| Computers, Materials & Continua DOI:10.32604/cmc.2022.025741 | ![]() |
| Article |
Hybrid Chaotic Salp Swarm with Crossover Algorithm for Underground Wireless Sensor Networks
1First Department of Computer Science, College of Computer Engineering and Sciences, Prince Sattam Bin Abdulaziz University, Al-Kharj, 11942, Saudi Arabia
2MEDIATRON Lab., SUP'COM, Carthage University, Tunis, 2083, Tunisia
3Department of Computer Science, Faculty of Computers and Informatics, Suez Canal University, Ismailia, 41522, Egypt
4Faculty of Computer Science, Misr International University, Cairo, Egypt
*Corresponding Author: Mariem Ayedi. Email: m.ayedi@psau.edu.sa
Received: 03 December 2021; Accepted: 17 January 2022
Abstract: Resource management in Underground Wireless Sensor Networks (UWSNs) is one of the pillars to extend the network lifetime. An intriguing design goal for such networks is to achieve balanced energy and spectral resource utilization. This paper focuses on optimizing the resource efficiency in UWSNs where underground relay nodes amplify and forward sensed data, received from the buried source nodes through a lossy soil medium, to the aboveground base station. A new algorithm called the Hybrid Chaotic Salp Swarm and Crossover (HCSSC) algorithm is proposed to obtain the optimal source and relay transmission powers to maximize the network resource efficiency. The proposed algorithm improves the standard Salp Swarm Algorithm (SSA) by considering a chaotic map to initialize the population along with performing the crossover technique in the position updates of salps. Through experimental results, the HCSSC algorithm proves its outstanding superiority to the standard SSA for resource efficiency optimization. Hence, the network's lifetime is prolonged. Indeed, the proposed algorithm achieves an improvement performance of 23.6% and 20.4% for the resource efficiency and average remaining relay battery per transmission, respectively. Furthermore, simulation results demonstrate that the HCSSC algorithm proves its efficacy in the case of both equal and different node battery capacities.
Keywords: Underground wireless sensor networks; resource efficiency; chaotic theory; crossover algorithm; salp swarm algorithm
With the precipitous growth of microelectronics and sensing technologies, Wireless Sensor Networks (WSNs) have been categorized as an intense research arena. The outstanding privileges of such networks, including their easy configuration, mobility, and flexibility, lead to their deployment in many environments. UWSNs are an important extension of WSNs applications for use in the underground world. These underground networks have a broad range of applications including tracking coal mining facilities, soil monitoring, and gas/oil pipeline control. In such networks, buried sensors continuously collect sensitive data regarding the sensed environment and forward it to the base station [1]. However, the limited communication range and the energy constraints along with the complex and unpredictable conditions of the underground medium are the primary challenges of UWSNs. Thus, the role of relay nodes is vital in UWSNs because they represent a promising method for achieving high bandwidth and expanding network coverage [2]. In UWSNs, communications among nodes come in three distinct channels: UnderGround-to-AboveGround (UG2AG), UnderGround-to-UnderGround (UG2UG), and AboveGround-to-UnderGround (AG2UG) [3]. The UG2AG channel connection is mainly used to transmit sensed data from buried sensors to relay nodes or aboveground base stations [3–5]. Relay node deployment has been studied in UWSNs [5–8]. In [5], an underground coal mine was divided into separate regions and addressed optimal relay node placement to support robust coverage of the network. In [6], Wu targeted controlling the amount of energy used by underground sensors to map water pipelines through optimal relay placement. In the same way, the optimum relay node location was debated for the goal of extending the network's duration subjected to reducing the load balance and the number of relays [7]. In [8], two approximation algorithms for relay node deployment and assignment to sensor nodes were introduced to reduce transmission loss among nodes. Since high throughput and capacity are critically constrained by nodes energy consumption, research work in WSN focus recently on studying the trade-off between spectral efficiency and energy efficiency metrics called the resource efficiency [9–12]. The primary objective is to jointly evaluate the efficient use of a limited frequency spectrum along with energy consumption. In UWSNs, this problem was first addressed in [13], where optimal powers used by underground sources and relay nodes for data forwarding to an aboveground base station were computed to maximize the energy and spectral efficiency tradeoff. The work [13] proposes a power allocation algorithm that utilizes the Salp Swarm Algorithm (SSA) [14] to solve the considered problem since the swarm intelligence models are interesting for various computer science fields [15,16]. The SSA is suggested in [14] as a recent metaheuristic algorithm which outperforms many other metaheuristic algorithms through tests on 19 different benchmark functions. In nearby research works, SSA proves its efficiency in node localization optimization in WSN [17,18], energy consumption and lifetime optimization in WSN [19]. The work [13] proves that the SSA-based scheme offers a better resource efficiency, given similar bandwidth and battery cost resources, compared with the traditional UWSN scheme. In this paper, we propose to further enhance the resource efficiency of the UWSN considered in [13] by modifying and improving the SSA. A novel algorithm called Hybrid Chaotic Salp Swarm with Crossover (HCSSC) is proposed to determine the optimal powers required by the source and relay nodes that enhance the network resource efficiency considering the initial nodes’ battery capacities. The proposed algorithm uses chaos theory [20] to generate feasible initial solutions. This can enhance the diversity of solutions due to the randomness and dynamic features of the chaos. Moreover, to compute the final optimal solution, a uniform crossover operator [21,22] is integrated in the exploration phase of the optimization algorithm. This leads to accelerated algorithm convergence due to the wide exploration of the search space. The proposed power optimization scheme is evaluated in terms of its effect on the average relay power and battery remaining per transmission. Since the relay node can have a higher battery capacity than the source node, we propose to study the efficiency of the proposed algorithm under both equal and different node capacities.
The main contributions of this work are listed as follows
1. A new algorithm called HCSSC algorithm is proposed to improve the standard SSA by considering a logistic chaotic map to initialize the population and integrating the uniform crossover operator in the update of salps positions.
2. The resource efficiency performance is ameliorated compared to that obtained in the work [13].
3. The average consumed relay power per transmission is minimized and the average remaining relay battery per transmission is maximized.
4. The efficiency of the proposed algorithm is proved in case of both equal and different node batteries capacities.
This paper is structured as follows. In Section 2, the UWSN system model is presented and the considered problem is formulated. In Section 3, the proposed HCSSC algorithm is detailed. In Section 4, the experimental results and performance analysis are discussed, and finally, Section 5 concludes the paper.
2 System Model and Problem Formulation
The considered UWSN model consists of sensor source node S that gathers and forwards sensory data to an aboveground base station B through a half-duplex Amplify-and-Forward (AF) relay node
2.1 UG2UG and UG2AG Channel Model
Both source and relay nodes are buried in the soil in UWSNs. Here, the sensor nodes are buried deeper than the relay nodes according to the ground surface. In Fig. 1, a two-dimensional plane represents UWSN deployment where the nodes distances in the plane using Cartesian coordinates defined on the

Figure 1: The topology of UWSN
According to [23], the UG2UG path loss
where
where
Here, the uplink communication procedure among the trio link is presented. The Time Division Multiple Access (TDMA) scheme is considered to mitigate the signal interference. Each node
In the first phase, the source node S transmits a data packet
such that
Where
With
With respect to Eqs. (4) and (6), the total SNR
The overall paper objective is to determine the power allocation vector
As discussed in [9], the resource efficiency metric
where the weighted factor
For each node X, optimizing the power
Subject to
where
In Eq. (12), the maximization problem presented is considered a NP-hard problem that requires an efficient optimization algorithm to solve it. Therefore, a hybrid meta-heuristic algorithm based on SSA is proposed to obtain optimal values of nodes powers considering the resource efficiency
3 The Proposed HCSSC for Resource Efficiency
In this section, the main structure of the standard Salp Swarm Algorithm (SSA) is first reviewed. Then, the detailed steps of the proposed Hybrid Chaotic Salp Swarm with Crossover (HCSSC) scheme for maximizing the resource efficiency in the considered UWSN are addressed.
3.1 Salp Swarm Algorithm (SSA)
The Salp Swarm Algorithm (SSA) is one of the recent swam algorithms proposed in 2017 [14] and widely used in solving many optimization problems [27,28]. SSA emulates the motion of Salpidae that have a transparent barrel-shaped body and live-in deep oceans [29]. Salps are organized in a form of swarm called salp chain. Mathematically, the salp chain is divided into two groups: leader (i.e., the first salp of the chain and followers (i.e., the remaining salps of the chain which follow the leader). Researchers viewed that their searching for food is an indicator to their behavior [30].
The leader in the swarm updates its position relative to the food source
Where
where l is the current iteration and L is the maximum number of iterations.
The remaining of the salps in the chain (i.e., followers) update their positions based on the Newton's law of motion as in Eq. (15)
With
In the optimization problems, the time is considered as an iteration where the conflict between iterations is equal to 1 and
While the global optimal solution of any optimization problem is unknown, the best solution can be obtained by moving the leader, followed by the followers, towards the food source. As a result, the salp chain moves towards the global optimum. The overall steps of the SSA are described below.

3.2 Hybrid Chaotic Salp Swarm with Crossover (HCSSC) Algorithm for
This subsection discusses the main steps of the proposed HCSSC algorithm to find the optimal source and relay nodes powers for maximizing the resource efficiency
Each salp (i.e.,

Figure 2: HCSSC population

Figure 3: An illustrative example of salp x
The diversity of the initial population has a great impact on spreading effectively in the search space. Therefore, for generating an effective initial population, a chaotic map is used in the proposed algorithm. One of the simplest maps is the logistic map that appears in the nonlinear dynamics of a biological population that evidences the chaotic behavior [31] and it is represented mathematically by Eq. (18).
where

Each variable is bounded within lower and upper values
The resource efficiency optimization can be modelled as an optimization problem with a maximized objective function. Therefore, each individual (i.e., salp) in the population is evaluated according to Eq. (12) and the fittest one is assigned to F.
The first salp in the population is called the leader which is responsible for guiding the salp chain and is continuously updating its position towards the direction of the source food. The rest salps in the population are called the followers because they follow the leader in updating their positions. Leader's and followers’ updates are illustrated below.
• Leader's update
Since the leader updates its position in a positive direction, we ignore the negative direction. Also, the random numbers
• Follower's updates
Each follower

Figure 4: An illustrative example of uniform crossover
In the process of crossover, two parents (
Further,
3.2.4 Test the Termination Condition
The leader and followers are updating their positions iteratively until reaching a maximum number of iterations. Once the HCSSC algorithm reached the termination condition, the global best salp is returned as the best solution so far for the resource efficiency

Figure 5: Flowchart of the proposed HCSSC algorithm
4 Experimental Results and Analysis
This section presents the numerical results illustrating the performance of the proposed HCSSC based power optimization scheme. Simulations are done using MATLAB-R2015a running on Windows 7 with 2 GB RAM memory. Simulation results are obtained by averaging over 1000 channel iterations. We assume that source and relay nodes have equal batteries power capacities

The improvement of the resource efficiency using the proposed HCSSC algorithm,
In order to demonstrate the effectiveness of chaos theory for generating the initial population, a set of experiments have been conducted with various number of individuals, as shown in Fig. 5, for the standard SSA ( i.e., with random initial salp positions) and SSA using chaotic map for initial positions generation with power capacity
Fig. 6 illustrates the convergence of the resource efficiency

Figure 6: Convergence curves of the standard SSA and SSA using chaotic initial positions
To demonstrate the efficiency of using the chaos theory and the crossover operator to achieve a maximum resource efficiency, the proposed HCSSC algorithm has been tested for different number of salps

Figure 7: Convergence curve of the resource efficiency using the HCSSC algorithm
From the figure, the convergence of the proposed algorithm is rapidly obtained for various number of salps to reach the optimal
For a fair comparison, the individuals number involved in the swarm population and the maximum number of iterations are equal for both standard SSA and the proposed HCSSC algorithms. Tab. 2 illustrates the maximum (Max.), minimum (Min.), Average (Avg.) and Standard deviation (Std.) of

In comparison with the traditional SSA based optimization scheme, the proposed HCSSC outperforms it in all evaluated performance measurements. According to Tab. 2, for
Fig. 8 shows the convergence behavior of the resource efficiency using the proposed algorithm HCSSC against the standard SSA, in nodes power optimization, with different number of salps

Figure 8: Convergence curve of HCSSC against standard SSA
With different number of salps, the proposed HCSSC obtains a better
Furthermore, Fig. 9 illustrates the effect of the maximum power permitted for a single transmission

Figure 9: Resource efficiency of HCSSC and SSA vs. the maximum allowed power
Once more, compared to the power optimized SSA scheme, the HCSSC achieves a higher resource efficiency at the same power cost. Indeed, the combination of chaotic map and the cross over operations in the proposed power algorithm improves the search of optimal nodes powers considering the power physical limitations. Hence, the resource efficiency
The average consumed relay power and the average remaining relay battery per transmission for HCSSC and SSA vs.

Figure 10: Average consumed relay energy per transmission (HCSSC and SSA)

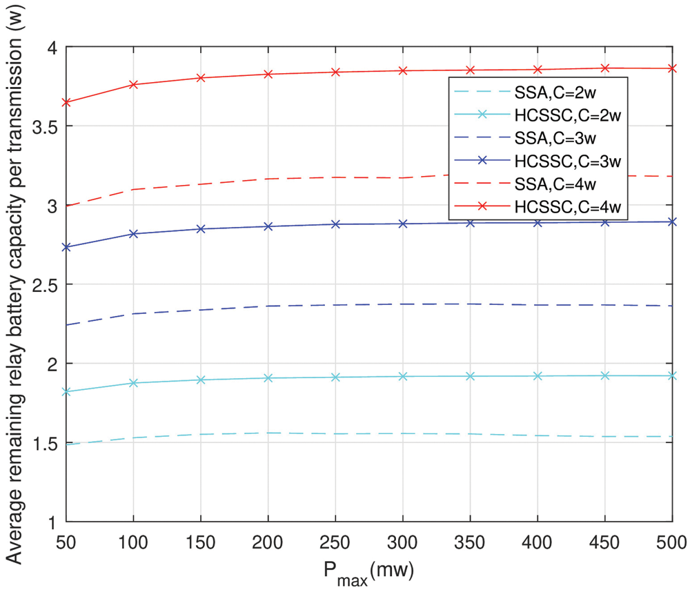
Figure 11: Average remaining relay battery per transmission (HCSSC and SSA)
Clearly, the deployment of HCSSC in nodes powers optimization allows a better relay power conservation since the average consumed relay power per transmission is minimized compared with the standard SSA along with
In Fig. 12, we propose to study the resource efficiency performance in the case where the relay node has a higher battery capacity than the source node and can forward packets considering higher maximum allowed power. In fact, the relay node is expected to consume more power than the source node since it collects data from different sources to forward it to the sink node and, possibly, retransmits lost packets. Interestingly, the proposed algorithm proves its efficiency, not only in the case of equal source and relay batteries capacities, but also in the case of different source and relay batteries capacities as clearly shown in Fig. 12. We assume that

Figure 12: Resource efficiency of HCSSC and SSA for
In some applications, the benefit from of sensor nodes in UWSNs is restricteddue to harsh environmental conditions. For agricultural application for example, authors in [4] mention that if the water volume fraction of the mixture is high (passed 25%), the UG2UG communication link is interrupted specially with some particular soil type whose the capacity to hold the bound water is low. Consequently, the UG2UG communication can be interrupted for a long period in case of a rainfall. Also, for underground mine applications, UG2UG communications may be interrupted in many unpredictable situations such as rock falls or explosions. Moreover, we notice that the base station should implement a powerful operating system to support the additional computing complexity of the HCSSC algorithm.
This paper proposed a Hybrid Chaotic Salp Swarm with Crossover (HCSSC) algorithm for an UWSN to maximize the network resource efficiency. This last is a global metric that jointly considers the energy and the spectral efficiencies to balance the power consumption and the bandwidth usage. The algorithm improves the standard metaheuristic SSA by the use of logistic chaotic map in the generation of the initial population and the deployment of the uniform crossover operator to compute the final solution. At each packet transmission, the HCSSC is applied to provide the optimal source and relay nodes powers considering the remaining nodes batteries capacities constraints. Simulations showed that the integration of the chaotic map in the population initialization and the use of the crossover method in the positions’ updates improved the resource efficiency compared to the standard SSA for different nodes batteries capacities and different maximum allowed powers. Also, the use of the HCSSC algorithm offered a better relay power conservation proved by the minimization of the average consumed relay power per transmission and the maximization of the average remaining relay battery per transmission. Moreover, the efficiency of the proposed algorithm is demonstrated in the case where the relay node has a higher battery capacity than the source node and can forward packets considering higher maximum power. As future work, the efficiency of the proposed HCSSC algorithm in multi-relay UWSN, where many relay nodes cooperate with source nodes to transmit sensory data to the base station, will be addressed. Thus, the impact of the numbers of variables on HCSSC algorithm performance will be effectively studied. Moreover, the impact of the data packet size on the RE performance will be studied.
Funding Statement: The authors received no specific funding for this study.
Conflicts of Interest: The authors declare that they have no conflicts of interest to report regarding the present study.
1. G. Zhou, “Recent advances in wireless underground sensor network,” International Journal of Distributed Sensor Networks, vol. 15, no. 1, pp. 11–21, 2019. [Google Scholar]
2. X. Zhang, A. Andreyev, C. Zumpf, M. C. Negri, S. Guha et al., “A Fully-buried wireless underground sensor network in an urban environment,” in Proc. COMSNETS, Bengaluru, India, pp. 239–250, 2019. [Google Scholar]
3. X. Dong, M. C. Vuran and S. Irmak, “Autonomous precision agriculture through integration of wireless underground sensor networks with center pivot irrigation systems,” Ad Hoc Networks, vol. 11, no. 1, pp. 1975–1987, 2013. [Google Scholar]
4. K. Lin, T. Hao, Z. Yu, W. Zhen and W. He, “A preliminary study of ug2ag link quality in LoRa-based wireless underground sensor networks,” in Proc. LCN, Osnabrueck, Germany, pp. 51–59, 2019. [Google Scholar]
5. N. T. Tam, D. A. Dung, T. H. Hung, H. T. T. Binh and S. Yu, “Exploiting relay nodes for maximizing wireless underground sensor network lifetime,” Applied Intelligence, vol. 50, no. 12, pp. 4568–4585, 2020. [Google Scholar]
6. D. Wu, D. Chatzigeorgiou, K. Youcef-Toumi, S. Mekid and R. Ben-Mansour, “Channel-aware relay node placement in wireless sensor networks for pipeline inspection,” IEEE Transactions on Wireless Communications, vol. 13, no. 7, pp. 3510–3523, 2014. [Google Scholar]
7. B. Yuan, H. Chen and X. Yao, “Optimal relay placement for lifetime maximization in wireless underground sensor networks,” Information Sciences, vol. 418, no. 2, pp. 463–479, 2017. [Google Scholar]
8. R. Sharma and S. Prakash, “Enhancement of relay nodes communication approach in wsn-iot for underground coal mine,” Journal of Information and Optimization Sciences, vol. 41, no. 1, pp. 521–531, 2020. [Google Scholar]
9. J. Tang, D. K. So, E. Alsusa and K. A. Hamdi, “Resource efficiency: A new paradigm on energy efficiency and spectral efficiency tradeoff,” IEEE Transactions on Wireless Communications, vol. 13, no. 8, pp. 4656–4669, 2014. [Google Scholar]
10. L. Wei, R. Q., Hu, Y. Qian and G. Wu, “Energy efficiency and spectrum efficiency of multihop device-to-device communications underlaying cellular networks, “ IEEE Transactions on Vehicular Technology, vol. 65, no. 1, pp. 367–380, 2015. [Google Scholar]
11. J. Tang, D. K. So, E. Alsusa, K. A. Hamdi and A. Shojaeifard, “On the energy efficiency–spectral efficiency tradeoff in mimo-ofdma broadcast channels,” IEEE Transactions on Vehicular Technology, vol. 65, no. 7, pp. 5185–5199, 2015. [Google Scholar]
12. Y. Wu, Y. Chen, J. Tang, D. K. So, Z. Xu et al., “Green transmission technologies for balancing the energy efficiency and spectrum efficiency trade-off,” IEEE Communications Magazine, vol. 52, no. 11, pp. 112–120, 2014. [Google Scholar]
13. M. Ayedi, E. Eldesouky and J. Nazeer, “Energy-spectral efficiency optimization in wireless underground sensor networks using salp swarm algorithm,” Journal of Sensors, vol. 2021, no. 1, pp. 1–16, 2021. [Google Scholar]
14. S. Mirjalili, A. H. Gandomi, S. Z. Mirjalili, S. Saremi, H. Faris et al., “Salp swarm algorithm: A bio-inspired optimizer for engineering design problems,” Advances in Engineering Software, vol. 114, no. 1, pp. 163–191, 2017. [Google Scholar]
15. A. Nayyar, S. Garg, D. Gupta and A. Khanna, in Evolutionary Computation: Theory and Algorithms, 6000 Broken Sound Parkway NW, Suite 300 Boca Raton, FL 33487-2742: Chapman and Hall/CRC Press, 2018. [Online]. Available: https://cutt.ly/IUPfU5Y. [Google Scholar]
16. A. Nayyar, D. N. Le and N. G. Nguyen, in Advances in Swarm Intelligence for Optimizing Problems in Computer Science, 6000 Broken Sound Parkway NW, Suite 300 Boca Raton, FL 33487-2742: Chapman and Hall/CRC Press, 2018. [Online]. Available: https://cutt.ly/nUPft8p. [Google Scholar]
17. H. M. Kanoosh, E. H. Houssein and M. M. Selim, “Salp swarm algorithm for node localization in wireless sensor networks,” Journal of Computer Networks and Communications, vol. 2019, no. 1, pp. 1–12, 2019. [Google Scholar]
18. X. Shi, J. Su, Z. Ye, F. Chen, P. Zhang et al., “A wireless sensor network node location method based on salp swarm algorithm,” in Proc. IDAACS, Metz, France, pp. 357–361, 2019. [Google Scholar]
19. M. A. Syed and R. Syed, “Weighted salp swarm algorithm and its applications towards optimal sensor deployment,” Journal of King Saud University-Computer and Information Sciences, vol. 2019, pp. 1–11, 2019. [Google Scholar]
20. S. E. Jorgensen and B. D. Fath, “Encyclopedia of ecology,” Chaos, 1 A-C, pp. 550–551, 2014. [Google Scholar]
21. G. Syswerda, “Uniform crossover in genetic algorithms,” in Proc. ICGA, San Francisco, CA, United States, pp. 2–9, 1989. [Google Scholar]
22. A. Hussain, Y. S. Muhammad and M. N. Sajid, “An efficient genetic algorithm,” International Journal of Mathematical Sciences and Computing, vol. 4, no. 4, pp. 41–55, 2018. [Google Scholar]
23. M. C. Vuran and I. F. Akyildiz, “Channel model and analysis for wireless underground sensor networks in soil medium,” Physical Communication, vol. 3, no. 4, pp. 245–254, 2010. [Google Scholar]
24. M. C. Dobson, F. T. Ulaby, M. T. Hallikainen and M. A. El-Rayes, “Microwave dielectric behavior of wet soil-part ii: Dielectric mixing models,” IEEE Transactions on Geoscience and Remote Sensing, vol. 1, no. 1985, pp. 35–46, 1985. [Google Scholar]
25. W. E. Patitz, B. C. Brock and E. G. Powell, “Measurement of dielectric and magnetic properties of soil,” Sandia National Labs, 1995. [Google Scholar]
26. X. Dong and M. C. Vuran, “Impacts of soil moisture on cognitive radio underground networks,” in Proc. BlackSeaCom, Batumi, Georgia, pp. 222–227, 2013. [Google Scholar]
27. L. Abualigah, M. Shehab, M. Alshinwan and H. Alabool, “Salp swarm algorithm: A comprehensive survey,” Neural Computing and Applications, vol. 32, no. 15, pp. 11195–11215, 2019. [Google Scholar]
28. W. H. El-Ashmawi and A. F. Ali, “A modified salp swarm algorithm for task assignment problem,” Applied Soft Computing, vol. 94, no. 2020, pp. 106445, 2020. [Google Scholar]
29. L. P. Madin, “Aspects of jet propulsion in salps,” Canadian Journal of Zoology, vol. 68, no. 4, pp. 765–777, 1990. [Google Scholar]
30. P. A. V. Anderson and Q. Bone, “Communication between individuals in salp chains. ii. physiology,” in Proc. of the Royal Society of London. Series B. Biological Sciences, London, vol. 210, no. 1181, pp. 559–574, 1980. [Google Scholar]
31. R. Tang, S. Fong and N. Dey, “Metaheuristics and chaos theory,” Chaos Theory, a, vol. 1, pp. 182–196, 2018. [Google Scholar]
32. P. Kora and P. Yadlapalli, “Crossover operators in genetic algorithms: A review,” International Journal of Computer Applications, vol. 6, no. 1, pp. 1–10, 2017. [Google Scholar]
![]() | This work is licensed under a Creative Commons Attribution 4.0 International License, which permits unrestricted use, distribution, and reproduction in any medium, provided the original work is properly cited. |