| Computers, Materials & Continua DOI:10.32604/cmc.2021.012524 | ![]() |
| Article |
Hydrodynamics and Sensitivity Analysis of a Williamson Fluid in Porous-Walled Wavy Channel
1Department of Mathematics, COMSATS University Islamabad, Abbottabad Campus, 22060, Pakistan
2Department of Mechanical Engineering, College of Engineering Prince Mohammad Bin Fahd University, Al Khobar, 31952, Kingdom of Saudi Arabia
*Corresponding Author: W. A. Khan. Email: wkhan1956@gmail.com
Received: 10 August 2020; Accepted: 14 September 2020
Abstract: In this work, a steady, incompressible Williamson fluid model is investigated in a porous wavy channel. This situation arises in the reabsorption of useful substances from the glomerular filtrate in the kidney. After 80% reabsorption, urine is left, which behaves like a thinning fluid. The laws of conservation of mass and momentum are used to model the physical problem. The analytical solution of the problem in terms of stream function is obtained by a regular perturbation expansion method. The asymptotic integration method for small wave amplitudes and the RK-Fehlberg method for pressure distribution has been used inside the channel. It is demonstrated that the forward flow becomes fast in the narrow region (at x = 0.75), which dominates the upward flow inside the channel. To study the impact of model parameters on outputs, we applied normalized local sensitivity analysis and noticed that the most influential parameter for the longitudinal velocity profile is the dimensionless wave amplitude. The reabsorption parameter is sensitive for transverse velocity in the narrow region, and the Weissenberg number has a strong effect on the pressure inside the channel. Further, the least sensitive parameters for the velocity components and pressure have been identified.
Keywords: Sensitivity analysis; Williamson fluid; regular perturbation method; asymptotic approximation; RK-Fehlberg method; kidney flow
Hydrodynamic in porous ducts (channel/tube) has been receiving the attention of many researchers in recent years because of its significant applications in several biological systems, particularly reabsorption of useful substances in the kidney. The kidney is an organ responsible for maintaining fluid, filtering minerals and regulating the blood pressure inside the several living bodies. The overall fluid inside the bodies is maintained in the functional unit of the kidney known as nephrons. Blood is filtered from glomerular collieries and enters the Bowman’s capsule called glomerular filtrate (GF). This filtrate contains substances, like water, about 95%, and other constituents like sodium
In the literature, the flow of glomerular filtrate in the kidney has been discussed by several researchers. The pioneering work done by Macey [4] has been extended by several researchers assuming that GF behaves like a steady, creeping, incompressible and non-isothermal Newtonian fluid, while the geometry (shape) of the renal tubule is approximated with a straight or wavy channels/tubes [5–10]. In the last few years, Muthu et al. [11–14] studied the hydrodynamics of Newtonian fluid in a wavy channel. They obtained the series solution by assuming a large wavelength and discussed the importance of slope factor on fluid properties. Recently, his work has been extended by Javaria et al. [15], Farooq et al. [16] with assuming slip and magnetic field effects. In previous articles, there is a lack of information regarding the non-Newtonian nature of the GF, and only the Newtonian fluid model was taken into account.
The flow of GF inside the kidney is complex, and there are various non-Newtonian fluid models that are accepted as biological fluids. Williamson’s model is one in which the apparent viscosity varies gradually [17]. This model is characterized by shear thinning property, and several researchers have studied this model in peristalsis flow. Peristalsis flow of the Williamson model in the symmetric or asymmetric channel was studied by Nadeem et al. [18], and they reported that for small Williamson parameters, flow behaves like a Newtonian fluid. Later on, Akbar et al. [19] also studied the peristaltic flow of a Williamson fluid in an inclined asymmetric channel with partial slip. They found that with the rise in the Williamson parameter, the pressure decreases inside the channel. His work was extended by Nadeem et al. [20] with partial slip and heat transfer. They found that temperature decreases with increasing the Williamson parameter. Vajravelu et al. [21] studied the peristaltic flow of a Williamson fluid in asymmetric channels with leaky walls. They noted that the size of the trapped bolus decreases and its symmetry disappears for large values of the permeability parameter. Williamson fluid flow model is also analyzed by Akbar et al. [22,23] in stenosed arteries with porous walls. They also discussed the chemical reaction and heat transfer rate of Williamson fluid through a tapered artery with stenosis.
Within this work, a steady, incompressible Williamson fluid model in a porous wavy channel is investigated/developed, and normalized sensitivity analysis is performed. In a normalized local sensitivity analysis, the impact of a single model parameter is studied at a time on all output variables. Several researchers used this analysis in different biological engineering problems [24–28]. As mentioned in the previous paragraphs, that flow of GF inside the kidney is complex, and after the reabsorption of useful substances, its nature becomes thin to make the urine. Also, involved parameters in the model intended to simulate the uncertainty in the output. The main objective of this study is to investigate hydrodynamics and the impact of influential parameters on shear-thinning fluid (Williamson fluid) flow in a porous wavy channel having relevance with the flow of urine in the kidney. It is believed that this work is not published so far, and it will provide a good foundation and specialist knowledge in the field of analyzing the flow characteristics in the kidneys.
This paper is arranged as follows: Basic equations governing the flow of incompressible Williamson fluid inside the wavy porous walled channel are given in Section 2. Approximate solutions are obtained by using the Perturbation method in Section 3. Also, pressure distribution inside the channel is obtained by both asymptotic approximation of integration technique and numerically by the Runge-Kutta-Fehlberg method using MatLab. In Section 4, the effects of involved parameters are briefly discussed with the help of graphs and streamlines. A sensitivity analysis is performed in Section 5. Finally, the conclusion of the present study is presented in the last section.
Let us consider the flow of incompressible Williamson fluid in a porous walled wavy channel, with entrance flow rate Q0 and entrance pressure P0. The flow rate decays exponentially along the channel. The geometry of the problem is described in Fig. 1. The wall profile is defined as
in which d is half-height of the channel at the entrance region,

Figure 1: Geometry of the problem
The equations governing the flow of a Williamson fluid in the wavy channel are
where
in which
Here
If
where u and v are the velocity components, p is hydrodynamics pressure and
Eq. (11) shows the tangential velocity at the walls, while Eq. (13) shows the flow rate inside the channel, Q0 is the flow rate at x = 0, w is the width of the channel, and
and considering
where the stress and strain tensors are defined by
The boundary conditions are
where
From Eq. (25), it is noticed that pressure depends on x only. Eliminating the pressure term from Eqs. (24) and (25), yield
and the boundary conditions are
where
Since Eq. (26) is a nonlinear partial differential equation, its exact solution is not possible; therefore, we chose the standard power series of the forms
where the coefficient functions
The coefficients of zeroth order are equated on both sides of Eq. (26) to get
and the boundary conditions
The solution of Eqs. (31)–(33) is obtained as
Using Eq. (36) in Eq. (33), we find
Eqs. (36) and (37) contains the effects of flow rate
The first-order problem is obtained by equating the power of We1, we get
with boundary conditions
The solution of the Eq. (35) with boundary conditions (36), (37) is
using Eqs. (36) and (42) in Eq. (39), we get
Using Eqs. (36) and (42) in Eq. (30), the expression for stream function becomes
The zeroth-order solution of Muthu et al. [11] can be retrieved when
To get the expression for pressure with boundary condition,
an exact solution for pressure cannot be obtained. Approximate solutions of Eq. (45) with boundary condition (46) are obtained by asymptotic approximation of integration technique for
The expression for pressure in term of elementary functions, using an asymptotic approximation of integration technique for
where,
which depends upon
Graphical behavior of velocity components, pressure distribution, and stream function are observed for different Weissenberg numbers We, reabsorption parameter
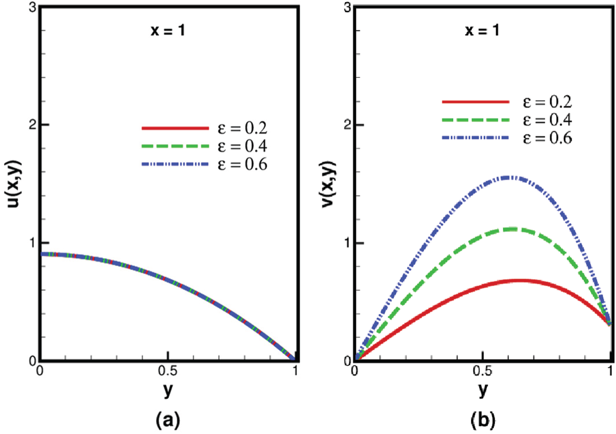
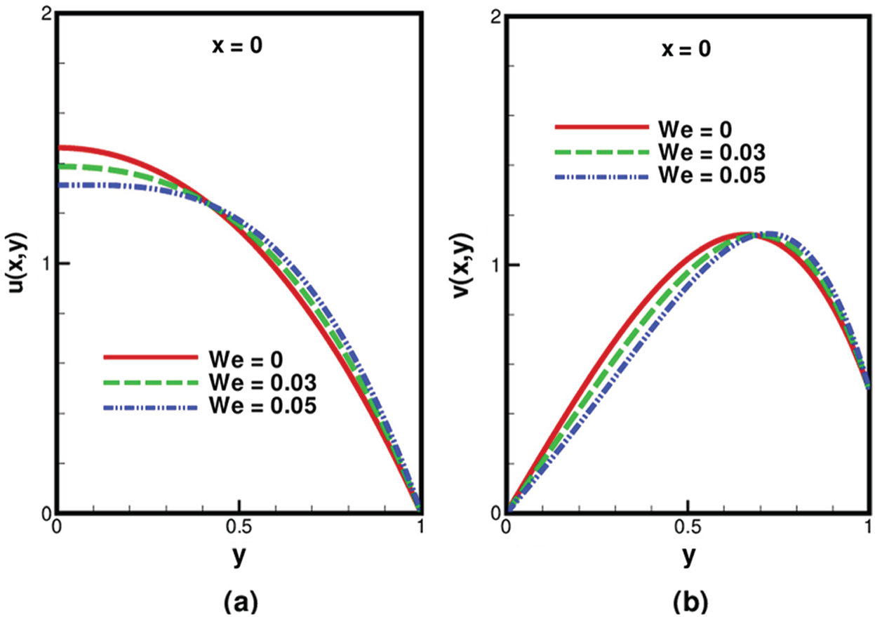
In Figs. 2 and 3, the effects of We on both the components of velocity, i.e., longitudinal and transverse are studied at the entrance x = 0 and exit x = 1 of the channel. Fig. 2a indicates that at the centerline, longitudinal velocity decreases by increasing the magnitude of We, while due to the wall friction, the opposite nature of fluid flow is noticed near the walls. Similarly, transverse velocity increases by increasing We near the wall while near the centerline, it decreases due to the rise in pressure drop, see Fig. 2b.
At the exit region, both components of velocity have the same nature as that of the entrance region, see Figs. 2 and 5. It is observed that the dimensionless velocity at the entrance (
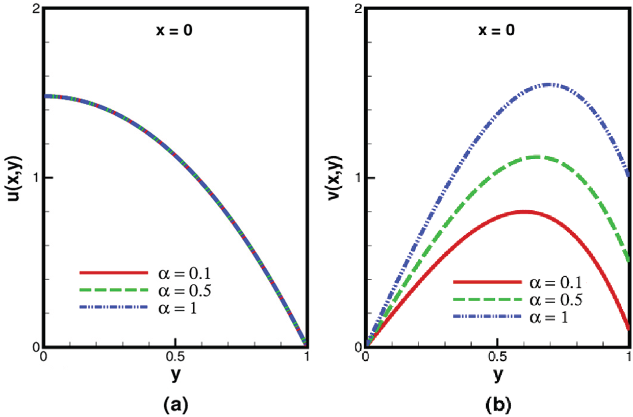
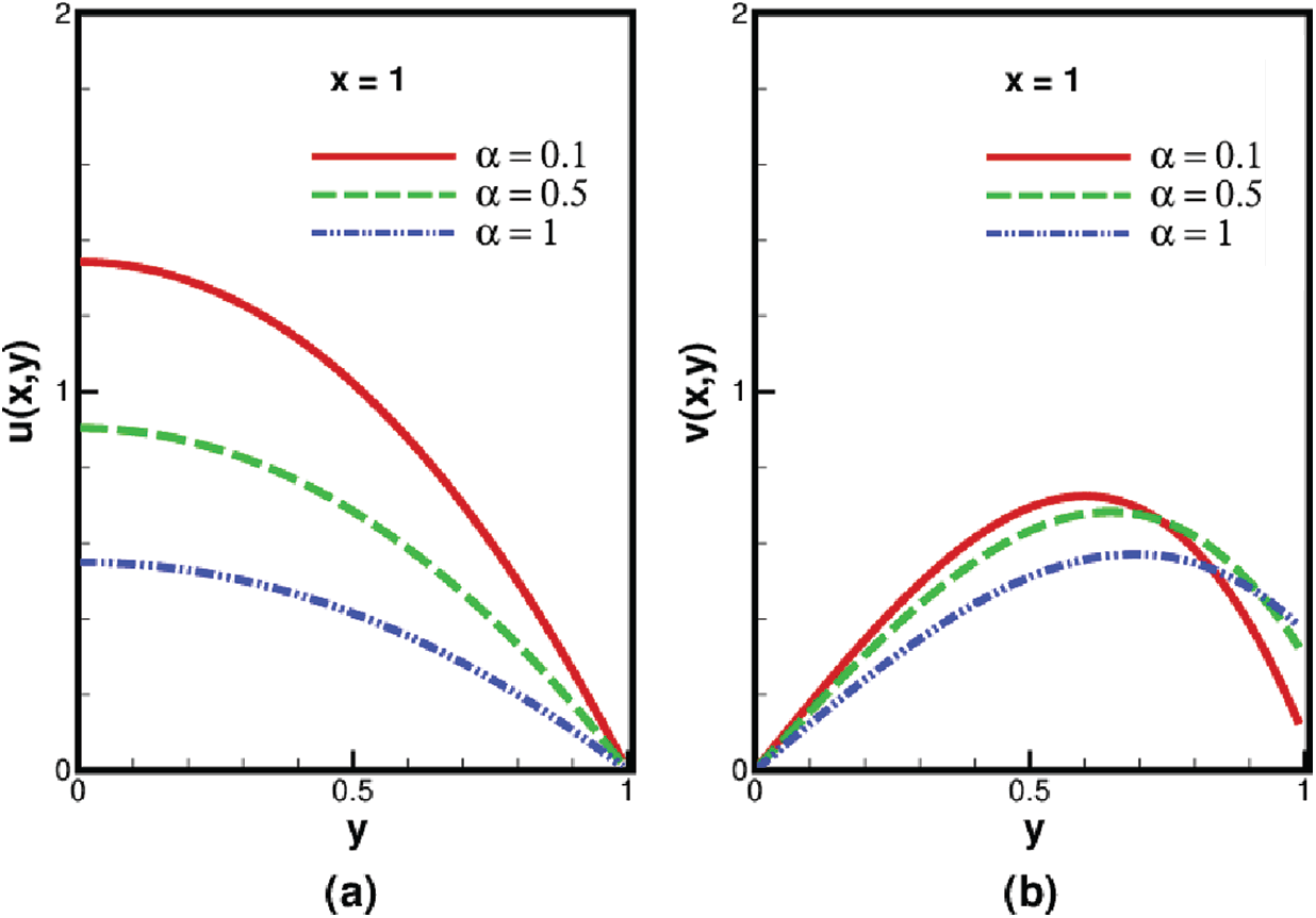
Figs. 4 and 5 illustrate the variations of the reabsorption parameter
The variation of

Figure 2: Variation of We on (a) longitudinal velocity (b) transverse velocity inside the channel at the entrance, when

Figure 3: Variation of We on (a) longitudinal velocity (b) transverse velocity inside the channel at the exit, when

Figure 4: Variation of

Figure 5: Variation of
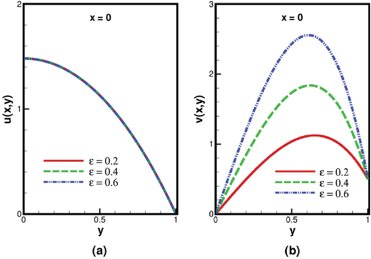
The variation of

Figure 6: Variation of

Figure 7: Variation of (a) longitudinal velocity, and (b) transverse velocity with
Figs. 8a–8c illustrate the variation of We,
Finally, Figs. 9–11 are plotted to examine the influence of the pertinent parameters such as We,

Figure 8: Variation of pressure inside the channel with (a) We when

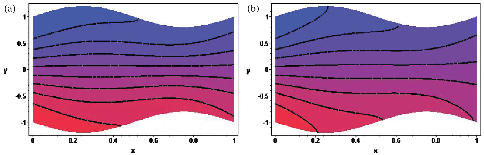
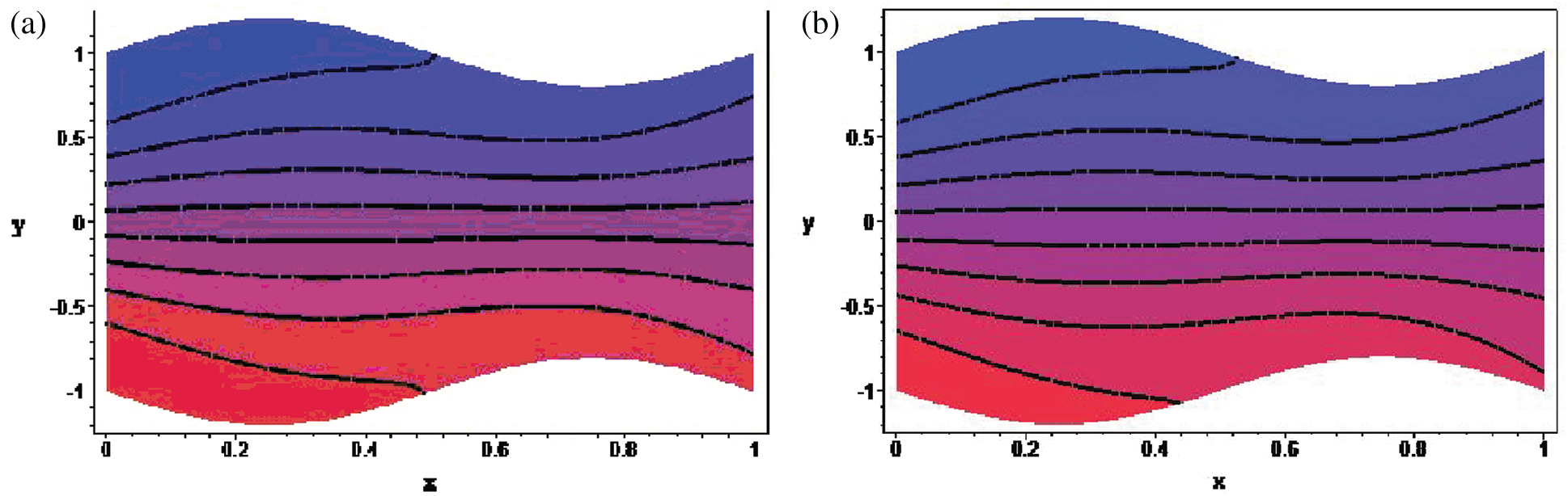
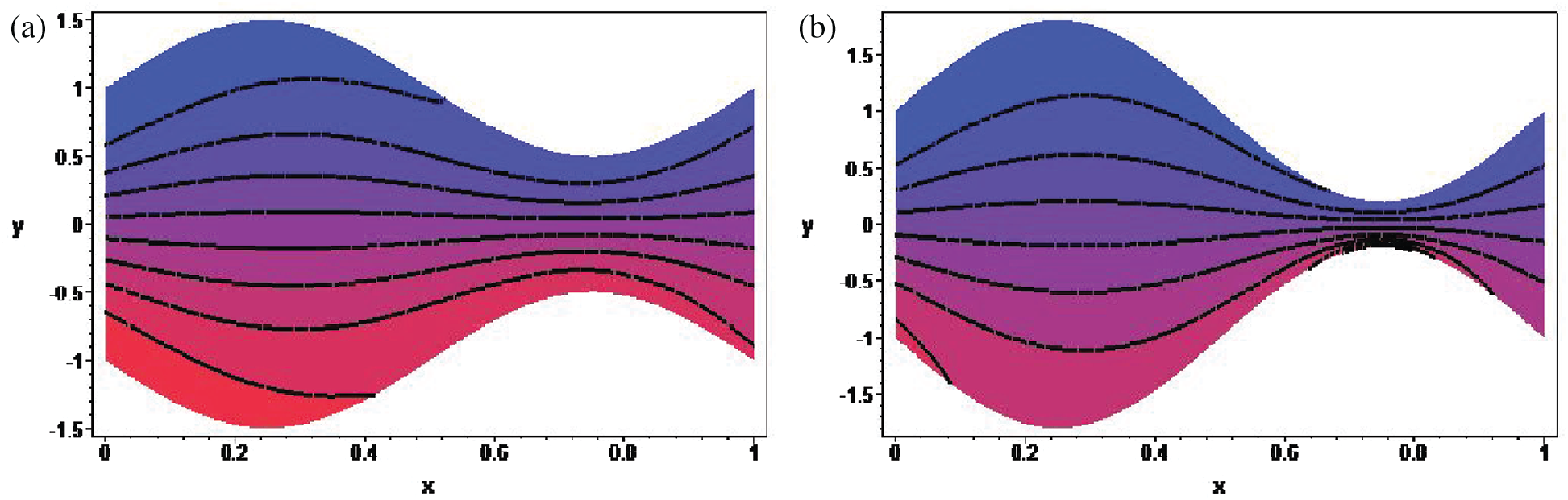
Figure 9: Streamline pattern inside the channel for (a) We = 0.01 and (b) We = 0.05 with fixed
The foregoing discussion reveals that the parameters We,

Figure 10: Streamline pattern inside the channel for (a)

Figure 11: Streamline pattern inside the channel for (a)
Sensitivity analysis is the method in which we study the impact of model parameters (input quantities of interest, QoI) on output variables (output quantities of interest, QoI). In this study, the input QoI are We,
Table 1: Sensitivity analysis of crucial parameters in the narrow region of the channel

where Sij is the sensitivity indices for ith model outputs with respect to jth input parameters, n is the mesh size and N is the magnitude of sensitivity. Tab. 1 shows the results of the sensitivity of longitudinal velocity for the fixed values of

Figure 12: Sensitivity analysis results of (a) longitudinal velocity, (b) transverse velocity in the narrow region, and (c) pressure inside the channel
A mathematical model has been developed for the flow and sensitivity analysis of Williamson fluid in a porous wavy channel. The nonlinear PDEs are reduced by using the stream function and are solved by a regular perturbation method. An asymptotic integral method for small wave amplitude has been used to get the pressure in terms of elementary function. In contrast, the RK-Fehlberg method is used to get the numerical solution for the pressure in the channel. The sensitivity analysis is used to quantify the effects of input parameters on model outputs, such as velocity components and pressure inside the channel. The essential conclusions of this study are summarized below:
1. The flow becomes fast in the narrow region, which dominates the upward flow.
2. The pressure decays along the channel.
3. The velocity profile is higher at the entrance as compared to the exit region of the channel.
4. For longitudinal velocity in the narrow region, the dimensionless amplitude is the most influential parameter, and the Weissenberg number is the least essential parameter.
5. The reabsorption parameter is sensitive to the transverse velocity at the narrow region of the channel.
6. In case of pressure, the Weissenberg number is the most influential parameter, while the reabsorption parameter shows less sensitivity.
7. The significant impact of velocity components is found at the wall of the channel.
Funding Statement: The author(s) received no specific funding for this study.
Conflicts of Interest: The authors declare that they have no conflicts of interest to report regarding the present study.
1. E. H. Starling, “The glomerular functions of the kidney,” Journal of Physiology, vol. 24, no. 3–4, pp. 317–330, 1899. [Google Scholar]
2. D. M. William, B. Satvat and J. M. Jamieson, “Theoretical model for glomerular filtration of charged solutes,” American Journal of Physiology-Renal Physiology, vol. 238, no. 2, pp. F126–F139, 1980. [Google Scholar]
3. P. Chaturani and R. Ponnalagar Samy, “A study of non-Newtonian aspects of blood flow through stenosed arteries and its applications in arterial diseases,” Biorheology, vol. 22, no. 6, pp. 521–531, 1985. [Google Scholar]
4. I. R. Macey, “Pressure flow patterns in a cylinder with reabsorbing walls,” Bulletin of Mathematical Biophysics, vol. 25, no. 1, pp. 1–9, 1963. [Google Scholar]
5. A. A. Kozinski, F. P. Schmidt and E. N. Lightfoot, “Velocity profiles in porous-walled ducts,” Industrial and Engineering Chemistry Fundamentals, vol. 9, no. 3, pp. 502–505, 1970. [Google Scholar]
6. R. Macey, “Hydrodynamics in the renal tubule,” Bulletin of Mathematical Biophysics, vol. 27, no. 2, pp. 117–124, 1965. [Google Scholar]
7. E. A. Marshall and E. A. Trowbridge, “Flow of a Newtonian fluid through a permeable tube: The application to the proximal renal tubule,” Bulletin of Mathematical Biology, vol. 36, no. 5–6, pp. 457–476, 1974. [Google Scholar]
8. G. Radhakrishnamacharya, P. Chandra and M. R. Kaimal, “A hydrodynamical study of the flow in renal tubules,” Bulletin of Mathematical Biology, vol. 43, no. 2, pp. 151–163, 1981. [Google Scholar]
9. E. A. Marshall and E. A. Trowbridge, “A mathematical model of the ultra-filtration process in a single glomerular capillary,” Journal of Theoretical Biology, vol. 48, no. 2, pp. 389–412, 1974. [Google Scholar]
10. A. M. Siddiqui, T. Haroon and A. Shahzad, “Hydrodynamics of viscous fluid through porous slit with linear absorption,” Applied Mathematics and Mechanics, vol. 37, no. 3, pp. 361–378, 2016. [Google Scholar]
11. P. Muthu and T. Berhane, “Flow through nonuniform channel with permeable wall and slip effect,” Special Topics and Reviews in Porous Media: An International Journal, vol. 3, no. 4, pp. 321–328, 2012. [Google Scholar]
12. P. Muthu and T. Berhane, “Fluid flow in a rigid wavy nonuniform tube: Application to flow in renal tubules,” APRN Journal of Engineering and Applied Sciences, vol. 5, no. 1, pp. 15–21, 2010. [Google Scholar]
13. P. Muthu and T. Berhane, “Fluid flow in asymmetric channel,” Tamkang Journal of Mathematics, vol. 42, no. 2, pp. 149–162, 2011. [Google Scholar]
14. P. Muthu and M. Varunkumar, “Mathematical model of flow in a doubly constricted permeable channel with effect of slip velocity,” Journal of Applied Nonlinear Dynamics, vol. 8, no. 4, pp. 655–666, 2019. [Google Scholar]
15. J. F. Javaria, J. D. Chung, M. Mushtaq, D. Lu, M. Ramazan et al., “Influence of slip velocity on the flow of viscous fluid through a porous medium in a permeable tube with a variable bulk flow rate,” Results in Physics, vol. 11, no. 12, pp. 861–868, 2018. [Google Scholar]
16. J. Farooq, M. Mushtaq, S. Munir, M. Ramzan, J. D. Chung et al., “Slip flow through a nonuniform channel under the influence of transverse magnetic field,” Scientific Reports, vol. 8, no. 1, pp. 131–137, 2018. [Google Scholar]
17. S. Nadeem and S. Akram, “Peristaltic flow of a Williamson fluid in an asymmetric channel,” Communications in Nonlinear Science and Numerical Simulation, vol. 15, no. 7, pp. 1705–1716, 2010. [Google Scholar]
18. S. Nadeem and S. Akram, “Influence of inclined magnetic field on peristaltic flow of a Williamson fluid model in an inclined symmetric or asymmetric channel,” Mathematical and Computer Modelling, vol. 52, no. 1–2, pp. 107–119, 2010. [Google Scholar]
19. N. S. Akbar, T. Hayat, S. Nadeem and S. Obaidat, “Peristaltic flow of a Williamson fluid in an inclined asymmetric channel with partial slip and heat transfer,” International Journal of Heat and Mass Transfer, vol. 55, no. 7–8, pp. 1855–1862, 2012. [Google Scholar]
20. S. Nadeem and S. Akram, “Influence of inclined magnetic field on peristaltic flow of a Williamson fluid model in an inclined symmetric or asymmetric channel,” Mathematical and Computer Modelling, vol. 52, no. 1–2, pp. 107–119, 2010. [Google Scholar]
21. K. Vajravelu, S. Sreenadh, K. Rajanikanth and C. Lee, “Peristaltic transport of a Williamson fluid in asymmetric channels with permeable walls,” Nonlinear Analysis: Real World Applications, vol. 13, no. 6, pp. 2804–2822, 2012. [Google Scholar]
22. N. S. Akbar, S. Nadeem and C. Lee, “Influence of heat transfer and chemical reactions on Williamson fluid model for blood flow through a tapered artery with a stenosis,” Asian Journal of Chemistry, vol. 24, no. 6, pp. 2433–2441, 2012. [Google Scholar]
23. N. S. Akbar, S. U. Rahman, R. Ellahi and S. Nadeem, “Blood flow study of Williamson fluid through stenosed arteries with permeable walls,” European Physical Journal Plus, vol. 129, no. 11, pp. 1–10, 2014. [Google Scholar]
24. R. Gul and S. Shahzadi, “Beat-to-beat sensitivity analysis of human systemic circulation coupled with the left ventricle model of the heart: A simulation-based study,” European Physical Journal Plus, vol. 134, no. 7, pp. 1–23, 2017. [Google Scholar]
25. R. Gul, A. Shahzad and M. Zubair, “Application of 0D model of blood flow to study vessel abnormalities in the human systemic circulation: An in-silico study,” International Journal of Biomathematics, vol. 11, no. 8, pp. 1850106, 2018. [Google Scholar]
26. R. Gul, N. Shaheen and A. Shahzad, “Personalized mathematical model of human arm arteries with inflow boundary condition,” European Physical Journal Plus, vol. 135, no. 1, pp. 1–14, 2020. [Google Scholar]
27. H. Yuan, B. Suki and K. R. Lutchen, “Sensitivity analysis for evaluating nonlinear models of lung mechanics,” Annals of Biomedical Engineering, vol. 26, no. 2, pp. 230–241, 1998. [Google Scholar]
28. C. Thamrin, Z. T. Cindy, J. A. Rachel, A. Collins, P. D. Sly et al., “Sensitivity analysis of respiratory parameter estimates in the constant-phase model,” Annals of Biomedical Engineering, vol. 32, no. 6, pp. 815–822, 2004. [Google Scholar]
29. A. W. Bush, Perturbation Methods for Engineers and Scientists. England, UK: Routledge, 2018. [Google Scholar]
30. V. D. Milton, Perturbation Methods in Fluid Mechanics. New York: Parabolic Press, 1975. [Google Scholar]
![]() | This work is licensed under a Creative Commons Attribution 4.0 International License, which permits unrestricted use, distribution, and reproduction in any medium, provided the original work is properly cited. |