| Computer Systems Science & Engineering DOI:10.32604/csse.2021.014081 | ![]() |
| Article |
Fuzzy Adaptive Filtering-Based Energy Management for Hybrid Energy Storage System
1School of Electrical and Information Engineering, Hunan Institute of Engineering, Xiangtan, 411104, China
2School of Robotics, Hunan University, Changsha, 410082, China
*Corresponding Author: Xizheng Zhang. Email: z_x_z2000@163.com
Received: 30 August 2020; Accepted: 27 October 2020
Abstract: Regarding the problem of the short driving distance of pure electric vehicles, a battery, super-capacitor, and DC/DC converter are combined to form a hybrid energy storage system (HESS). A fuzzy adaptive filtering-based energy management strategy (FAFBEMS) is proposed to allocate the required power of the vehicle. Firstly, the state of charge (SOC) of the super-capacitor is limited according to the driving/braking mode of the vehicle to ensure that it is in a suitable working state, and fuzzy rules are designed to adaptively adjust the filtering time constant, to realize reasonable power allocation. Then, the positive and negative power are determined, and the average power of driving/braking is calculated so as to limit the power amplitude to protect the battery. To verify the proposed FAFBEMS strategy for HESS, simulations are performed under the UDDS (Urban Dynamometer Driving Schedule) driving cycle. The results show that the FAFBEMS strategy can effectively reduce the current amplitude of the battery, and the final SOC of the battery and super-capacitor is optimized to varying degrees. The energy consumption is 7.8% less than that of the rule-based energy management strategy, 10.9% less than that of the fuzzy control energy management strategy, and 13.1% less than that of the filtering-based energy management strategy, which verifies the effectiveness of the FAFBEMS strategy.
Keywords: Hybrid energy storage system; energy management; fuzzy adaptive filtering; electric vehicle
With the depletion of petroleum resources and increasingly serious pollution problems, electric vehicles have become an important alternative in the development of the vehicle industry, with the advantages of energy conservation and environmental protection. However, the development of electric vehicles is limited by the low power density and short cycle life of the battery [1–3]. To solve these problems, a new energy storage component, the super-capacitor, with the advantages of high power density and a long cycle life, is used as an auxiliary power source [4,5]. The hybrid energy storage system composed of a battery, super-capacitor, and DC/DC converter can effectively improve the power performance and driving distance of electric vehicles [6,7].
Research on HESS presently addresses the aspects of energy storage type selection and parameter matching, converter topology control strategy, and energy management strategy for power allocation. In Jung et al. [8], an advanced topology of the vehicle-mounted hybrid energy storage system is proposed, which provides a new idea for the energy management of HESS. In Rui et al. [9], four structures of the hybrid energy storage system were analyzed, and a real-time energy management strategy based on a deep learning algorithm was proposed, to minimize energy loss. However, the required calculation was too extensive. In Zhang et al. [10], a neural network-based methodology for power demand prediction and a power distribution strategy was proposed to reduce the cost of HESS. However, the neural network model requires a large amount of raw data as samples. In Golchoubian et al. [11], a nonlinear model predictive control method was presented as an energy management strategy of HESS to optimizes its performance. However, this method requires high model accuracy. In Choi et al. [12], an optimal energy management strategy based on the multiplicative-increase additive-decrease principle was presented, and a feasible optimal solution was obtained. However, the calculation process of this method was too complex. In Chen et al. [13], particle swarm optimization (PSO) was used to determine the optimal power allocation and reduce energy loss during the driving process. However, the PSO algorithm easily fell into a local optimal solution and did not obtain the optimal allocation result. In addition, rule-based [14], filtering-based [15], and fuzzy control [16] energy management strategy, as well as Pontryagin’s Minimum Principle method [17] have been used to manage the energy of HESS.
This paper proposes a fuzzy adaptive filtering-based energy management strategy (FAFBEMS) to allocate the required power of a vehicle. Firstly, the SOC of the super-capacitor is limited according to the driving/braking mode of the vehicle to ensure that it is in a suitable working state, and fuzzy rules are designed to adaptively adjust the filtering time constant so that the power allocation over driving is more reasonable. Then, the positive and negative power are determined, and the average power of driving/braking is calculated such that the power amplitude is limited to protect the battery. The vehicle model with the FAFBEMS strategy is built in the Advanced Vehicle Simulator (ADVISOR), and the performance is compared to that of several energy management strategies. The simulation results show that the total energy consumption of the pure battery is lowest over the actual driving cycle, but the required power of the vehicle is provided by the battery, and the high-amplitude current can cause irreversible damage to the battery. Compared with the rule-based, fuzzy control, and filtering-based energy management strategies, the FAFBEMS strategy has better performance in terms of protecting the battery and reducing energy consumption.
The remainder of this paper is organized as follows: In Section 2, the system model is introduced. The design of the FAFBEMS strategy is presented in Section 3. In Section 4, the FAFBEMS strategy is simulated over the UDDS driving cycle. In the end, the conclusions are presented in section 5.
There are four conventional structures of HESS as shown in Fig. 1. In Fig. 1a, the battery and the super-capacitor are directly connected to the DC bus in parallel, which has the advantages of a simple structure and low cost, but the current of the battery and super-capacitor cannot be controlled precisely. In Fig. 1b, the battery is connected in series with a DC/DC converter, and then connected to the DC bus in parallel with the super-capacitor. This structure can only control the current of the battery, and cannot effectively play the role of the super-capacitor. In Fig. 1c, the super-capacitor is connected in series with the DC/DC converter, and connected to the DC bus in parallel with the battery. This structure makes full use of the high energy density of the battery, which can maintain the stability of the bus voltage, and at the same time, the voltage range of the super-capacitor is increased by the series DC/DC converter. In Fig. 1d, the battery and the super-capacitor are connected in series with the DC/DC converter, and then connected to the DC bus in parallel. This structure requires separate control of the battery and the super-capacitor, which has a high cost, and the control strategy is complex. The structure in Fig. 1c is selected in this paper. The battery is used as the main power source to provide the average power to the load, and the super-capacitor is used as an auxiliary energy source to provide the peak power and recover the braking energy.

Figure 1: Four conventional structures of HESS
2.2 The Longitudinal Dynamic Model of the Vehicle
According to the principles of vehicle dynamics, the required power Preq at a certain speed can be calculated by the longitudinal dynamic model of the vehicle [18]:

where η represents the efficiency of the transmission system, v represents the speed of the vehicle, δ represents the conversion ratio of the vehicle rolling mass, m represents the curb weight, Ca represents the air drag coefficient, A represents the fronted area, g represents gravitational acceleration, f represents the rolling resistance coefficient, and θ represents the slope of the road.
In this paper, the parameters of the vehicle model used are shown in Tab. 1. For simplicity, the road slope is set to be zero. According to the parameters in Tab. 1 and Eq. (1), the required power of the UDDS driving cycle (see Fig. 2a) can be obtained as shown in Fig. 2b.
Table 1: Parameters of vehicle model


Figure 2: (a) The UDDS driving cycle. (b) The required power for UDDS driving cycle
2.3 The Model of the Battery and Super-Capacitor
The model of the battery is shown in Fig. 3a, which is composed of an open circuit voltage source Ebat and an equivalent series resistance Rbat. The model of the super-capacitor is shown in Fig. 3b, which is composed of an ideal capacitor C and an equivalent series resistance Rsc. The terminal voltage of the battery and the super-capacitor can be calculated as follows:


Figure 3: (a) Model of the battery. (b) Model of the super-capacitor
2.4 The Model of the DC/DC Converter
In the research on energy management strategies, the transfer efficiency of the DC/DC converter is mainly considered, which is related to the input voltage, output voltage, and input power. In the selected HESS structure, the DC/DC converter is connected in series with the super-capacitor and then connected in parallel with the battery. The input voltage of the DC/DC converter is the super-capacitor terminal voltage, the output voltage is the battery terminal voltage, and the input power is the power of the super-capacitor. Fig. 4 shows the transfer efficiency curves of the DC/DC converter under different voltage ratios. The transfer efficiency model of the DC/DC converter can be established by two-dimensional table interpolation.

Figure 4: Efficiency curves of DC/DC converter
The role of an energy management strategy is to reasonably allocate the required power between the battery and the super-capacitor, to protect the battery, and reduce energy loss. This section introduces the proposed fuzzy adaptive filtering-based energy management strategy.
3.1 Filtering-Based Energy Management Strategy
The filtering-based energy management strategy is shown in Fig. 5 [19], which divides the required power into two parts: low-frequency power and high-frequency power. The low-frequency power is obtained by filtering the required power with a low-pass filter, which is mainly provided by the battery and the remaining high-frequency power is provided by the super-capacitor, which can give full play to the characteristics of the super-capacitor with high power density, and avoid the damage of high amplitude current to the battery. The low-pass filtering function is expressed by Eq. (3), where τ is the filtering time constant.


Figure 5: Structure of the filtering-based energy management strategy
Thus, the power of the battery Pbat and the power of the super-capacitor Psc can be obtained as follows:


3.2 Fuzzy Adaptive Filtering-Based Energy Management Strategy
In the above-mentioned filtering-based energy management strategy, does not consider the charging and discharging states of the HESS, the filtering time constant τ is fixed, and cannot be adjusted according to the working state of the HESS, and its adaptability is poor. Therefore, a fuzzy adaptive filtering-based energy management strategy is proposed, which comprehensively considers the required power Preq, the state of charge SOCbat of the battery, and the state of charge SOCsc of the super-capacitor. The structure of the FAFBEMS is shown in Fig. 6.
Firstly, the SOC of the super-capacitor is limited according to the driving/braking mode of the vehicle to ensure that it is in a suitable working state, and the fuzzy rules are designed to adaptively adjust the filter time constant according to the change of Preq, SOCbat, and SOCsc, to make the power allocation more reasonable. Then, the positive and negative power are determined, and the average power of driving/braking is calculated such that the power amplitude is limited to protect the battery. The design is as follows.
Situation 1: Preq > 0 (driving)
1. If SOCsc > 0.3, then the required power Preq is allocated by the fuzzy adaptive filtering strategy;
2. If SOCsc < 0.3, then the required power Preq is borne by the battery to avoid excessive discharge of the super-capacitor.
Situation 2: Preq < 0 (braking)
1. If SOCsc > 0.9, then the required power Preq is absorbed by the battery to avoid overcharging of the super-capacitor;
2. If SOCsc < 0.9, then the required power Preq is limited. The battery absorbs the threshold power and the remaining power is absorbed by the super-capacitor.

Figure 6: Structure of FAFBEMS
In this paper, the Preq, SOCbat, and SOCsc are selected as inputs of the fuzzy controller, and the filtering time constant τ is selected as the output of the fuzzy controller. According to the characteristics of the battery and the super-capacitor, the fuzzy domain of SOCbat is set to [0.2,0.9], the fuzzy domain of SOCsc is set to [0.3,0.9], and the fuzzy domain of Preq is set to [0,1]. It should be noted that the actual domain of Preq is [0, Pmax], and the quantitative factor Kp = 1/Pmax is needed to change it from the actual domain to the fuzzy domain, where Pmax is the maximum required power under the driving cycle. Fig. 7 shows the change of battery SOC with different values of the filter time constant τ over the UDDS driving cycle. It can be seen that the battery SOC decreases with the increase of τ, which means that the power of the battery increases with the increase of τ. Therefore, the fuzzy domain of τ is set to [0,10] to avoid excessive discharge power of the battery.
Tab. 2 shows the fuzzy domain of fuzzy variables and their language values, where TS is too small, S is small, M is medium, B is large, and TB is too large. The membership function of the fuzzy variables is shown in Fig. 8. The Mamdani structure with three inputs and one output is adopted in the fuzzy controller. The designed fuzzy rules are listed in Tab. 3, and the relation of the inputs and output of the fuzzy controller is shown in Fig. 9.

Figure 7: Curve of battery SOC under different time constants τ
Table 2: Language value of fuzzy variables


Figure 8: Membership function of fuzzy variables


Figure 9: Relation of the inputs and output of the fuzzy controller
3.2.2 Design of Saturation Limiting
In this paper, the UDDS driving cycle is selected to simulate the proposed FAFBEMS strategy. According to the positive and negative statistics of the required power under the UDDS driving cycle in Fig. 2b, the corresponding total required power under driving and braking can be obtained. Then the average required power under driving and braking can be obtained by dividing the time of driving and braking. The results are shown in Tab. 4. The positive and negative average power obtained is the saturation limit threshold.
Table 4: Average power of UDDS

4 Simulation Results and Analysis
A vehicle model with the FAFBEMS strategy was built in ADVISOR, and simulated in the UDDS driving cycle shown in Fig. 2a. The parameters of the vehicle model are shown in Tab. 1, and the parameters of the HESS model are shown in Tab. 5. From Fig. 4, the interpolation table of the DC/DC converter efficiency is shown in Tab. 6.
Table 5: Parameters of the HESS model

Table 6: Efficiency interpolation table of DC-DC converter

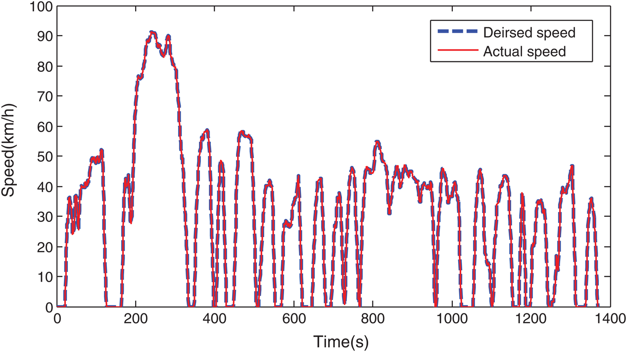
Fig. 10 shows the vehicle speed tracking curve over the FAFBEMS strategy. It can be seen that the actual vehicle speed tracks the expected vehicle speed very well, and there is almost no deviation, indicating that the FAFBEMS strategy can meet the vehicle's driving demand. Fig. 11 shows the power distribution results under the FAFBEMS strategy. It can be seen that the peak power is fully borne by the super-capacitor, which achieves the purpose of battery protection. Fig. 12 shows the battery and super-capacitor SOC change curves under the FAFBEMS strategy. It can be seen that the battery SOC changes relatively slowly and the super-capacitor SOC fluctuates greatly, indicating that most of the regenerative braking energy is recovered by the super-capacitor, which improves the energy utilization rate.

Figure 10: Vehicle speed tracking curve

Figure 11: Power allocation results

Figure 12: Battery and super-capacitor SOC change curves
To demonstrate the effectiveness of the FAFBEMS strategy, it is compared with the pure battery, as well as the rule-based, fuzzy control, and filtering-based energy management strategies over the UDDS driving cycle. Fig. 13 shows the change curve of the battery SOC, Fig. 14 shows the change curve of the super-capacitor SOC, and Fig. 15 shows the change curve of energy consumption. The remaining results are presented in Tab. 7.
It can be seen that although the energy consumption of the pure battery is the lowest, the SOC of the battery decreases the fastest, and the required power is provided by the battery, which causes irreversible damage to the battery due to the high-amplitude current. The final value of the battery SOC of the FAFBEMS strategy increases by 1.6% compared with the rule-based energy management strategy, decreases by 0.98% compared with the fuzzy control energy management strategy, and increases by 1.48% compared with the filtering-based energy management strategy. The final value of the super-capacitor SOC of the FAFBEMS strategy decreases by 3.66% compared with the rule-based energy management strategy, increases by 3.93% compared with the fuzzy control energy management strategy, and decreases by 3.29% compared with the filtering-based energy management strategy. The energy consumption of the FAFBEMS strategy decreases by 7.8% compared with the rule-based strategy, decreases by 10.9% compared with the fuzzy control strategy, and decreases by 13.1% compared with the filtering-based energy management strategy. The results show that the FAFBEMS strategy can distribute power between the battery and super-capacitor reasonably well, and reduces energy consumption. In addition, the maximum battery current of the FAFBEMS strategy is the smallest, which shows that it can reduce the damage to the battery caused by the high-amplitude current. The effectiveness of the FAFBEMS strategy has been verified.

Figure 13: Change curve of battery SOC

Figure 14: Change curve of super-capacitor SOC

Figure 15: Change curve of energy consumption

In this paper, a super-capacitor was connected in series with a DC/DC converter and connected to a DC bus in parallel with a battery to form a hybrid energy storage system, and a fuzzy adaptive filter-based energy management strategy (FAFBEMS) was proposed to allocate the required power of the vehicle. A vehicle model with the FAFBEMS strategy was built in ADVISOR. The simulation results show that the proposed FAFBEMS strategy performs well in an actual driving cycle, which can protect the battery and reduce energy consumption.
Acknowledgement: The author thanks the anonymous reviewers for their professional reviews and editors for their work as well as LetPub (www.letpub.com) for its linguistic assistance during the preparation of this manuscript.
Funding Statement: This work was supported by the National Natural Science Foundation of China (61673164), the Natural Science Foundation of Hunan Province (2020JJ6024) and the Scientific Research Fund of Hunan Provincal Education Department (19K025).
Conflicts of Interest: The authors declare that they have no conflicts of interest to report regarding the present study.
1. W. W. Liu, Y. Tang, F. Yang, Y. Dou and J. Wang. (2019). “A multi-objective decision-making approach for the optimal location of electric vehicle charging facilities,” Computers, Materials & Continua, vol. 60, no. 2, pp. 813–834. [Google Scholar]
2. X. Z. Zhang, K. X. Wei, X. F. Yuan and Y. Tang. (2016). “Optimal torque distribution for the stability improvement of a four-wheel distributed-driven electric vehicle using coordinated control,” Journal of Computational and Nonlinear Dynamics, vol. 11, no. 5, pp. 28.
3. S. Ahmadi, S. M. T. Bathaee and A. H. Hosseinpour. (2018). “Improving fuel economy and performance of a fuel-cell hybrid electric vehicle (fuel-cell, battery, and ultra-capacitor) using optimized energy management strategy,” Energy Conversion and Management, vol. 160, pp. 74–84. [Google Scholar]
4. X. Z. Zhang and X. L. Zhu. (2019). “Autonomous path tracking control of intelligent electric vehicles based on lane detection and optimal preview method,” Expert Systems with Applications, vol. 121, no. 1, pp. 38–48. [Google Scholar]
5. D. Ali, H. Azeddine, Z. Samir, S. Abdelhakim, F. B. Mohamed et al. (2019). , “Energy management strategy of supercapacitor/fuel cell energy storage devices for vehicle applications,” International Journal of Hydrogen Energy, vol. 44, no. 41, pp. 23416–23428. [Google Scholar]
6. X. Zhang, Y. Wang, G. Liu and X. Yuan. (2016). “Robust regenerative charging control based on T-S fuzzy sliding-mode approach for advanced electric vehicle,” IEEE Transactions on Transportion Electrification, vol. 2, no. 1, pp. 52–65. [Google Scholar]
7. Z. Y. Song, J. Hou, H. Hofmann, J. Li and M. Ouyang. (2017). “Sliding-mode and lyapunov function-based control for battery/supercapacitor hybrid energy storage system used in electric vehicles,” Energy, vol. 122, pp. 601–612. [Google Scholar]
8. H. Jung, H. Wang and T. Hu. (2014). “Control design for robust tracking and smooth transition in power systems with battery/super-capacitor hybrid energy storage devices,” Journal of Power Sources, vol. 267, pp. 566–575. [Google Scholar]
9. X. Rui, J. Y. Cao and Q. Q. Yu. (2018). “Reinforcement learning-based real-time power management for hybrid energy storage system in the plug-in hybrid electric vehicle,” Applied Energy, vol. 211, pp. 538–548. [Google Scholar]
10. Q. Zhang, W. Deng and G. Li. (2018). “Stochastic control of predictive power management for battery/supercapacitor hybrid energy storage systems of electric vehicles,” IEEE Transactions on Industrial Informatics, vol. 14, no. 7, pp. 3023–3030. [Google Scholar]
11. P. Golchoubian and N. L. Azad. (2017). “Real-Time nonlinear model predictive control of a battery-supercapacitor hybrid energy storage system in electric vehicles,” IEEE Transactions on Vehicular Technology, vol. 66, no. 11, pp. 9678–9688. [Google Scholar]
12. M. Choi, S. Kim and S. Seo. (2012). “Energy management optimization in a battery/supercapacitor hybrid energy storage system,” IEEE Transaction on Smart Grid, vol. 3, no. 1, pp. 463–472. [Google Scholar]
13. Z. Y. Chen, R. Xiong and J. Y. Cao. (2016). “Particle swarm optimization-based optimal power management of plug-in hybrid electric vehicles considering uncertain driving conditions,” Energy, vol. 96, pp. 197–208. [Google Scholar]
14. J. Armenta, C. Núnez, N. Visairo and I. Lazaro. (2015). “An advanced energy management system for controlling the ultracapacitor discharge and improving the electric vehicle range,” Journal of Power Sources, vol. 284, pp. 452–458. [Google Scholar]
15. M. Shahverdi, M. S. Mazzola, Q. Grice and M. Doude. (2017). “Bandwidth-based control strategy for a series HEV with light energy storage system,” IEEE Transactions on Vehicular Technology, vol. 66, no. 2, pp. 1040–1052. [Google Scholar]
16. K. Q. Ma, Z. Z. Wang, H. Liu, H. Yu and C. Wei. (2019). “Numerical investigation on fuzzy logic control energy management strategy of parallel hybrid electric vehicle,” Energy Procedia, vol. 158, pp. 2643–2648. [Google Scholar]
17. C. Hou, M. G. Ouyang, L. F. Xu and H. W. Wang. (2014). “Approximate pontryagin’s minimum principle applied to the energy management of plug-in hybrid electric vehicles,” Applied Energy, vol. 115, pp. 174–189. [Google Scholar]
18. T. Liu, Y. Zou, D. Liu and F. Sun. (2015). “Reinforcement learning of adaptive energy management with transition probability for hybrid electric tracked vehicle,” IEEE Transactions on Industrial Electronics, vol. 62, no. 12, pp. 7837–7846. [Google Scholar]
19. X. L. Huang, T. Hiramatsu and H. Y. Hori. (2013). “Energy management strategy based on frequency-varying filter for the battery supercapacitor hybrid system of electric vehicles,” World Electric Vehicle Journal, vol. 6, no. 3, pp. 623–628. [Google Scholar]
![]() | This work is licensed under a Creative Commons Attribution 4.0 International License, which permits unrestricted use, distribution, and reproduction in any medium, provided the original work is properly cited. |