| Computer Systems Science & Engineering DOI:10.32604/csse.2021.017924 | ![]() |
| Article |
Finding the Time-dependent Term in 2D Heat Equation from Nonlocal Integral Conditions
Department of Mathematics, College of Science, Jazan University, Jazan, Saudi Arabia
*Corresponding Author: M.J. Huntul. Email: mhantool@jazanu.edu.sa
Received: 15 February 2021; Accepted: 18 March 2021
Abstract: The aim of this paper is to find the time-dependent term numerically in a two-dimensional heat equation using initial and Neumann boundary conditions and nonlocal integrals as over-determination conditions. This is a very interesting and challenging nonlinear inverse coefficient problem with important applications in various fields ranging from radioactive decay, melting or cooling processes, electronic chips, acoustics and geophysics to medicine. Unique solvability theorems of these inverse problems are supplied. However, since the problems are still ill-posed (a small modification in the input data can lead to bigger impact on the ultimate result in the output solution) the solution needs to be regularized. Therefore, in order to obtain a stable solution, a regularized objective function is minimized in order to retrieve the unknown coefficient. The two-dimensional inverse problem is discretized using the forward time central space (FTCS) finite-difference method (FDM), which is conditionally stable and recast as a nonlinear least-squares minimization of the Tikhonov regularization function. Numerically, this is effectively solved using the MATLAB subroutine lsqnonlin. Both exact and noisy data are inverted. Numerical results for a few benchmark test examples are presented, discussed and assessed with respect to the FTCS-FDM mesh size discretisation, the level of noise with which the input data is contaminated, and the choice of the regularization parameter is discussed based on the trial and error technique.
Keywords: Two-dimensional heat equation; Neumann boundary conditions; inverse identification problems; Tikhonov regularization; nonlinear optimization
The identification of coefficients in inverse heat conduction problems for the parabolic heat equation continues to receive significant attention in a variety of fields, such as heat transfer, oil recovery, groundwater flow, and finance. Some researchers investigated the case of simultaneous identification of coefficients in two-dimensional heat conduction problems, see Refs. [1–8] to mention only a few. Inverse identification problems with integral measurements arise naturally in various physics and engineering models, such as radioactive nuclear decay [9], reactive transport in fluid flows in porous media [10] and semiconductor devices [11].
The determination of physical properties such as thermal conductivity using measured temperature, non-local integral or heat flux values at wall sites is an important inverse problem. A common determination strategy is the indirect one where one can minimize the gap between a computed solution and the measured data (observations) via an iterative process [12]. The main difficulty in this kind of problem is that there are usually so few observations that one finds hard to evaluate the spatial derivative of temperature by simple numerical differentiation. Therefore, heavier and more time-consuming optimization techniques are needed to obtain reliable results.
The one-dimensional inverse problems involving the identification of the time-dependent thermal conductivity/diffusivity coefficients of the heat equation with nonlocal and integral over-determination conditions in different statements were studied in Refs. [13–18]. Additionally, Abbas et al. [19] employed a finite difference approach for approximate solution of one-dimensional wave equation while Abbas et al. [20] applied a cubic B-spline collocation scheme for the solution of a reaction-diffusion, with initial and Neumann boundary conditions. A two-time level implicit technique is proposed for the approximate solution of the nonclassical diffusion problem with nonlocal boundary condition in the study [21]. Nazir et al. [22], developed various numerical solution techniques of the advection-diffusion equation.
The estimation of thermal properties for the multi-dimensional is rather scarce in the literature [23,24]. The aim of this paper is to consider a two-dimensional coefficient identification problem to estimate the time-dependent thermal conductivity component with initial and Neumann boundary conditions from non-local integral conditions. The inverse problems presented in this paper have already been showed to be locally uniquely solvable by Koval'chuk [25], but no numerical identification has been tried so far, therefore, the main goal of this work is to attempt numerical realization of this problem. Moreover, the novelty consists in the development of a convergent numerical optimization method for solving this nonlinear inverse coefficient problem for the heat equation. Numerically, the implementation is realised using the MATLAB subroutine lsqnonlin.
The rest of the paper is organized as follows. Section 2 describes the mathematical formulation of the inverse problems. The numerical forward time central space FDM discretization of the direct problem is described in Section 3. Section 4 introduces the regularized nonlinear minimization used for solving the inverse problems under investigation. In Section 5, numerical results and discussion are illustrated. Finally, conclusions are presented in Section 6.
2 Mathematical Formulation of the Inverse Problems
In the domain
where
the Neumann boundary conditions
and the nonlocal integral condition
where
The uniqueness of solution and continuous dependence on the input data for the solution pair
The above inverse problem (termed IP1) was investigated theoretically in Koval'chuk [25], where its unique solvability has been illustrated, as follows.
Theorem 1 (Uniqueness of solution of IP1)
Assume that the following conditions are satisfied:
where
Then, the IP1 Eqs. (1) to (5) has a unique solution
A related inverse problem (termed IP2) which requires the identification of the time-dependent coefficient
The IP2 was previously investigated in Koval'chuk [25], where its unique solvability has been proved and given as follows.
Theorem 2 (Uniqueness of solution of IP2)
Let conditions
Then, the IP2 Eqs. (1) to (4) and Eq. (6) has a unique solution
3 Discretization of the Forward Problem
Consider the forward (direct) initial boundary value problem given by Eqs. (1) to (4), when
We apply the FTCS-FDM to solve the Eq. (1) which is conditionally stable, [26]. So we obtain
for
The initial condition Eq. (2) gives
the Neumann boundary conditions Eqs. (3) and (4) give
where
The stability condition of the explicit FDM Eq. (8) is given as [26]
where
Finally, the trapezoidal rule is applied for all integrals conditions in Eqs. (5) and (6) as
where
and
4 Numerical Solution of the Inverse Problems
The numerical solution of the inverse problems Eqs. (1) to (5) or, Eqs. (1) to (4) and (6) is obtanied by minimizing the nonlinear Tikhonov regularization function
for IP1, and
for IP2, where
5 Numerical Results and Discussion
This section presents two benchmark test examples in order to test the accuracy and stability of the FDM numerical procedure introduced in Section 3. The root mean square errors (RMSE) is used to evaluate the accuracy of the numerical results as follows:
Let us take
The inverse problems are solved subject to both exact and noisy input data which is numerically simulated as follows:
where
where
Consider the IP1 Eqs. (1) to (5) with unknown time-dependent coefficient
We remark that the conditions
Let us solve the direct problem Eqs. (1)–(4) with the data Eq. (22), when

Figure 1: (a) The analytical Eq. (24) and numerical solutions for
Next, we solve the IP1 Eqs. (1) to (5) with the input Eqs. (22) and (23) using the subroutine
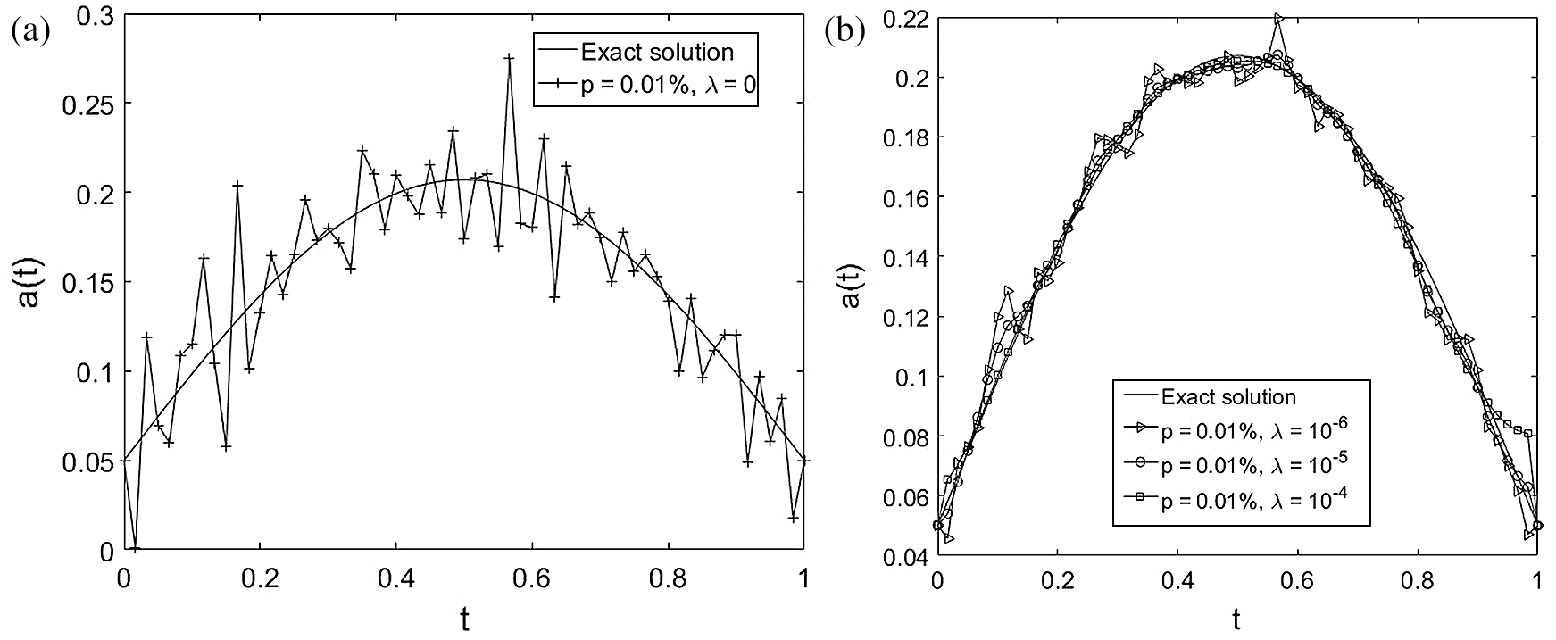
The mesh size is taken as the direct problem above and we start the examination for reconstructing the time-dependent coefficient
Now, we study the stability of the approximate solution with respect to various levels of

Figure 2: (a) The objective function

Figure 3: The objective function

Figure 4: The analytical Eq. (25) and numerical solutions for

Figure 5: The analytical Eq. (25) and numerical solutions for

In this example, we consider the IP2 given by Eqs. (1) to (4) and (6) with unknown time-dependent coefficient
The data
We observe that the conditions
The initial guess for the vector
We take a mesh size with
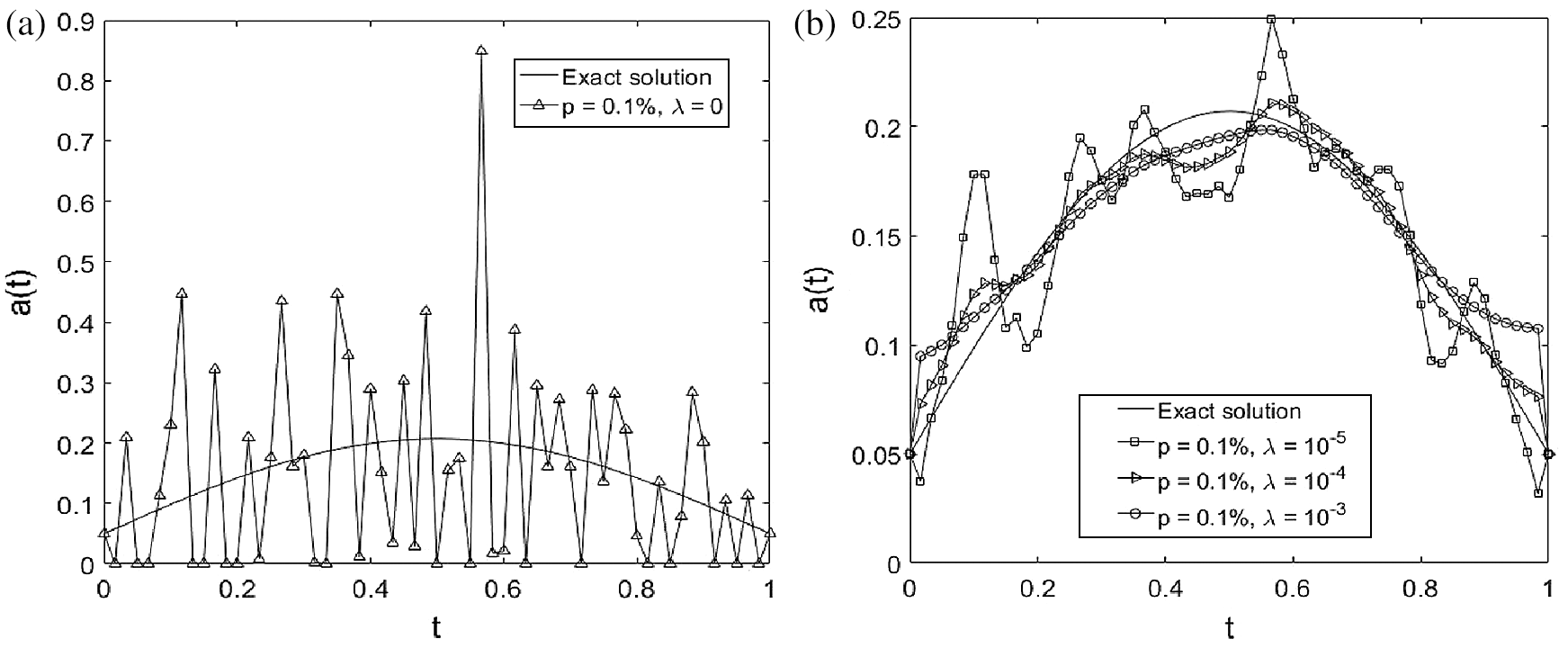
As in Example 1, first consider the case where there is no noise (
Next, we add

Figure 6: (a) The objective function

Figure 7: The analytical Eq. (30) and numerical solutions for

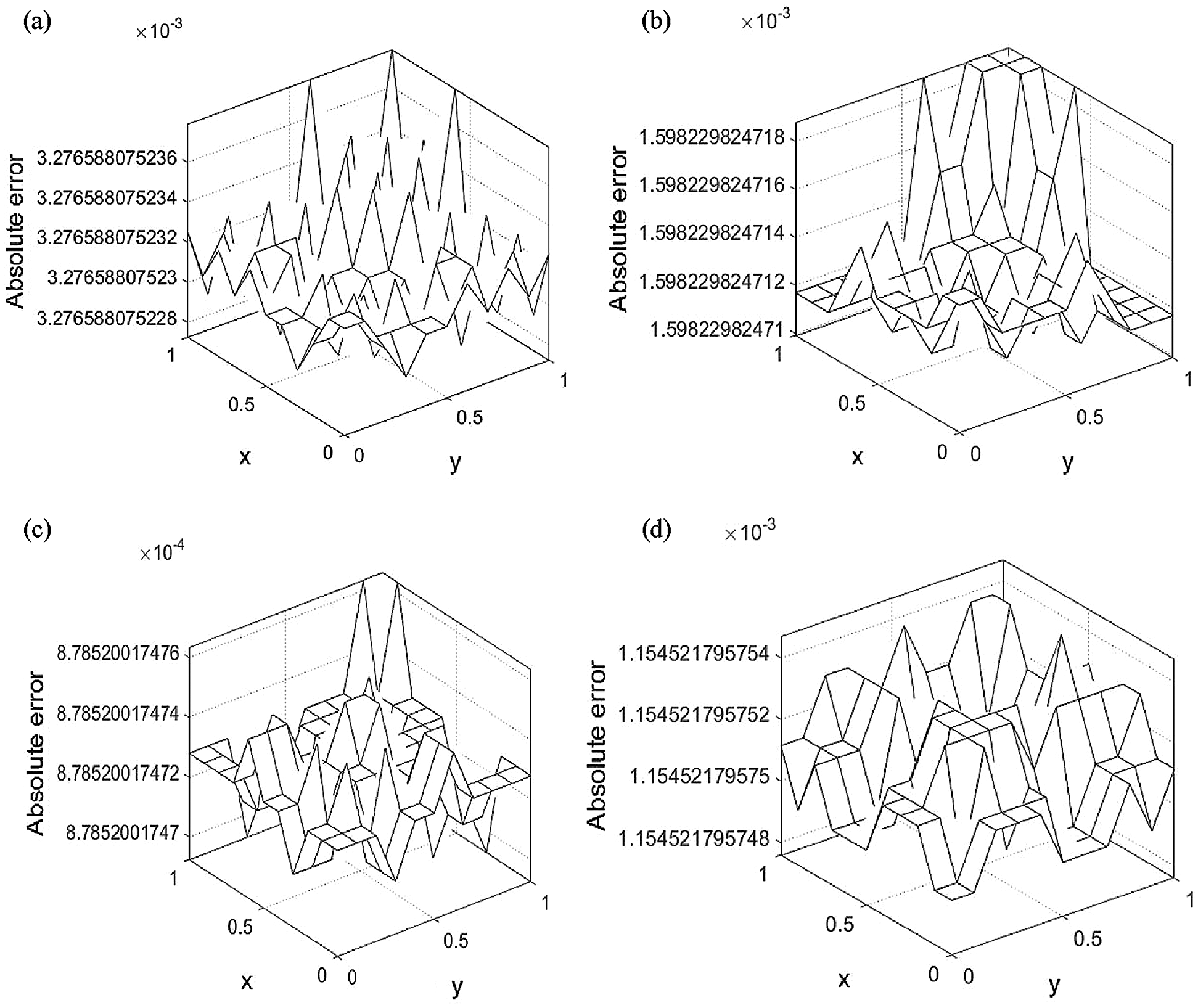
Figure 8: The absolute error between the analytical Eq. (29) and numerical solutions for

Figure 9: The analytical Eq. (30) and numerical solutions for

Figure 10: The absolute error between the analytical Eq. (29) and numerical solutions for

A couple of inverse problems which require finding a time-dependent thermal conductivity coefficient
Acknowledgement: The author is indebted to the anonymous referees for their valuable comments and suggestions that helped improve the paper significantly.
Funding Statement: The author(s) received no specific funding for this study.
Conflicts of Interest: The authors declare that they have no conflicts of interest to report regarding the present study.
1. C. Coles and D. A. Murio, “Identification of parameters in the 2-D IHCP,” Computers and Mathematics with Applications, vol. 40, no. 8-9, pp. 939–956, 2000. [Google Scholar]
2. C. Coles and D. A. Murio, “Simultaneous space diffusivity and source term reconstruction in 2D IHCP,” Computers and Mathematics with Applications, vol. 42, no. 12, pp. 1549–1564, 2001. [Google Scholar]
3. M. J. Huntul, “Reconstructing the time-dependent thermal coefficient in 2D free boundary problems,” CMC-Computers, Materials & Continua, vol. 67, no. 3, pp. 3681–3699, 2021, accepted. [Google Scholar]
4. M. J. Huntul, “Identification of the timewise thermal conductivity in a 2D heat equation from local heat flux conditions,” Inverse Problems in Science and Engineering, 2020. [Google Scholar]
5. M. J. Huntul and D. Lesnic, “Determination of the time-dependent convection coefficient in two-dimensional free boundary problems,” Engineering Computations, 2021, accepted. [Google Scholar]
6. M. J. Huntul and D. Lesnic, “Reconstruction of the timewise conductivity using a linear combination of heat flux measurements,” Journal of King Saud University-Science, vol. 32, no. 1, pp. 928–933, 2020. [Google Scholar]
7. M. J. Huntul and D. Lesnic, “Determination of a time-dependent free boundary in a two-dimensional parabolic problem,” International Journal of Applied and Computational Mathematics, vol. 4, no. 4, pp. 118, 2019. [Google Scholar]
8. Z. Yi and D. A. Murio, “Identification of source terms in 2-D IHCP,” Computers and Mathematics with Applications, vol. 47, no. 10-11, pp. 1517–1533, 2004. [Google Scholar]
9. V. V. Shelukhin, “A nonlocal in time model for radionuclide propagation in Stokes fluid,” Dinamika Sploshn. Sredy, vol. 107, pp. 180–193, 1993. [Google Scholar]
10. D. Dagan, “The significance of heterogeneity of evolving scales to transport in porous formations,” Water Resources Research, vol. 13, pp. 33273–33336, 1994. [Google Scholar]
11. W. Allegretto, Y. Lin and A. Zhou, “A box scheme for coupled systems resulting from microsensor thermistor problems,” Dynamics of Continuous, Discrete and Impulsive Systems, vol. 5, pp. 209–223, 1999. [Google Scholar]
12. P. Tervola, “A method to determine the thermal conductivity from measured temperature profiles,” International Journal of Heat and Mass Transfer, vol. 32, no. 8, pp. 1425–1430, 1989. [Google Scholar]
13. J. R. Cannon and A. L. Matheson, “A numerical procedure for diffusion subject to the specification of mass,” International Journal of Engineering Science, vol. 31, no. 3, pp. 347–355, 1993. [Google Scholar]
14. M. J. Huntul and D. Lesnic, “An inverse problem of finding the time-dependent thermal conductivity from boundary data,” International Communications in Heat and Mass Transfer, vol. 85, pp. 147–154, 2017. [Google Scholar]
15. M. J. Huntul, D. Lesnic and M. S. Hussein, “Reconstruction of time-dependent coefficients from heat moments,” Applied Mathematics and Computation, vol. 301, pp. 233–233, 2017. [Google Scholar]
16. M. S. Hussein, D. Lesnic and M. I. Ismailov, “An inverse problem of finding the time-dependent diffusion coefficient from an integral condition,” Mathematical Methods in the Applied Sciences, vol. 396, pp. 546–554, 2016. [Google Scholar]
17. N. Ukrainczyk, “Thermal diffusivity estimation using numerical inverse solution for 1D heat conduction,” International Journal of Heat and Mass Transfer, vol. 52, no. 25-26, pp. 5675–5681, 2009. [Google Scholar]
18. C. Y. Yang, “Estimation of the temperature-dependent thermal conductivity in inverse heat conduction problems,” Applied Mathematical Modelling, vol. 23, no. 6, pp. 469–478, 1999. [Google Scholar]
19. M. Abbas, A. A. Majid, AI. Md Ismail and R. Rashid, “The application of cubic trigonometric B-spline to the numerical solution of the hyperbolic problems,” Applied Mathematics and Computation, vol. 239, no. 3, pp. 74–88, 2014. [Google Scholar]
20. M. Abbas, A. A. Majid, AI. Md Ismail and R. Rashid, “Numerical method using cubic B-spline for a strongly coupled reaction-diffusion system,” PLoS One, vol. 9, no. 1, pp. e83265, 2013. [Google Scholar]
21. M. Abbas, A. A. Majid, AI. Md Ismail and R. Rashid, “Numerical method using cubic trigonometric B-spline technique for nonclassical diffusion problems,” Abstract and Applied Analysis, vol. 2014, pp. 1–11, 2014. [Google Scholar]
22. T. Nazir, M. Abbas, A. A. Majid, AI. Md Ismail and R. Rashid, “The numerical solution of advection-diffusion problems using new cubic trigonometric B-splines approach,” Applied Mathematical Modelling, vol. 40, no. 7-8, pp. 4586–4611, 2016. [Google Scholar]
23. J. R. Cannon and B. F. JonesJr, “Determination of the diffusivity of an anisotropic medium,” Applied Mathematical Modelling, vol. 1, pp. 457–460, 1963. [Google Scholar]
24. I. Knowles and A. Yan, “The recovery of an anisotropic conductivity in groundwater modelling,” Applicable Analysis, vol. 81, no. 6, pp. 1347–1365, 2002. [Google Scholar]
25. S. M. Koval'chuk, “Determination of temperature conductivity coefficient of rectangular plate,” Visnyk of the Lviv University, Series Mechanics and Mathematics, vol. 45, pp. 96–103, 1996. [Google Scholar]
26. R. J. LeVeque, “Finite difference methods for ordinary and partial differential equations: Steady-state and time-dependent problems,” in SIAM, vol. 98. Philadelphia, USA, 2007. [Google Scholar]
27. Mathworks, “Documentation optimization toolbox-least squares (Model fitting) algorithms,” 2016. [Online]. Available: https://www.mathworks.com [Google Scholar]
28. P. C. Hansen, “Analysis of discrete ill-posed problems by means of the L-curve,” SIAM Review, vol. 34, no. 4, pp. 561–580, 1992. [Google Scholar]
29. V. A. Morozov, “On the solution of functional equations by the method of regularization,” Soviet Mathematics Doklady, vol. 7, pp. 414–417, 1966. [Google Scholar]
![]() | This work is licensed under a Creative Commons Attribution 4.0 International License, which permits unrestricted use, distribution, and reproduction in any medium, provided the original work is properly cited. |