be more dominant in the fluid. On the other hand, when the Pr number is greater than one, transferring energy is more effective in convection mode as the momentum diffusivity of fluid is dominant. This also contributes to augment the impact of nanoparticles in the ethylene glycol on the heat transfer rate. As momentum diffusivity is more prevalent, the convection flow of fluid gets more robust, and more heat is carried away from the bottom heat source. As a result, the effect of nanoparticles in ethylene is more significant than the water as a base fluid.
4.5 Case 5: Effect of Changing the Nanoparticle
The choice of the type of nanoparticle is characterized by

Figure 10: (a) U-velocity at x = 0.5 (b) temperature at y = 0.5 of nanofluid (solid line) and pure fluid (dashed line) at various Rayleigh numbers while



The objective of the work is to investigate the flow and thermal behavior of nanofluid in a square cavity compared to ordinary pure fluid with localized heating at the bottom wall. At the end of the research, it is found that nanofluids are superior to pure fluid in transferring heat away from a cavity where the bottom border is heated. The length of heat source
The results obtained from this research can be of good use to manage the bulk heat in telecom field data centers. Since nanofluids are proven to have a faster heat transfer rate than pure fluids, their use as a coolant will more likely reduce the load on chillers and air conditioners, bringing down the electricity cost. A comparative analysis between two different base fluids (water and ethylene glycol) has been carried out. The study would help engineers utilize an optimum nanofluid to maximize the heat transfer rate. Moreover, the impact of different nanoparticles (Al2O3 and Cu) on the flow circulation and heat transfer rate was also analyzed. As a consequence, this article could be a guideline for thermal engineers to design more efficient heat transfer equipment.
Funding Statement: The third author acknowledges the Ministry of Science and Technology (MOST), the People's Republic of Bangladesh (https://most.gov.bd/), for providing the financial support for this research gratefully (Grant No. 441-EAS). The third author also acknowledges gratefully to the North South University for the financial support as a Faculty Research Grant (CTRG-20-SEPS-15) (http://www.northsouth.edu/research-office/).
Conflicts of Interest: The authors declare that they have no conflicts of interest to report regarding the present study.
1. He, Y., Jin, Y., Chen, H., Ding, Y., Cang, D. et al. (2007). Heat transfer and flow behaviour of aqueous suspensions of TiO2 nanoparticles (nanofluids) flowing upward through a vertical pipe. International Journal of Heat and Mass Transfer, 50(11–12), 2272–2281. DOI 10.1016/j.ijheatmasstransfer.2006.10.024. [Google Scholar] [CrossRef]
2. Shafahi, M., Bianco, V., Vafai, K., Manca, O. (2010). An investigation of the thermal performance of cylindrical heat pipes. International Journal of Heat and Mass Transfer, 53(1--3), 376–383. DOI 10.1016/j.ijheatmasstransfer.2009.09.019. [Google Scholar] [CrossRef]
3. Pang, C., Jung, J., Lee, J., Kang, Y. (2012). Thermal conductivity measurement of methanol-based nanofluids with Al2O3 and SiO2 nanoparticles. International Journal of Heat and Mass Transfer, 55(21–22), 5597–5602. DOI 10.1016/j.ijheatmasstransfer.2012.05.048. [Google Scholar] [CrossRef]
4. Lee, S., Park, S., Kang, S., Bang, I., Kim, J. (2011). Investigation of viscosity and thermal conductivity of SiC nanofluids for heat transfer applications. International Journal of Heat and Mass Transfer, 54(1–3), 433–438. DOI 10.1016/j.ijheatmasstransfer.2010.09.026. [Google Scholar] [CrossRef]
5. Truong, B., Hu, L., Buongiorno, J., McKrell, T. (2010). Modification of sandblasted plate heaters using nanofluids to enhance pool boiling critical heat flux. International Journal of Heat and Mass Transfer, 53(1–3), 85–94. DOI 10.1016/j.ijheatmasstransfer.2009.10.002. [Google Scholar] [CrossRef]
6. Wen, D. (2008). Mechanisms of thermal nanofluids on enhanced critical heat flux (CHF). International Journal of Heat and Mass Transfer, 51(19–20), 4958–4965. DOI 10.1016/j.ijheatmasstransfer.2008.01.034. [Google Scholar] [CrossRef]
7. Chun, S., Bang, I., Choo, Y., Song, C. (2011). Heat transfer characteristics of Si and SiC nanofluids during a rapid quenching and nanoparticles deposition effects. International Journal of Heat and Mass Transfer, 54(5–6), 1217–1223. DOI 10.1016/j.ijheatmasstransfer.2010.10.029. [Google Scholar] [CrossRef]
8. Wen, D., Ding, Y. (2005). Formulation of nanofluids for natural convective heat transfer applications. International Journal of Heat and Fluid Flow, 26(6), 855–864. DOI 10.1016/j.ijheatfluidflow.2005.10.005. [Google Scholar] [CrossRef]
9. Lin, K., Violi, A. (2010). Natural convection heat transfer of nanofluids in a vertical cavity: Effects of non-uniform particle diameter and temperature on thermal conductivity. International Journal of Heat and Fluid Flow, 31(2), 236–245. DOI 10.1016/j.ijheatfluidflow.2009.11.003. [Google Scholar] [CrossRef]
10. Corcione, M. (2011). Rayleigh–Bénard convection heat transfer in nanoparticle suspensions. International Journal of Heat and Fluid Flow, 32(1), 65–77. DOI 10.1016/j.ijheatfluidflow.2010.08.004. [Google Scholar] [CrossRef]
11. Ashorynejad, H., Shahriari, A. (2018). MHD natural convection of hybrid nanofluid in an open wavy cavity. Results in Physics, 9(27), 440–455. DOI 10.1016/j.rinp.2018.02.045. [Google Scholar] [CrossRef]
12. Yu, G. B., Gao, D. J., Chen, J. H., Dai, B., Liu, D. et al. (2016). Experimental research on heat transfer characteristics of CuO nanofluid in adiabatic condition. Journal of Nanomaterials, 2016(7), 1–7. DOI 10.1155/2016/3693249. [Google Scholar] [CrossRef]
13. Mutuku, W. (2016). Ethylene glycol (EG)-based nanofluids as a coolant for automotive radiator. Asia Pacific Journal on Computational Engineering, 3(1), 1. DOI 10.1186/s40540-016-0017-3. [Google Scholar] [CrossRef]
14. Alsoy-Akgün, N. (2019). Effect of an uniform magnetic field on unsteady natural convection of nanofluid. Journal of Taibah University for Science, 13(1), 1073–1086. DOI 10.1080/16583655.2019.1682342. [Google Scholar] [CrossRef]
15. Zahan, I., Nasrin, R., Alim, M. (2018). MHD effect on conjugate heat transfer in a nanofluid filled rectangular enclosure. International Journal of Petrochemical Science & Engineering, 3(3), 114–123. DOI 10.15406/ipcse.2018.03.00085. [Google Scholar] [CrossRef]
16. Alsabery, A., Chamkha, A., Saleh, H., Hashim, I. (2017). Natural convection flow of a nanofluid in an inclined square enclosure partially filled with a porous medium. Scientific Reports, 7(1), 1–18. DOI 10.1038/s41598-017-02241-x. [Google Scholar] [CrossRef]
17. Xiong, X., Chen, S., Yang, B. (2017). Natural convection of SiO2-water nanofluid in square cavity with thermal square column. Applied Mathematics and Mechanics, 38(4), 585–602. DOI 10.1007/s10483-017-2183-6. [Google Scholar] [CrossRef]
18. Vajjha, R. S., Das, D. K., Namburu, P. K. (2010). Numerical study of fluid dynamic and heat transfer performance of Al2O3 and CuO nanofluids in the flat tubes of a radiator. International Journal of Heat and Fluid Flow, 31(4), 613–621. DOI 10.1016/j.ijheatfluidflow.2010.02.016. [Google Scholar] [CrossRef]
19. Maiga, S., Palm, S., Nguyen, C., Roy, G., Galanis, N. (2005). Heat transfer enhancement by using nanofluids in forced convection flows. International Journal of Heat and Fluid Flow, 26(4), 530–546. DOI 10.1016/j.ijheatfluidflow.2005.02.004. [Google Scholar] [CrossRef]
20. Abu-Nada, E., Oztop, H. (2009). Effects of inclination angle on natural convection in enclosures filled with Cu-water nanofluid. International Journal of Heat and Fluid Flow, 30(4), 669–678. DOI 10.1016/j.ijheatfluidflow.2009.02.001. [Google Scholar] [CrossRef]
21. Khanafer, K., Vafai, K., Lightstone, M. (2003). Buoyancy-driven heat transfer enhancement in a two dimensional enclosure utilizing nanofluids. International Journal of Heat and Mass Transfer, 46(19), 3639–3653. DOI 10.1016/S0017-9310(03)00156-X. [Google Scholar] [CrossRef]
22. Saleem, S., Nguyen-Thoi, T., Shafee, A., Li, Z., Bonyah, E. et al. (2019). Steady laminar natural convection of nanofluid under the impact of magnetic field on two-dimensional cavity with radiation. AIP Advances, 9(6), 65008. DOI 10.1063/1.5109192. [Google Scholar] [CrossRef]
23. Javaherdeh, K., Moslemi, M., Shahbazi, M. (2017). Natural convection of nanofluid in a wavy cavity in the presence of magnetic field on variable heat surface temperature. Journal of Mechanical Science and Technology, 31(4), 1937–1945. DOI 10.1007/s12206-017-0342-7. [Google Scholar] [CrossRef]
24. Rahimi, A., Kasaeipoor, A., Malekshah, E., Amiri, A. (2018). Natural convection analysis employing entropy generation and heatline visualization in a hollow L-shaped cavity filled with nanofluid using lattice Boltzmann method-experimental thermo-physical properties. Physica E: Low-Dimensional Systems and Nanostructures, 97(5), 82–97. DOI 10.1016/j.physe.2017.10.004. [Google Scholar] [CrossRef]
25. Jung, J., Oh, H., Kwak, H. (2009). Forced convective heat transfer of nanofluids in microchannels. International Journal of Heat and Mass Transfer, 52(1–2), 466–472. DOI 10.1016/j.ijheatmasstransfer.2008.03.033. [Google Scholar] [CrossRef]
26. Kondaraju, S., Jin, E., Lee, J. (2010). Direct numerical simulation of thermal conductivity of nanofluids: The effect of temperature two-way coupling and coagulation of particles. International Journal of Heat and Mass Transfer, 53(5–6), 862–869. DOI 10.1016/j.ijheatmasstransfer.2009.11.038. [Google Scholar] [CrossRef]
27. Oztop, H., Abu-Nada, E. (2008). Numerical study of natural convection in partially heated rectangular enclosures filled with nanofluids. International Journal of Heat and Fluid Flow, 29(5), 1326–1336. DOI 10.1016/j.ijheatfluidflow.2008.04.009. [Google Scholar] [CrossRef]
28. Kherbeet, A., Mohammed, H., Salman, B. (2012). The effect of nanofluids flow on mixed convection heat transfer over microscale backward-facing step. International Journal of Heat and Mass Transfer, 55(21–22), 5870–5881. DOI 10.1016/j.ijheatmasstransfer.2012.05.084. [Google Scholar] [CrossRef]
29. Yang, Y., Lai, F. (2010). Numerical study of heat transfer enhancement with the use of nanofluids in radial flow cooling system. International Journal of Heat and Mass Transfer, 53(25–26), 5895–5904. DOI 10.1016/j.ijheatmasstransfer.2010.07.045. [Google Scholar] [CrossRef]
30. Kakac, S., Pramuanjaroenkij, A. (2009). Review of convective heat transfer enhancement with nanofluids. International Journal of Heat and Mass Transfer, 52(13–14), 3187–3196. DOI 10.1016/j.ijheatmasstransfer.2009.02.006. [Google Scholar] [CrossRef]
31. Yang, J., Li, F., Zhou, W., He, Y., Jiang, B. (2012). Experimental investigation on the thermal conductivity and shear viscosity of viscoelastic-fluid-based nanofluids. International Journal of Heat and Mass Transfer, 55(11–12), 3160–3166. DOI 10.1016/j.ijheatmasstransfer.2012.02.052. [Google Scholar] [CrossRef]
32. Khanafer, K., Vafai, K. (2011). A critical synthesis of thermophysical characteristics of nanofluids. International Journal of Heat and Mass Transfer, 54(19–20), 4410–4428. DOI 10.1016/j.ijheatmasstransfer.2011.04.048. [Google Scholar] [CrossRef]
33. Fan, J., Wang, L. (2011). Heat conduction in nanofluids: Structure-property correlation. International Journal of Heat and Mass Transfer, 54(19–20), 4349–4359. DOI 10.1016/j.ijheatmasstransfer.2011.05.009. [Google Scholar] [CrossRef]
34. Yu, Z., Xu, X., Hu, Y., Fan, L., Cen, K. (2011). Numerical study of transient buoyancy-driven convective heat transfer of water-based nanofluids in a bottom-heated isosceles triangular enclosure. International Journal of Heat and Mass Transfer, 54(1–3), 526–532. DOI 10.1016/j.ijheatmasstransfer.2010.09.017. [Google Scholar] [CrossRef]
35. Ghalambaz, M., Doostani, A., Izadpanahi, E., Chamkha, A. (2020). Conjugate natural convection flow of Ag-MgO/water hybrid nanofluid in a square cavity. Journal of Thermal Analysis and Calorimetry, 139(3), 2321–2336. DOI 10.1007/s10973-019-08617-7. [Google Scholar] [CrossRef]
36. Brinkman, H. (1952). The viscosity of concentrated suspensions and solutions. Journal of Chemical Physics, 20, 571–581. DOI 10.1063/1.1700493. [Google Scholar] [CrossRef]
37. Xuan, Y., Roetzel, W. (2000). Conceptions for heat transfer correlation of nanofluids. International Journal of Heat and Mass Transfer, 43(19), 3701–3707. DOI 10.1016/S0017-9310(99)00369-5. [Google Scholar] [CrossRef]
38. Maxwell, J. (1892Electricity and magnetism, vol. 1. Clarendon, Oxford: CP. [Google Scholar]
39. Gholinia, M., Gholinia, S., Hosseinzadeh, K. H., Ganji, D. D. (2018). Investigation on ethylene glycol nano fluid over a vertical permeable circular cylinder under effect of magnatic field. Results in Physics, 9, 1525–1533. DOI 10.1016/j.rinp.2018.04.070. [Google Scholar] [CrossRef]
40. Prince, H. A., Rozin, E. H., Chowdhury, E. H., Redwan, D. A., Mamun, M. A. H. (2021). A numerical comparison among different water-based hybrid nanofluids on their influences on natural convection heat transfer in a triangular solar collector for different tilt angles. Heat Transfer, 50(5), 4264–4288. DOI 10.1002/htj.22074. [Google Scholar] [CrossRef]
41. Redwan, D. A., Rahman, M. H., Prince, H. A., Chowdhury, E. H., Amin, M. R. (2020). Influence of Cu-water and CNT-water nanofluid on natural convection heat transfer in a triangular solar collector. ASME 2020 International Mechanical Engineering Congress and Exposition, vol. 11. American Society ofMechanical Engineers (ASME). DOI 10.1115/IMECE2020-23191. [Google Scholar] [CrossRef]
42. Davis, D. V. (1983). Natural convection of air in a square cavity: A benchmark numerical solution. International Journal of Numerical Methods in Fluids, 3, 249–264. DOI 10.1002/fld.1650030305. [Google Scholar] [CrossRef]
43. Calcagni, B., Marsili, F., Paroncini, M. (2005). Natural convective heat transfer in square enclosures heated from below. Applied Thermal Engineering, 25(16), 2522–2531. DOI 10.1016/j.applthermaleng.2004.11.032. [Google Scholar] [CrossRef]
![]() | This work is licensed under a Creative Commons Attribution 4.0 International License, which permits unrestricted use, distribution, and reproduction in any medium, provided the original work is properly cited. |