| Computers, Materials & Continua DOI:10.32604/cmc.2021.013971 | ![]() |
| Article |
Kumaraswamy Inverted Topp–Leone Distribution with Applications to COVID-19 Data
1Faculty of Graduate Studies for Statistical Research, Cairo University, Giza, 12613, Egypt
2Faculty of Business Administration, Delta University of Science and Technology, Mansoura, 35511, Egypt
3High Institute for Management Sciences, Belqas, 35511, Egypt
*Corresponding Author: Ehab M. Almetwally. Email: ehabxp_2009@hotmail.com
Received: 30 August 2020; Accepted: 17 October 2020
Abstract: In this paper, an attempt is made to discover the distribution of COVID-19 spread in different countries such as; Saudi Arabia, Italy, Argentina and Angola by specifying an optimal statistical distribution for analyzing the mortality rate of COVID-19. A new generalization of the recently inverted Topp Leone distribution, called Kumaraswamy inverted Topp–Leone distribution, is proposed by combining the Kumaraswamy-G family and the inverted Topp–Leone distribution. We initially provide a linear representation of its density function. We give some of its structure properties, such as quantile function, median, moments, incomplete moments, Lorenz and Bonferroni curves, entropies measures and stress-strength reliability. Then, Bayesian and maximum likelihood estimators for parameters of the Kumaraswamy inverted Topp–Leone distribution under Type-II censored sample are considered. Bayesian estimator is regarded using symmetric and asymmetric loss functions. As analytical solution is too hard, behaviours of estimates have been done viz Monte Carlo simulation study and some reasonable comparisons have been presented. The outcomes of the simulation study confirmed the efficiencies of obtained estimates as well as yielded the superiority of Bayesian estimate under adequate priors compared to the maximum likelihood estimate. Application to COVID-19 in some countries showed that the new distribution is more appropriate than some other competitive models.
Keywords: Kumaraswamy-G family; maximum likelihood; Bayesian method; COVID-19; moments; quantile function; stress-strength reliability
The inverted distributions are of great importance due to their applicability in many fields like; biological sciences, life testing problems, etc. The density and hazard rate shapes of inverted distributions exhibit dissimilar structure than matching the non-inverted distributions. Applications of inverted distributions have been discussed with various researchers, so the reader can refer to [1–8] among others.
Recently, [9] provided the inverted Topp–Leone (ITL) distribution with the following probability density function (pdf)
where,
Extensions and generalizations of probability distributions have been regarded by many researchers to enhance flexibility in modelling variety of data in many fields. A well-notable family of adding parameters is the Kumaraswamy-G (K-G) proposed in [10]. They defined the cdf and the pdf of K-G as follows:
and,
where G(x), and g(x) are the baseline cdf and pdf,
In this work, we provide and study a generalization of ITL model, the so called Kumaraswamy inverted Topp–Leone (KITL) distribution. Using (2) in (4), the cdf of KITL distribution is
where,
The KITL density function can exhibit different behavior for different parameters values (Fig. 1).

Figure 1: Density function of the KITL distribution
The hazard rate function of KITL distribution is given as follows
Plots of the hazard rate function (hrf) of KITL distribution for specific values of parameters are shown in Fig. 2. We conclude that the hrf of KITL distribution has the increasing, decreasing and upside-down shape.

Figure 2: The hrf of the KITL distribution
We are motivated to suggest the KITL model according to: (a) Produce new useful form of ITL with three parameters; (b) discuss several statistical properties (c) introduce more flexible model with decreasing, increasing, and upside-down hazard rate shapes; (d) able to model the COVID-19 data, in Saudi Arabia, Italy, Argentina and Angola, than some other distributions. This article is addressed as follows. Section 2 deals with some important properties. Maximum likelihood (ML) and Bayesian estimators of parameters in presence of Type II censored (T2C) samples are given in Sections 3 and 4 respectively. Monte Carlo simulation is provided in Section 5. Analysis to COVID-19 data sets is carried in Section 6, and conclusions are presented in Section 7.
2 Significant Statistical Measures
Here, some significant properties of KITL distribution, specifically, linear representation of the pdf, quantile function, moments, Rényi and
Here, an important mathematical formula of KITL distribution is provided. Consider the binomial theorem
in the pdf (7), we obtain
Again, employ the binomial expansion in (10), then
where,
2.2 Quantile Function and Median
The KITL distribution is easily simulated by inverting (6) as follows: If U has a uniform distribution on (0, 1), then Z can be obtained from
The nth moment for KITL distribution about zero is given by using pdf (11) as follows
which gives
where,
Table 1: Some moments values of the KITL distribution

2.4 Incomplete and Conditional Moments
The rth incomplete moment, say
where
The Lorenz and Bonferroni curves are useful applications of the first incomplete moment defined by
Here, we obtain Rényi and
where,
where,
Substituting (18) in (17), then we obtain the Rényi entropy of KITL distribution as follows:
The
The
2.6 Stress-Strength Reliability
The stress-strength reliability (SSR) is defined as the probability that the system is strong frequently to beat the stress applied on it. Consider that X1 and X2 are independent stress and strength random variables following the KITL
Using (6) and (7) in (22), then we get
Using the binomial expansion in last equation and after simplification we have
3 Maximum Likelihood Estimation
Here, the ML estimators of the model parameters are determined via T2C scheme. Let
The ML estimators of parameters are determined by solving the non-linear Eqs. (26)–(28).
Here, we discuss the Bayesian estimation of the parameters of the KITL distribution. The Bayesian estimator is considered under squared error (SE) loss function which can be defined as;
and linear exponential (LINEX) loss function which can be expressed as
where h reflects the direction and degree of asymmetry.
Assuming that the prior distribution of
Based on the following likelihood function of the KITL distribution
and the joint prior density (31), the joint posterior of the KITL distribution with parameters
Then the joint posterior can be written as
To obtain the Bayesian estimators, we can use the Markov Chain Monte Carlo (MCMC) approach. An important sub-class of the MCMC techniques is Gibbs sampling and more general Metropolis within Gibbs samplers. The Metropolis-Hastings (M-H) algorithm together with the Gibbs sampling are the two most popular example of a MCMC method. It’s similar to acceptance rejection sampling, the M-H algorithms consider that, to each iteration of the algorithm, a candidate value can be generated from the KITL distributions. We use the M-H within Gibbs sampling steps to generate random samples from conditional posterior densities of
and
The Bayesian estimates based on SE and LINEX loss functions are obtained in simulation section. For more information, please see as an example [11–13].
A simulation study for KITL model is conducted for samples of sizes n = 20, 50, 100 and the parameters are estimated under complete and T2C samples. The number of failure items; r, is selected for two levels of censoring (LC), as 70% and 90%. 10000 iterations are made to compute the ML estimate (MLE), bias and mean square error (MSE). The observed outcomes are listed in Tabs. 2–4.
Table 2: Bias and MSE of the MLE and Bayesian estimate for KITL model for complete sample

Table 3: Bias and MSE of the MLE and Bayes estimate for KITL model under T2C at

Table 4: Bias and MSE of the MLE and Bayes estimate for KITL model under T2C at

From the above tables, we conclude the following
i) As the sample size n increases, the bias decreases.
ii) As the sample size n increases, the MSE decreases.
iii) As the value of
iv) As the value of
v) As the value of
vi) As the level of censoring increases, the bias and MSE decrease.
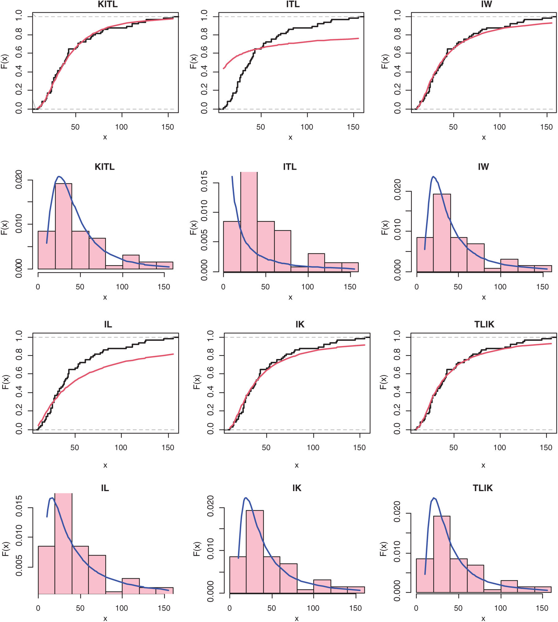
In this section, the KITL distribution is fitted to more famous fields of survival times of COVID-19 data with different country including Saudi Arabia, Italy, Argentina, Angola as well as March precipitation data. The data are available at https://covid19.who.int/. Reference [14] used this link to find data of COVID-19 for Egypt. Reference [15] used a deep neural network approach to train networks for estimating the optimal parameters of an SIR model endemicity of COVID-19 in Spain. The KITL model is compared with other some competitive models as, ITL, inverse Weibull (IW), inverse Lomax (IL), inverse Kumaraswamy (IK) and Topp Leone inverted Kumaraswamy (TLIK) distributions (see [16]).
Tabs. 5–9 provide values of Cramér–von Mises (
Table 5: MLE and statistical measures for COVID-19 data in Argentina

Table 6: MLE and statistical measures for COVID-19 data in Saudi Arabia country

Table 7: MLE and statistical measures for COVID-19 data in Italy country

Table 8: MLE and statistical measures for COVID-19 data in Angola

Table 9: MLE and statistical measures for March precipitation data


Figure 3: The histogram and estimated cdf for all models of COVID-19 in Argentina country

Figure 4: The histogram and estimated cdf for all models of COVID-19 in Saudi Arabia country

Figure 5: The histogram and estimated cdf for all models of COVID-19 in Italy

Figure 6: The histogram and estimated cdf for all models of COVID-19 in Angola

Figure 7: CDF and PDF for different distribution for March precipitation data
The following COVID-19 data represent the daily new deaths which belong to Argentina in 65 days recorded from 1 June to 4 August 2020: 20, 11, 19, 10, 18, 27, 27, 14, 14, 28, 19, 24, 31, 30, 17, 23, 20, 24, 43, 25, 25, 13, 24, 33, 36, 39, 43, 25, 25, 28, 38, 27, 53, 40, 50, 37, 33, 79, 52, 53, 42, 38, 31, 41, 67, 61, 85, 61,71, 42, 35, 145, 80, 111, 105, 125, 66, 43, 126, 118, 111, 155, 77, 69, and 55.
Tab. 5 gives the MLEs, SEs and the statistics measures for all models. Tab. 5 shows that the KITL model gives the smallest values for the K-S,
Furthermore, we plot the histogram, estimated pdf plots for all models for data of Argentina in Fig. 3.
The following COVID-19 data belong to Saudi Arabia in 109 days recorded from 17 April to 4 August 2020 (data of daily new cases): 762, 1088, 1122, 1132, 1141, 1147, 1158, 1172, 1197, 1223, 1258, 1266, 1289, 1325, 1344, 1351, 1357, 1362, 1552, 1573, 1581, 1595, 1618, 1629, 1644, 1645, 1686, 1687, 1701, 1704, 1759, 1793, 1815, 1869, 1877, 1881, 1897, 1905, 1911, 1912, 1931, 1966, 1968, 1975, 1993, 2039, 2171, 2201, 2235, 2238, 2307, 2331, 2378, 2399, 2429, 2442, 2476, 2504, 2509, 2532, 2565, 2591, 2593, 2613, 2642, 2671, 2691, 2692, 2736, 2764, 2779, 2840 2852, 2994, 3036, 3045, 3121, 3123, 3139, 3159, 3183, 3288, 3366, 3369, 3372, 3379, 3383, 3392, 3393, 3402, 3580, 3717, 3733, 3921, 3927, 3938, 3941, 3943, 3989, 4128, 4193, 4207, 4233, 4267, 4301, 4387, 4507, 4757, 4919.
Tab. 6 gives the MLEs, SEs and the statistics measures for all models for Saudi Arabia data. We conclude that the KITL is an adequate model for these data compared to other models.
Furthermore, the histogram and estimated cdf plots for all models for data of Saudi Arabia are plotted in Fig. 4.
The considered COVID-19 data belong to Italy of 111 days that are recorded from 1 April to 20 July 2020. This data formed of daily new deaths divided by daily new cases. The data are as follows: 0.2070, 0.1520, 0.1628, 0.1666, 0.1417, 0.1221, 0.1767, 0.1987, 0.1408, 0.1456, 0.1443, 0.1319, 0.1053, 0.1789, 0.2032, 0.2167, 0.1387, 0.1646, 0.1375, 0.1421, 0.2012, 0.1957, 0.1297, 0.1754, 0.1390, 0.1761, 0.1119, 0.1915, 0.1827, 0.1548, 0.1522, 0.1369, 0.2495, 0.1253, 0.1597, 0.2195, 0.2555, 0.1956, 0.1831, 0.1791, 0.2057, 0.2406, 0.1227, 0.2196, 0.2641, 0.3067, 0.1749, 0.2148, 0.2195, 0.1993, 0.2421, 0.2430, 0.1994, 0.1779, 0.0942, 0.3067, 0.1965, 0.2003, 0.1180, 0.1686, 0.2668, 0.2113, 0.3371, 0.1730, 0.2212, 0.4972, 0.1641, 0.2667, 0.2690, 0.2321, 0.2792, 0.3515, 0.1398, 0.3436, 0.2254, 0.1302, 0.0864, 0.1619, 0.1311, 0.1994, 0.3176, 0.1856, 0.1071, 0.1041, 0.1593, 0.0537, 0.1149, 0.1176, 0.0457, 0.1264, 0.0476, 0.1620, 0.1154, 0.1493, 0.0673, 0.0894, 0.0365, 0.0385, 0.2190, 0.0777, 0.0561, 0.0435, 0.0372, 0.0385, 0.0769, 0.1491, 0.0802, 0.0870, 0.0476, 0.0562, 0.0138.
Tab. 7 provides the MLEs, SEs and the statistics measures for all models for Italy data. We conclude that the KITL is an adequate model for these data compared to other models.
Also, the histogram and estimated cdf plots for all models for data of Italy country are plotted in Fig. 5.
The considered COVID19 data represent the daily new cases which are belonging to Angola of 27 days recorded from 8 July to 3 August 2020. The data are as follows: 33, 10, 62, 4, 21, 23, 19, 16, 35, 31, 31, 49, 18, 44, 30, 33, 39, 29, 36, 16, 18, 50, 78, 31, 39, 16, 116.
Tab. 8 presents the MLEs, SEs and the statistics measures for all models for Angola data. We conclude that the KITL is an adequate model for these data compared to other models.
Fig. 6 gives the histogram and estimated cdf plots for all models for data of Angola country.
6.5 March Precipitation Data in Minneapolis/St Paul
Reference [17] reported data that contain 30 observations of the March precipitation (in inches) in Minneapolis/St Paul. The observed values are: 0.77, 1.74, 0.81, 1.20, 1.95, 1.20, 0.47, 1.43, 3.37, 2.20, 3.00, 3.09, 1.51, 2.10, 0.52, 1.62, 1.31, 0.32, 0.59, 0.81, 2.81, 1.87, 1.18, 1.35, 4.75, 2.48, 0.96, 1.89, 0.90, 2.05.
Tab. 9 presents the MLEs, SEs and the statistics measures for all models for March precipitation data. We conclude that the KITL is an adequate model for these data compared to other models. Fig. 7 gives the histogram and estimated cdf plots for all models for data of March precipitation.
This article formulates a generalization of inverted Topp–Leone distribution, named as Kumaraswamy inverted Topp–Leone distribution. Some statistical properties of the KITL distribution are provided. Bayesian and ML methods of estimation are considered. The Bayesian estimator is deduced under LINEX and SE loss functions. Monte Carlo simulation study is designed to assess the performance of estimates. Generally, we conclude that the Bayesian estimates are preferable than the corresponding other estimates in approximately most of the situations. Five real data of COVID-19 obtained from Saudi Arabia, Italy, Argentina, and Angola as well as March precipitation data are considered and they showed that KITL distribution is an adequate model for these data compared with other competitive distributions.
Funding Statement: The authors received no specific funding for this study.
Conflicts of Interest: The authors declare that they have no conflicts of interest to report regarding the present study.
1. A. M. Abd AL-Fattah, A. A. El-Helbawy and G. R. Al-Dayian. (2017). “Inverted Kumaraswamy distribution: Properties and estimation,” Pakistan Journal of Statistics, vol. 33, no. 1, pp. 37–61. [Google Scholar]
2. K. V. P. Barco, J. Mazucheli and V. Janeiro. (2017). “The inverse power Lindley distribution,” Communications in Statistics-Simulation and Computation, vol. 46, no. 8, pp. 6308–6323. [Google Scholar]
3. R. Calabria and G. Pulcini. (1990). “On the maximum likelihood and least-squares estimation in the inverse Weibull distribution,” Statistica Applicata, vol. 2, no. 1, pp. 53–66. [Google Scholar]
4. A. S. Hassan and M. Abd-Allah. (2019). “On the inverse power Lomax distribution,” Annals of Data Science, vol. 6, no. 2, pp. 259–278. [Google Scholar]
5. A. S. Hassan and R. Mohamed. (2019). “Parameter estimation for inverted exponentiated Lomax distribution with right censored data,” Gazi University Journal of Science, vol. 32, no. 4, pp. 1370–1386. [Google Scholar]
6. V. K. Sharma, S. K. Singh, U. Singh and V. Agiwal. (2015). “The inverse Lindley distribution: A stress-strength reliability model with application to head and neck cancer data,” Journal of Industrial and Production Engineering, vol. 32, no. 3, pp. 162–173. [Google Scholar]
7. M. H. Tahir, G. M. Cordeiro, S. Ali, S. Dey and A. Manzoor. (2018). “The inverted Nadarajah–Haghighi distribution: Estimation methods and applications,” Journal of Statistical Computation and Simulation, vol. 88, no. 14, pp. 2775–2798. [Google Scholar]
8. A. S. Hassan and S. G. Nassr. (2018). “The inverse Weibull generator of distributions: Properties and applications,” Journal of Data Sciences, vol. 16, no. 4, pp. 732–742. [Google Scholar]
9. A. S. Hassan, M. Elgarhy and R. Ragab. (2020). “Statistical properties and estimation of inverted Topp–Leone distribution,” Journal of Statistics Applications & Probability, vol. 9, no. 2, pp. 319–331. [Google Scholar]
10. G. M. Cordeiro and M. de Castro. (2011). “A new family of generalized distributions,” Journal of Statistical Computation and Simulation, vol. 81, no. 7, pp. 883–893. [Google Scholar]
11. M. Nassar, O. Abo-Kasem, C. Zhang and S. Dey. (2018). “Analysis of Weibull distribution under adaptive type-II progressive hybrid censoring scheme,” Journal of the Indian Society for Probability and Statistics, vol. 19, no. 1, pp. 25–65. [Google Scholar]
12. H. H. Ahmad and E. Almetwally. (2020). “Marshall-Olkin generalized Pareto distribution: Bayesian and non Bayesian estimation,” Pakistan Journal of Statistics and Operation Research, vol. 16, no. 1, pp. 21–33. [Google Scholar]
13. E. M. Almetwally, H. M. Almongy and A. El sayed Mubarak. (2018). “Bayesian and maximum likelihood estimation for the Weibull generalized exponential distribution parameters using progressive censoring schemes,” Pakistan Journal of Statistics and Operation Research, vol. 15, no. 4, pp. 853–868. [Google Scholar]
14. E. M. Almetwally, H. M. Almongy and A. H. Saleh. (2020). “Managing risk of spreading “COVID-19” in Egypt: Modelling using a discrete Marshall–Olkin generalized exponential distribution,” International Journal of Probability and Statistics, vol. 9, no. 2, pp. 33–41. [Google Scholar]
15. G. N. Baltas, F. A. Prieto, M. Frantzi, C. R. Garcia-Alonso and P. Rodriguez. (2020). “Data driven modelling of coronavirus spread in Spain,” Computers Materials & Continua, vol. 64, no. 3, pp. 1343–1357. [Google Scholar]
16. H. Reyad, F. Jamal, S. Othman and N. Yahia. (2019). “The Topp Leone generalized inverted Kumaraswamy distribution: Properties and applications,” Asian Research Journal of Mathematics, vol. 13, no. 1, pp. 1–15. [Google Scholar]
17. D. Hinkley. (1977). “On quick choice of power transformation,” Journal of the Royal Statistical Society: Series C (Applied Statistics), vol. 26, no. 1, pp. 67–69. [Google Scholar]
![]() | This work is licensed under a Creative Commons Attribution 4.0 International License, which permits unrestricted use, distribution, and reproduction in any medium, provided the original work is properly cited. |