![]() | Energy Engineering | ![]() |
DOI: 10.32604/EE.2021.014759
ARTICLE
Robust Variable-Pitch Control Design of PMSG Via Perturbation Observer
1Department of International Applied Technology, Yibin University, Yibin, 644000, China
2School of Information and Communication Engineering, Hainan University, Haikou, 570000, China
3School of Physics and Information Engineering, Zhaotong University, Zhaotong, 657000, China
*Corresponding Author: Bo Li. Email: 20192205026@stu.kust.edu.cn
Received: 27 October 2020; Accepted: 15 November 2020
Abstract: Wind turbine employs pitch angle control to maintain captured power at its rated value when the wind speed is higher than rated value. This work adopts a perturbation observer based sliding-mode control (POSMC) strategy to realize robust variable-pitch control of permanent magnet synchronous generator (PMSG). POSMC combines system nonlinearities, parametric uncertainties, unmodelled dynamics, and time-varying external disturbances into a perturbation, which aims to estimate the perturbation via a perturbation observer without an accurate system model. Subsequently, sliding mode control (SMC) is designed to completely compensate perturbation estimation in real-time for the sake of achieving a global consistent control performance and improving system robustness under complicated environments. Simulation results indicate that, compared with vector control (VC), feedback linearization control (FLC), and nonlinear adaptive control (NAC), POSMC has the best control performance in ramp wind and random wind and the highest robustness in terms of parameter uncertainty. Specially, the integral absolute error index of
Keywords: Variable-pitch control; permanent magnet synchronous generator; perturbation observer
Energy is an essential material basis and support for human survival and social-economic development [1]. However, extensive consumption of limited fossil energy sources such as coal, oil, and natural [2] lead to severe environmental pollution, greenhouse effect, and increased global warming which are the common challenges in the world [3]. Hence, develop various renewable energy, e.g., wind [4], solar [5], geothermal [6], tides [7], waves [8], etc., and improve its efficiency have become a global consensus [9]. Specially, wind energy is one of promising alternative energy with the merits of pollution-free, cheap, widespread, and unlimited supply [10]. According to statistics of Renewables 2020 Global Status Report, the total growth rate of wind power capacity is around 228.79% in the globe over the past decade, which leads to a total of 651 GW installation up to 2019 [11].
Currently, permanent magnet synchronous generator (PMSG) is an attractive choice of wind turbine (WT) due to its large thrust, low loss, high-efficiency density, and high energy conversion efficiency [12]. And the operating regions of PMSG can be divided into three parts, as shown in Fig. 1. Specially, in Region 2, wind speed is between cut-in wind speed and rated value. The task of WT is to control turbine speed at the optimal value for extracting the maximum output power [13]. In Region 3, wind speed is between rated value and cut-out wind speed. The variable pitch controller adjusts the blade pitch angle to maintain output power at its rated value as the capacities of generator and converter are limited [14].

Figure 1: Three operating regions of PMSG
Various variable pitch control techniques have been reported in publications during the past decades so far. Conventional vector control (VC) using proportional-integral (PI) and proportional-integral-derivative (PID) control are widely adopted in industrial processes owing to its strengths of simple configuration and convenient implementation [15]. Nevertheless, it is an approximated linearization model based on an equilibrium point in which performance will inevitably degrade when the operating point is changed [16]. The linear quadratic Gaussian (LQG) is another common method in pitch angle control which can provide high robustness in terms of the phase and gain margins [17]. Nevertheless, wind energy conversion systems (WECS) are highly nonlinear due to the randomicity, intermittence, and seasons of wind energy such that this linear controller only has poor performance [18]. Hence, a series of advanced control strategies for pitch angle control, e.g., nonlinear control, fuzzy control, robust control, and self-adaptive control are presented to overcome the defects of VC and LQG. Adaptive PID [19] control and fuzzy self-tuning PID control [20] tune PID parameters on-line, which can suppress a variety of non-linear, time-varying factors. But the inherent drawback of PID is still retained in the above frameworks, which cannot obtain consistent control performance [21]. Moreover, Senjyu et al. [22] proposes a generalized predictive control (GPC) for wind generators in all operating regions which can effectively mitigate the adverse effects of changed operating points. Van et al. [23] develops a low-cost fuzzy logic controller for variable-speed WT without consideration of expensive wind speed measurements. And Wang et al. [24] designs a two-degree-of-freedom motion mechanism with feedback linearization control (FLC) for the large WT with improved robustness and stability. Moreover, multi-layer perceptron and radial basis function neural networks are investigated in work [25] to prevent WT from overloading or shutting down during high wind speed. Recently, perturbation observer has been applied widely in nonlinear system control, such as WECS [26], photovoltaic systems [27], VSC-HVDC systems [28] and so on, which can on-line estimate unknown nonlinearities, parametric uncertainties, and time-varying external disturbances for nonlinear system without the requirement of detailed system model [29].
In this work, a perturbation observer based sliding-mode control (POSMC) is adopted for PMSG to limit the turbine output power and generator speed in Region 3. Firstly, the perturbation observer generates the new perturbation via combining the system nonlinearities, parametric uncertainties, unmodelled dynamics, and time-varying external disturbances. Then sliding mode control is utilized to completely compensate the perturbation estimation in real-time. The proposed POSMC retains the strong robustness of sliding-mode control (SMC), and only require the measurements of d-q axis current and mechanical rotation speed. Three case studies are studied by Matlab/Simulink, e.g., ramp wind speed, random wind speed, and parameter uncertainty. Simulation results validate that, compared with VC control, feedback linearization control (FLC) and nonlinear adaptive control (NAC), POSMC can achieve satisfactory robust control performance under various operating conditions.
The rest of this article is organized as follows: Section 2 gives the model of PMSG system; Section 3 introduces the theory of POSMC; Section 4 develops the detailed design of POSMC for variable-pitch PMSG. In Section 5, case studies results are discussed and analyzed. And the last Section summarizes this work and draws conclusions.
A representative topology of PMSG system is described in Fig. 2. Firstly, mechanical power is transformed into electrical power via WT. Then, the electrical power is injected into power grid through back-to-back voltage source converters, filters, and the transformer. Specially, the major task of the machine-side converter (MSC) is to capture mechanical power and provide the required stator voltage, while active power and reactive power are regulated by the grid-side converter (GSC) [30]. In addition, MSC and GSC can realize a fully decoupled control by the DC link.

Figure 2: A representative topology of PMSG system
The tip speed ratio
where R represents the blade radius,
According to aerodynamic theory, the electrical power extracted by the WT can be described as
where
The voltage and torque equations of PMSG can be denoted as
where Vd and Vq represent d-q axis stator voltages, id and iq are d-q axis stator currents, Ld and Lq are d-q axis inductances,
The dynamics model of mechanical shaft system can be represented by
where
Pitch angel control actuator could regulate the blade pitch based on the required value. And the first-order linear model of pitch angel control actuator without considering the delay characteristics can be given as [14]
where
3 Perturbation Observer Based Sliding-Mode Control
An uncertain nonlinear system is denoted as
where
The perturbation of system (11) is described as
where b0 is constant control gain.
Based on Eq. (12), the last state xn of system (11) is represented as
Define a fictitious state xn+1 to denote perturbation
Define the extended state vector
Assumption 1: b0 is selected to meet
Assumption 2: perturbation
Suppose y = x1 is the sole measurable state, a (n+1)th order SMSPO is designed to estimate the system states and perturbation, obtains
where
3.2 Design of Sliding-Mode Controller
An estimated sliding surface is defined as
where the estimated sliding surface gains
Finally, POSMC of system is given as
where
4 POSMC Design of Variable-Pitch PMSG
4.1 State-Space Equation of PMSG
The state-space equation of PMSG is represented by
where
where
Differentiate control output
where
Eq. (24) can be rewritten into matrix form, yields
where
Note that
Define perturbation
where
Define tracking error
Then, a third order sliding-mode state and perturbation observer (SMSPO) is adopted to estimate
where positive constants
The estimated sliding surface of system (29) is chosen as
Finally, the POSMC of system (29) is designed as
where
Differentiate control output
where
Note that
Define perturbation
where
Define tracking error
Then, two second order sliding-mode perturbation observers (SMPOs) are adopted to estimate
where positive constants
The estimated sliding surface of system (37) is chosen as
Finally, the POSMC of system (37) is designed as
where
At this end, the overall block diagram of POSMC is shown in Fig. 3.

Figure 3: The overall block diagram of POSMC
As described in Assumption 2, the perturbation and its derivative are locally bounded. And the deduction of these bounds is given as
Hence, the validity of the developed perturbation observer is demonstrated.
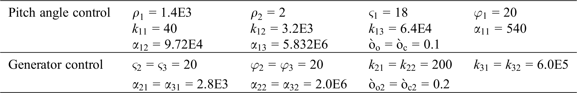
Three cases, e.g., ramp wind speed, random wind speed, and parameter uncertainty, are undertaken to assess the performance of POSMC compared with that of VC [15], FLC [24], and NAC [14]. The simulation is implemented based on MATLAB R2019a by a desktop computer with an Intel® Core™ i5 CPU at 3.4 GHz and 16 GB of RAM. And the parameters of PMSG and POSMC are listed in Tabs. 1 and 2, respectively.


A ramp wind signal changing from 18 m/s to 14 m/s is exerted to WECS, as shown in Fig. 4. The simulation outcomes of four controllers under ramp wind are shown in Fig. 5. One can easily find that VC has the longest convergence time and the biggest tracking error of

Figure 4: Ramp wind curve

Figure 5: The simulation outcomes of four controllers under ramp wind speed

Figure 6: The error between the estimations and actual values of the designed observers under ramp wind speed
The random wind curve is denoted in Fig. 7. And Fig. 8 describes the simulation outcomes under such scenario. Obviously, POSMC keeps

Figure 7: Random wind curve

Figure 8: The simulation results of four controllers under random wind speed

Figure 9: The error between the estimations and actual values of the designed observers under random wind speed
In this case, the variation of field flux Ke from 1 (p.u.) at t = 4s to 0.9 (p.u.) at t = 9s is implemented to system for evaluating the robustness of four controllers. And wind speed remains at 18 m/s during all the simulation time. Fig. 10 shows the simulation outcomes of four controllers under above scenario. It is clear that POSMC can restore perturbed system with the fastest speed. Though VC and FLC have the lower oscillation of imd because of the simple mechanism, they have the worst control performance in other seven output variables. And the maximum overshoot of

Figure 10: The simulation outcomes of four controllers under parameter uncertainty
Integral absolute error index

Figure 11: The overall control costs of four control approaches
Table 3: IAE indexes of four control approaches obtained in three scenarios (p.u.)

In this paper, POSMC is applied in variable-pitch control of PMSG to limit generator’s output power at its rated value when the wind speed is higher than rated value. The main novelties/contributions can be concluded as follows:
i) POSMC combines nonlinearities, parametric uncertainties, unmodelled dynamics, and time-varying external disturbances into a new perturbation estimating via the perturbation observer. Subsequently, sliding mode control is designed to completely make up for the perturbation estimation in real-time for the sake of realizing a global consistent control performance and improving the robustness of the system under various operation conditions.
ii) Compared with VC, POSMC is designed based on nonlinear architecture which is not affected by the changed system operating points.
iii) Compared with FLC, POSMC only requires the measurements of d-q axis current and mechanical rotation speed
iv) Compared with NAC, POSMC has the better control performance in ramp wind and random wind, the higher robustness in terms of parameter uncertainty, the smaller IAE indexes and overall control costs. Specially, the IAE
Future studies will be focused on carrying out the HIL experiment of variable-pitch PMSG to further prove the implementation feasibility of POSMC.
Funding Statement: The authors thankfully acknowledge the support of the Noise problem of electric vehicle brushless DC motor starting (S202010641109).
Conflicts of Interest: The authors declare that they have no conflicts of interest to report regarding the present study.
1. Xi, L., Chen, J., Huang, Y., Xu, Y. Liu, L. et al. (2018). Smart generation control based on multi-agent reinforcement learning with the idea of the time tunnel. Energy, 153, 977–987. DOI 10.1016/j.energy.2018.04.042. [Google Scholar] [CrossRef]
2. Zhang, S. X., Yu, T., Yang, B., Li, L. (2016). Virtual generation tribe based robust collaborative consensus algorithm for dynamic generation command dispatch optimization of smart grid. Energy, 101, 34–51. DOI 10.1016/j.energy.2016.02.009. [Google Scholar] [CrossRef]
3. Bani-Hani, E., Sedaghat, A., Saleh, A., Ghulom, A., Al-Rahmani, H. et al. (2019). Evaluating performance of horizontal axis double rotor wind turbines. Energy Engineering, 116(1), 26–40. DOI 10.1080/01998595.2019.12043336. [Google Scholar] [CrossRef]
4. Peng, X. T., Yao, W., Yan, C., Wen, J. Y., Cheng, S. J. (2019). Two-stage variable proportion coefficient based frequency support of grid-connected DFIG-WTs. IEEE Transactions on Power Systems, 35(2), 962–974. DOI 10.1109/TPWRS.2019.2943520. [Google Scholar] [CrossRef]
5. Yang, B., Zhong, L. E., Zhang, X. S., Shu, H. C., Yu, T. et al. (2019). Novel bio-inspired memetic salp swarm algorithm and application to MPPT for PV systems considering partial shading condition. Journal of Cleaner Production, 215, 1203–1222. DOI 10.1016/j.jclepro.2019.01.150. [Google Scholar] [CrossRef]
6. Moya, D., Aldás, C., Kaparaju, P. (2018). Geothermal energy: Power plant technology and direct heat applications. Renewable and Sustainable Energy Reviews, 94, 889–901. DOI 10.1016/j.rser.2018.06.047. [Google Scholar] [CrossRef]
7. Wu, J. M., Yao, Y. X., Li, W., Zhou, L., Goteman, M. (2017). Optimizing the performance of solo Duck wave energy converter in tide. Energies, 10(3), 289. DOI 10.3390/en10030289. [Google Scholar] [CrossRef]
8. Ulazia, A., Penalba, M., Ibarra-Berastegui, G., Ringwood, J., Saenz, J. (2019). Reduction of the capture width of wave energy converters due to long-term seasonal wave energy trends. Renewable and Sustainable Energy Reviews, 113, 109267. DOI 10.1016/j.rser.2019.109267. [Google Scholar] [CrossRef]
9. Badal, F. R., Das, P., Sarker, S. K., Das, S. J. (2019). A survey on control issues in renewable energy integration and microgrid. Protection and Control of Modern Power Systems, 4(1), 8. DOI 10.1186/s41601-019-0122-8. [Google Scholar] [CrossRef]
10. Ayodele, T. R., Ogunjuyigbe, A. S. O., Olarewaju, R. O., Munda, J. L. (2019). Comparative assessment of wind speed predictive capability of first-and second-order markov chain at different time horizons for wind power application. Energy Engineering, 116(3), 54–80. DOI 10.1080/01998595.2019.12057062. [Google Scholar] [CrossRef]
11. Global Wind Energy Council (2019). Global Wind Report 2019. https://gwec.net/global-wind-report-2019. [Google Scholar]
12. Wang, Y. F., Zhao, C. Y., Guo, C. Y., Rehman, A. U. (2020). Dynamics and small signal stability analysis of PMSG-based wind farm with an MMC-HVDC system. CSEE Journal of Power and Energy Systems, 6(1), 226–235. [Google Scholar]
13. Alsumiri, M., Li, L. Y., Jiang, L., Tang, W. H. (2018). Residue Theorem based soft sliding mode control for wind power generation systems. Protection and Control of Modern Power Systems, 3(1), 24. DOI 10.1186/s41601-018-0097-x. [Google Scholar] [CrossRef]
14. Chen, J., Yang, B., Duan, W. Y., Shu, H. C., An, N. et al. (2019). Adaptive pitch control of variable-pitch PMSG based wind turbine. Applied Sciences, 9(19), 4109. DOI 10.3390/app9194109. [Google Scholar] [CrossRef]
15. Yang, B., Yu, T., Shu, H. C., Jiang, L. (2018). Robust sliding-mode control of wind energy conversion systems for optimal power extraction via nonlinear perturbation observers. Applied Energy, 210, 711–723. DOI 10.1016/j.apenergy.2017.08.027. [Google Scholar] [CrossRef]
16. Yang, B., Yu, T., Shu, H. C., Zhang, Y. M., Chen, J. et al. (2018). Passivity-based sliding-mode control design for optimal power extraction of a PMSG based variable speed wind turbine. Renewable Energy, 119, 577–589. DOI 10.1016/j.renene.2017.12.047. [Google Scholar] [CrossRef]
17. Shaked, U., Soroka, E. (1985). On the stability robustness of the continuous-time LQG optimal control. IEEE Transactions on Automatic Control, 30(10), 1039–1043. DOI 10.1109/TAC.1985.1103811. [Google Scholar] [CrossRef]
18. Guchhait, P. K., Banerjee, A. (2020). Stability enhancement of wind energy integrated hybrid system with the help of static synchronous compensator and symbiosis organisms search algorithm. Protection and Control of Modern Power Systems, 5(1), 11. DOI 10.1186/s41601-020-00158-8. [Google Scholar] [CrossRef]
19. Kim, J., Jeon, J., Heo, H. (2011). Design of adaptive PID for pitch control of large wind turbine generator. 10th International Conference on Environment and Electrical Engineering. Rome, Italy. [Google Scholar]
20. Dou, Z. L., Cheng, M. Z., Ling, Z. B., Cai, X. (2010). An adjustable pitch control system in a large wind turbine based on a fuzzy-PID controller. SPEEDAM 2010, pp. 391–395. Pisa, Italy. [Google Scholar]
21. Zhang, X. S., Li, Q., Yu, T., Yang, B. (2018). Consensus transfer Q-learning for decentralized generation command dispatch based on virtual generation tribe. IEEE Transactions on Smart Grid, 9(3), 2152–2165. [Google Scholar]
22. Senjyu, T., Sakamoto, R., Urasaki, N., Funabashi, T., Fujita, H. et al. (2006). Output power leveling of wind turbine generator for all operating regions by pitch angle control. IEEE Transactions on Energy Conversion, 21(2), 467–475. DOI 10.1109/TEC.2006.874253. [Google Scholar] [CrossRef]
23. Van, T. L., Nguyen, T. H., Lee., D. (2015). Advanced pitch angle control based on fuzzy logic for variable-speed wind turbine systems. IEEE Transactions on Energy Conversion, 30(2), 578–587. DOI 10.1109/TEC.2014.2379293. [Google Scholar] [CrossRef]
24. Wang, C. S., Chiang, M. H. (2016). A novel pitch control system of a large wind turbine using two-degree-of-freedom motion control with feedback linearization control. Energies, 9(10), 791. DOI 10.3390/en9100791. [Google Scholar] [CrossRef]
25. Yilmaz, A. S., Özer, Z. (2009). Pitch angle control in wind turbines above the rated wind speed by multi-layer perceptron and radial basis function neural networks. Expert Systems with Applications, 36(6), 9767–9775. DOI 10.1016/j.eswa.2009.02.014. [Google Scholar] [CrossRef]
26. Yang, B., Zhong, L. E., Yu, T. Shu, Cao, H. C., An, P. L. et al. (2019). PCSMC design of permanent magnetic synchronous generator for maximum power point tracking. IET Generation, Transmission & Distribution, 13(14), 3115–3126. DOI 10.1049/iet-gtd.2018.5351. [Google Scholar] [CrossRef]
27. Yang, B., Yu, T., Shu, H. C., Zhu, D. N., Sang, Y. Y. et al. (2018). Perturbation observer based fractional-order sliding-mode controller for MPPT of grid-connected PV inverters: Design and real-time implementation. Control Engineering Practice, 79, 105–112. DOI 10.1016/j.conengprac.2018.07.007. [Google Scholar] [CrossRef]
28. Yang, B., Sang, Y. Y., Shi, K., Jiang, L., Yu, T. (2016). Design and real-time implementation of perturbation observer based sliding-mode control for VSC-HVDC systems. Control Engineering Practice, 56, 13–26. DOI 10.1016/j.conengprac.2016.07.013. [Google Scholar] [CrossRef]
29. Kwon, S. J., Chung, W. K. (2003). A discrete-time design and analysis of perturbation observer for motion control applications. IEEE Transactions on Control Systems Technology, 11(3), 399–407. DOI 10.1109/TCST.2003.810398. [Google Scholar] [CrossRef]
30. Chen, J., Jiang, L., Yao, W., Wu, Q. H. (2013). A feedback linearization control strategy for maximum power point tracking of a PMSG based wind turbine. International Conference on Renewable Energy Research and Applications (ICRERA), pp. 79–84. Madrid, Spain. [Google Scholar]
![]() | This work is licensed under a Creative Commons Attribution 4.0 International License, which permits unrestricted use, distribution, and reproduction in any medium, provided the original work is properly cited. |