| Biocell DOI:10.32604/biocell.2021.014418 | ![]() www.techscience.com/journal/biocell |
| Article |
Transcriptome analysis of purple pigment formation in Colocasia esculenta
1Biotechnology Research Institute, Guangxi Zhuang Nationality Autonomous Region Academy of Agricultural Sciences, Nanning, 530007, China
2Guangxi Zhuang Nationality Autonomous Region Academy of Agricultural Sciences, Nanning, 530007, China
3Lipu Municipal Bureau of Agriculture and Rural Affairs, Lipu, 546600, China
4College of Agriculture, Guangxi University, Nanning, 530004, China
*Address correspondence to: Weiqing Dong,dongweiqing@gxaas.net; Shaolong Wei, nngt51578@126.com
Received: 25 September 2020; Accepted: 21 December 2020
Abstract: Taro (Colocasia esculenta (L.) Schott) is an important crop in Africa, Southeast Asia, and subtropics and is used as a food and medicine. The purple color pigmentation is an appealing character in taro. We sampled taro corms of the cultivar ‘Lipu Taro’ at four developmental stages, including LPYS1 (without purple pigment, 50 days of development (DOD)), LPYS2 (very few purple pigments, 75 DOD), LPYS3 (moderate purple pigments, 115 DOD) and LPYS4 (high purple pigments, 205 DOD). The purpose of our study was to identify the key genes underpinning the purple pigmentation in taro based on RNA-sequencing. Through RNA-Seq, 6453 differentially expressed transcripts (DETs) were identified between purple and non-purple pigmented samples. We identified 41 and 12 flavonoid and anthocyanin related DETs transcripts, respectively. These DETs were upregulated at LPYS2, LPYS3, and LPYS4 as compared to LPYS1, indicating their positive contribution to the color formation in taro. Moreover, we identified several DETs encoding for transcription factors, including MYB and bHLH, known to be major regulators of structural genes involved in the flavonoid-anthocyanin pathway. Finally, we reported several plant hormones (ethylene, auxin, gibberellin, jasmonic acid, and cytokinin) related DETs, which are predicted to play important roles in the corm coloration. Different regulation of transcripts representing the flavonoid-anthocyanin biosynthesis pathway, plant hormone transduction pathway, and transcription factors may have key roles in purple pigmentation in taro. Our findings will facilitate future research on improving the quality and appeal of taro.
Keywords: Anthocyanin; Colocasia esculenta; Color formation; Plant hormones; Gene expression; Transcription factors
The bulb plants are important in the balanced human diet as sources of starch, vitamins, and other nutrients. Flowering bulbs have an important advantage over regular plants. They can store energy from one growing season to the next. When a bulb starts to grow, it utilizes the stored energy reserves to develop roots, shoots, and leaves (Rees and Hanks, 1979; Abdissa et al., 2011). Taro is an eminent root crop belonging to the family Araceae (common name: Aroids) and cultivated in all agricultural lands. Southeast Asia and subtropics are the main production regions. Taro contains high starch and numerous active ingredients with wide pharmacological actions (Lebot et al., 2004; Caillon et al., 2006). This has fostered its cultivation in China for more than 2300 years for food and Chinese herbal medicine (Lebot et al., 2004). Taro is an economically important crop, and efforts are ongoing to breed high quality and high yielding cultivars (Ebert and Waqainabete, 2018). Some taro cultivars at maturity have a purple coloring pattern that has important aesthetical and medicinal values. The color pattern in taro has been linked to anthocyanin compounds (Champagne et al., 2013), which are the most common plant pigments. Variation in anthocyanin content in plant tissues leads to different coloring patterns (Wilbert et al., 1997). Anthocyanin is produced in land plants during many seasons and ontogenetic stages, expressly during high-intensity light coupled with environmental stress (Hughes et al., 2014). Anthocyanins are found to be synthesized in evergreen species during low-temperature conditions and in response to abiotic stress, i.e., drought and salinity, etc. (Lee and Collins, 2001; Eryılmaz, 2006). They protect the photosynthetic responsive tissues from high-intensity light via attenuating green light and antioxidant activity (Close and Beadle, 2003; Hughes et al., 2010).
The anthocyanin biosynthesis is the result of secondary metabolic pathways in plants, highly conserved in regulatory components (Feller et al., 2011). Plant hormones are closely linked with the genes important for organ coloration (Seymour et al., 2013). Significant anthocyanin accumulation in particular plant tissues is regulated by the response of different hormones such as ethylene and abscisic acid (ABA) (McAtee et al., 2013). Previous studies showed that auxin, ABA, gibberellins (GA), cytokinin, and jasmonic acid (JA) interact in controlling the anthocyanin biosynthesis (Jeong et al., 2004; Loreti et al., 2008). Also, several transcription factors (TFs) have been found in apples, strawberries, and grapes, etc., which have the functions in regulating the anthocyanin biosynthesis structural genes (Century et al., 2008). The identification and functional characterizations of MYB and bHLH TFs revealed to be vital in the transcription of the anthocyanin biosynthesis structural genes including, chalcone isomerase, chalcone synthase, and anthocyanin reductase (Deluc et al., 2008; Gonzalez et al., 2008).
Recent advances in sequencing technologies have facilitated large-scale transcriptome sequencing, which assists us in gene expression and functional genomic studies (Wang et al., 2009). Whole transcriptome research provides a fast, high throughput means to obtain plant gene function and insight into the biosynthesis of active ingredients and their regulatory networks (Saito, 2013). Transcriptome analysis has been widely employed in plants, i.e., Arabidopsis, rice, tomato, sorghum, and potato, to divulge key genes regulating different biological processes (Bai et al., 2014; Ma et al., 2016; Wang et al., 2016). In this study, transcriptome sequencing was employed to investigate the dynamic expression changes of genes at four developmental stages in taro corm. We retrieved differentially expressed transcripts related to TFs, plant hormones, flavonoid-anthocyanin pathways, having a key role in developing purple color in taro corm.
Plant material and growth conditions
In our study, the taro cultivar ‘Lipu Taro’ was used as plant material. Lipu Taro belongs to the betel nut taro species, originating in Lipu County in Guangxi, China. Lipu Taro is grown mostly in the tropical regions at 18°N–20°N and can tolerate shade and withstand prolonged flooding. The corms were planted in the greenhouse under a 16/8 photoperiod at 28°C (day) and 22°C (night) at Xiuren Town, Guilin City, Guangxi Province, China. Corm samples were collected at four developmental stages, i.e., LPYS1, LPYS2, LPYS3, and LPYS4 were collected at 50, 75, 115, and 205 days of development (DOD), respectively. LPYS3 and LPYS4 had high purple color pigments in the corm; LPYS2 had very few purple color pigments while LPYS1 had no purple color pigment. The samples were selected from upper to middle parts of the corm in three biological replicates, snap-frozen in liquid nitrogen, and stored at −80°C till further use.
RNA extraction and cDNA library construction
Total RNA from the selected samples was extracted using the TRIzol reagent. Afterward, the extracted total RNA was digested using DNaseI and purified by Micropoly (A) PurisTM mRNA purification kit (Ambion, USA). The mRNA was converted into cDNA fragments using reverse transcriptase (High-Capacity cDNA Reverse Transcription Kit, ThermoFisher, USA) and a high concentration of random hexamer primers. The synthesized cDNA was spliced to the range of 300–500 bp using ultrasound and purified by Ampure beads. Subsequently, purified cDNA was prepared with a library using TruSeqTM DNA prep kit–Set A (Illumina, USA) and amplified by the TruSeq PE Cluster kit (Illumina, USA).
Illumina sequencing and assembly
The cDNA library was sequenced from 5’ and 3’ ends on an Illumina genome analyzer following the manufacturer’s instruction and paired-end reads were obtained. The Illumina-based sequencing was done by Metware Biotechnology Co., Ltd., Wuhan, China. The raw reads were analyzed and checked for good quality using >20 Phred score based on the forward and reverse reads for the entire run. Paired-end reads were aligned to the available reference genome (Yin et al., 2021) using HISAT2 (2.1.0) (Kim et al., 2015). StringTie (1.3.4) (Pertea et al., 2015) was employed to count the number of reads mapped to each gene and quantification of gene expression as the number of fragments per kilobase of the transcript sequence per million base pairs sequenced (FPKM). The differential expression analysis was performed using the DESeq2 R package (2.11.38). Transcripts with p-value < 0.05 were considered as significantly differentially expressed in comparative analysis.
Functional annotation and classification
The transcripts identified are processed through the similarity-based analyses pipeline for annotation and functional classification using GetORF and EMBOSS software. Protein coding sequences were found from different contigs. Blastp was used to compare the predicted protein-coding sequences in GenBank non-redundant protein sequence (NR), gene ontology (GO), Kyoto encyclopedia of genes and genomes (KEGG), and eukaryotic orthologous groups of proteins (KOG) database. The best matching one was chosen as the annotation of each transcript.
The GO enrichment functional annotations were retrieved using Blast2GO software that classified the transcripts into biological process, cellular component, and molecular function. Furthermore, the KEGG database was employed to categorize the transcripts in different pathways according to the KO numbers.
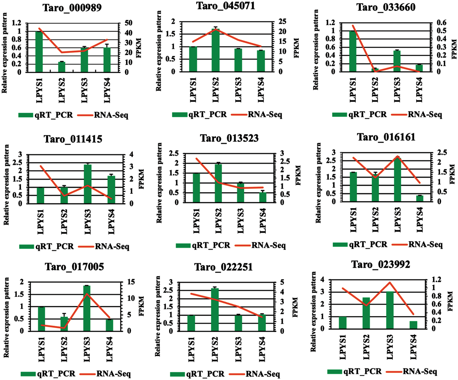
The expression pattern of nine transcripts randomly selected differentially expressed genes was done by qRT-PCR to validate the RNA-Seq data. The primers of the nominated genes were designed using AmplifX 1.5.4. The Actin gene was used as an internal control in qRT-PCR (Jyothi Lekshmi et al., 2020); the reaction was performed in a 96-wells plate on an ABI prism 7500 Real-Time PCR system (Applied Biosystem, Foster City, CA, USA) using SYBR Green Master ROX (TaKaRa). The relative expression level of the selected DETs was calculated with the 2−ΔΔCt method (Livak and Schmittgen, 2001).
Plant samples and preliminary analysis of sequencing data
In this study, we sampled taro corms at four developmental stages, including LPYS1 (50 DOD), LPYS2 (75 DOD), LPYS3 (115 DOD), and LPYS4 (205 DOD). The corms at the early developmental stages (LPYS1 and LPYS2) had no purple or very few color patterns in contrast to samples at the late developmental stages (Fig. 1), indicating that the color formation starts at early developmental stages.
A total of 12 libraries (three biological replicates of each sample) sequencing data generated approximately 50.32 million raw reads. The raw reads were cleaned using Trimmomatic (Bolger et al., 2014). After stringent quality and data cleaning, 50.13 million clean reads were obtained with an average of 53% GC contents (Tab. S1). The Illumina sequencing generated 150–250 bp read size for three biological repeats of each sample. Correlation plots were developed between three biological repeats of respective taro samples (Fig. 2). Given plot showed that there is no significant variability among replicates of the respective sample. Thus, it is supposed that there is no influence of the sampling and sequencing in the following secondary analysis of the respective taro samples.

Figure 1: Phenotypic comparison of taro corms based on the purple pigmentation.

Figure 2: Heatmap illustrating the correlation among biological replicates of different taro samples collected at different developmental stages.
Functional annotation and differential transcript expression patterns
In total, 5968 detected transcripts had blast matches to known proteins in the Nr database; 5249 transcripts were assigned to GO terms, including biological process, cellular component, and molecular functions (Tab. S2). A total of 2633 transcripts showing significant homology were assigned to the appropriate KOG clusters. Moreover, transcripts were mapped to the KEGG database, and 2540 transcripts were classified into different KEGG terms.
For differential expressed transcript (DET) analysis, three pairwise comparisons, i.e., LPYS1 vs. LPYS2, LPYS1 vs. LPYS3, and LPYS1 vs. LPYS4 were made. A total of 3445 DETs were identified between LPYS1 vs. LPYS2 samples, of which 1341 transcripts were upregulated, and 2104 transcripts were identified to be downregulated in LPYS1 compared to LPYS2. In LPYS1 vs. LPYS3, 351 transcripts were upregulated and 1512 were downregulated in LPYS1 relative to the LPYS3, while 419 and 2484 transcripts were up and downregulated, respectively, in LYPS1 compared to the LYPS4. A Venn diagram of all pairwise comparisons revealed that 609 DETs were overlapped in all the given comparisons, representing key genes associated with color formation (Fig. 3; Tab. S3).

Figure 3: Venn diagram showing the overlapping of DETs among different pairwise comparisons of taro samples.
KEGG pathways and Gene Ontology enrichment analysis
All the significantly expressed DETs were mapped on the KEGG pathways to uncover the significantly enriched ones. There were ten pathways retrieved having mostly enriched genes. Apart from metabolic and biosynthesis of secondary metabolites pathways, flavonoid–anthocyanin biosynthesis, plant hormone transduction, carbon metabolism, and biosynthesis of amino acids, were observed to be significantly enriched at different developmental stages of taro (Fig. 4a). According to the previously published literature, the flavonoid–anthocyanin biosynthesis pathway has a major contribution in the different color pigments accumulation in different plant species (Lee and Collins, 2001; Eryılmaz, 2006). We identified 57 DETs enriched in the flavonoid–anthocyanin biosynthesis pathway, having different expression patterns in the taro samples. Likewise, in the current study, flavonoid–anthocyanin biosynthesis responsive transcripts were revealed to be significantly enriched in biological processes, including biosynthesis processes, cellular localization, phenylpropanoid metabolic process, and flavonoid biosynthetic process (Fig. 4b). We deduced that the 57 DETs enriched in the flavonoid-anthocyanin biosynthesis pathway may have a key role in the purple pigment biosynthesis in taro.

Figure 4: Significant enrichment of DETs in KEGG pathways and GO terms.
We randomly selected nine transcripts (Tab. S8) for qRT-PCR to evaluate the validity of the RNA-Seq data (Fig. 5). The qRT-PCR expression patterns of the nine DETs in the four samples followed the same expression pattern as per RNA-Seq data. This result confirms that our RNA-seq expression data and subsequent interpretations are reliable.

Figure 5: qRT-PCR validation of nine selected transcripts.
Differentially expressed transcripts related to flavonoid-anthocyanin pathway
The flavonoid-anthocyanin biosynthesis pathway has been well characterized in plants (Jaakola, 2013). Anthocyanins are the main coloring pigments in plants (Spelt et al., 2002). To predict the molecular mechanisms participating in purple color pigmentation in taro, we mapped the DETs in the flavonoid-anthocyanin pathway and retrieved their expression patterns in different compartments of the pathway. In total, 41 transcripts were identified to be differentially regulated in this pathway (Fig. 6). The transcripts participating in flavonoid biosynthesis belong to the chalcone synthase, chalcone isomerase, flavonol synthase, shikimate O-hydroxycinnamoyl transferase, caffeoyl-CoA O-methyltransferase, trans-cinnamate 4-monooxygenase, flavonoid 3’-monooxygenase, coumaroylquinate (coumaroylshikimate) 3’-monooxygenase, and dihydroflavonol 4-reductase/flavanone 4-reductase families. Among these 41 DETs, most of the transcripts were upregulated in LPYS2, LPYS3 and LPYS4 as compared to LPYS1 samples, suggesting that these DETs positively contribute to the purple pigment formation in taro. Moreover, we identified 12 different transcripts belonging to the anthocyanin specific pathway, having up and down-regulation in LPYS2, LPYS3 and LPYS4 samples comparative to LPYS1 samples. Distinctly, in LPYS1 vs. LPYS4, we observed that 10 out of the 12 DETs were upregulated in LPYS4, indicating a high activity of anthocyanin related genes in mature taro corm, which may be responsible for purple coloration (Fig. 4c; Tab. S4).

Figure 6: Flavonoid-anthocyanin pathway elaborating the flavonoid and anthocyanin responsive transcripts.
Differentially expressed phytohormones
In this study, we identified differentially expressed transcripts related to phytohormones including abscisic acid (ABA), auxin, gibberellin (GA), ethylene, jasmonic acid (JA), salicylic acid (SA), and cytokinin (Tab. S5). We retrieved 57 ethylene-responsive transcripts, 54 auxin-responsive DETs, six different ABA-responsive transcripts, 18 different GA responsive transcripts, two JA, one SA responsive transcripts, 14 cytokinin transcripts differentially expressed among taro samples (Fig. 7). These DETs display varying patterns of expression changes across developmental stages, implying a complex mechanism involving phytohormones in color formation. Nonetheless, between LYPS1 and LYPS4, except for the SA gene, most of the phytohormone-related DETs were strongly upregulated in LYPS4, globally indicating a positive contribution to the color formation in taro corm.

Figure 7: Heatmap showing the fold change-based expression of identified phytohormones expressed differentially in taro samples.
Differential expression pattern of transcription factors
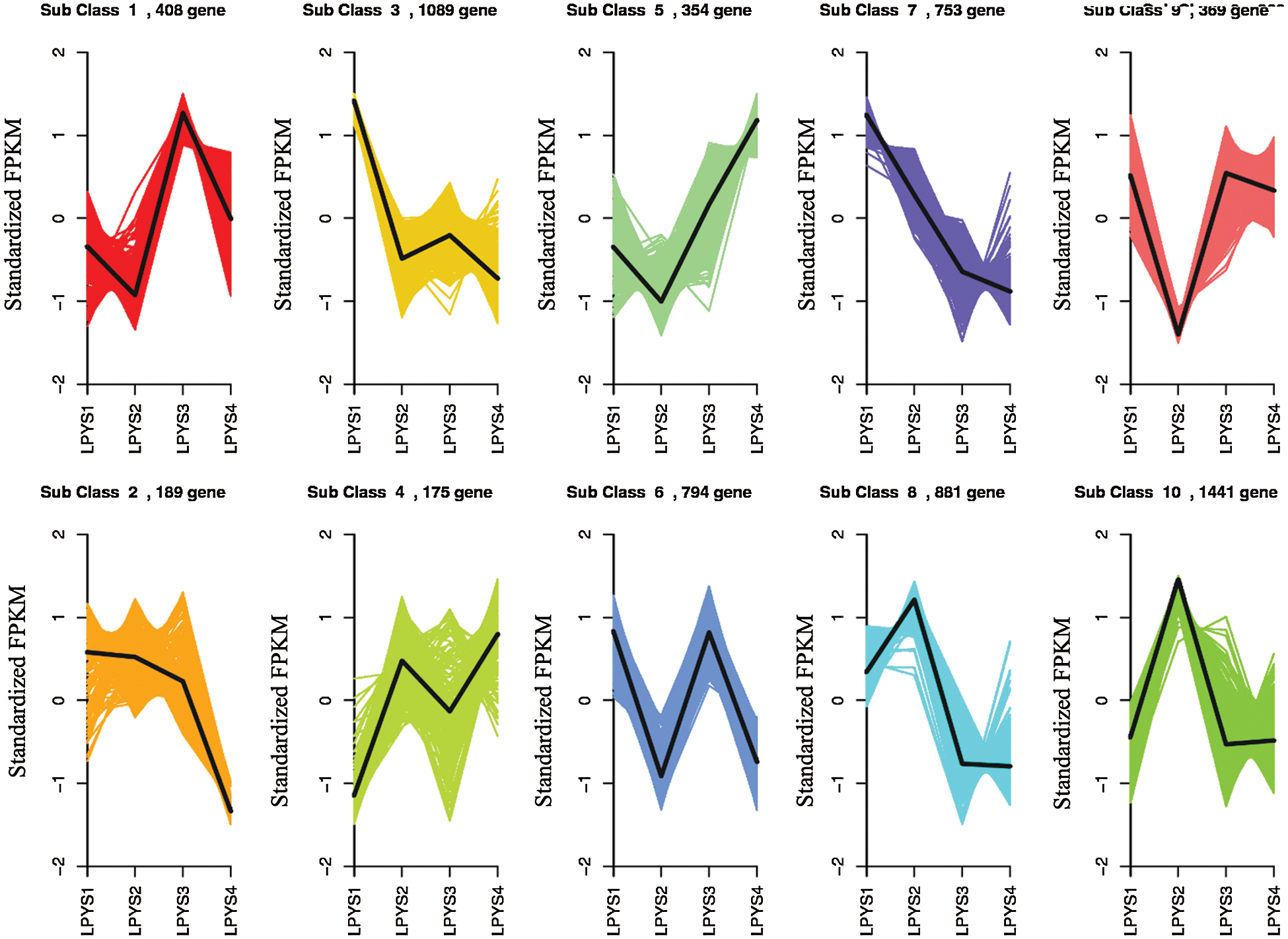
Transcription factors (TFs) are major regulators of gene expression. We extended our study on the major TF families differentially expressed in different taro samples. We identified 198 TFs distributed into different families (Fig. 8), including MYB (40), bHLH (35), AP2-ERF (23), bZIP (7), GATA (9), NAC (2), TGA (4) and WRKY (10). More details of the TFs expression pattern are provided in the Tab. S6. We further performed a K-Means clustering analysis that delineates transcripts with similar patterns of expression. In total, ten clusters of genes were identified (Fig. 9). Many flavonoid–anthocyanin-related structural genes were grouped in Clusters 10 and 7 (Tab. S7). Further investigation of co-clustered TFs with these structural genes may facilitate the identification of potential TFs that regulate purple color formation in taro.

Figure 8: Heatmap illustrating the differentially expressed transcription factors from different families in taro samples.

Figure 9: K-Means clustering of transcripts based on standardized FPKM values.
Color is one of the most attractive sceneries in nature and it confers diverse functions (Schiestl and Johnson, 2013). In most plant species, coloration is mostly caused by flavonoids, particularly anthocyanins (Mol et al., 1998; Wessinger and Rausher, 2012). Anthocyanins are water-soluble plant pigments responsible for the red, purple, and blue coloring of many plant tissues (Tohge et al., 2017). The anthocyanin biosynthesis is highly conserved in structural and regulatory components (Feller et al., 2011; Tohge et al., 2017). In our study, genes, i.e., chalcone synthase, anthocyanin synthase, flavonol synthase, were upregulated in the LPYS2, LPYS3, and LPYS4 taro samples relative to the LPYS1 sample. The regulatory mechanisms of anthocyanin production have been characterized in many plants, e.g., petunia, snapdragon, Arabidopsis, and maize (Scalzo et al., 2008; Tanaka et al., 2008; Gao et al., 2016; Ma et al., 2019). It has been proposed that either increasing the functional activity of the pathway or activating the regulators can increase the anthocyanin intensity in petunia flowers and apple color (Spelt et al., 2002; Liu et al., 2020). We conclude that the high activity of flavonoid–anthocyanin structural genes contributes to the purple color formation.
It has been reported that the combined action of R2R3-MYB and bHLH TFs played an important role in regulating the anthocyanin genes in plants (Heim et al., 2003). MdMYB1 was proposed to be involved in the anthocyanin pigment accumulation in apples (Li et al., 2012). In a previous study, RsMYB1 was verified as a positive regulator to transcriptionally activate the anthocyanin biosynthesis pathway in red radish (Lim et al., 2016). MYB34 was identified to be downregulated in purple-colored cabbage leaves and upregulated in white cabbage at all growth stages (Jin et al., 2018). In this study, unlike LPYS1 and LPYS2, MYB34 was downregulated in LPYS3. These findings illustrate that MYB34 TF may be negatively induced in colored pigmented genotypes. Similarly, AP2 TFs were identified as involved in the different coloring patterns in fruits (Gu et al., 2017). Given the upregulation expression pattern of different AP2 TFs in LPYS3 and LPYS4, we can illustrate that AP2 might be regulating the accumulation of purple color pigment in LPYS3 and LPYS4. Apart from AP2 TFs, NAC TFs seem to be important for the carotenoids pigment production, important for different coloring patterns in plants. It was found that overexpression of NAC25 results in reduced carotenoid levels and inhibition of fruit ripening by changing the carotenoid pathway flux and downregulating the ethylene-responsive genes in tomato (Zhu et al., 2014). In our study, purple pigmented samples, LPYS3 and LPYS4, showed downregulation of NAC25 TF, and these results indicate that NAC25 may be playing role in inhibiting the color pigment production.
Likewise, members of bHLH and MYB TF families were the most differentially expressed between colored and non-colored taro samples, indicating that they may play preponderant regulatory roles in color formation in taro. The upregulation of several WRKY TFs such as WRKY4, WRKY17, WRKY21, and WRKY48 in LPYS2, LPYS3, and LPYS4, may be linked to the anthocyanin production through activation of genes involved in the flavonoid-anthocyanin biosynthesis. In Arabidopsis, it has been revealed that WRKY48 stimulates the regulation of genes participating in the anthocyanin biosynthesis (Rushton et al., 2010). AtWRKY14 regulates the production of proanthocyanins, a subset of tannin compounds in the flavonoid biosynthesis pathway (Mao et al., 2011).
Hormones are important factors inducing anthocyanin accumulation (Wang et al., 2015). Auxin has been shown to regulate anthocyanin biosynthesis (Schiestl and Johnson, 2013). Endogenous overexpression of auxin was found to impede the anthocyanin accumulation in strawberries and grapes (Deluc et al., 2008). Herein, we observed several auxin-responsive transcripts, i.e., gene-Taro-029783, gene-Taro-030371, gene-Taro-010281, and gene-Taro-047186, upregulated in LPYS4 and predicted to play a key role in color formation in taro. ABA related transcripts were also upregulated in the LPYS3 and LPYS4 compared to LPYS1 and LPYS2 samples. The previous literature demonstrated that ABA treatment increased the anthocyanin accumulation in cherry (Shen et al., 2014), grape (Sandhu et al., 2011), and strawberry (Li et al., 2014). Moreover, the expressions of PYRs/PYLs and PP2Cs and SnRK2 were increased by the ABA treatment that ultimately enhanced the anthocyanin accumulation in apple (Ma et al., 2019). Similarly, cytokinins are positive regulators of anthocyanin biosynthesis (Solfanelli et al., 2006; Ma et al., 2019). We retrieved 14 different cytokinin responsive transcripts, highly expressed in purple pigmented taro genotypes. Gibberellins (GAs) and Jasmonic acids (JAs) are two important phytohormones taking part in growth and defense via physical interactions with DELLA and JAZs (Wild et al., 2012; Hou et al., 2013). The GAs were predicted to modulate the anthocyanin accumulation through the activity of DELLA proteins. We retrieved the GAs transcripts, having high expression patterns in LPYS1 and LPYS2 genotypes than LPYS4. According to the literature, the presence of GA, MYBL2 and JAZs complex suppress the anthocyanin biosynthesis, while in the absence of GA, DELLA proteins accumulate and sequestrate MYBL2 and JZs complex, resulting in the activation of anthocyanin biosynthesis in Arabidopsis (Das et al., 2012). Thus in our study, the MYB TFs and JAZs expression patterns set a threshold for GA signaling, determine the switch off or switch on the anthocyanin biosynthesis. Apart from GA signaling, JA stimulates anthocyanin accumulation in many plant systems (Balbi and Devoto, 2008). In Arabidopsis, JA in the presence of sucrose has an effect to induce the expression of genes coding for enzymes, involved in the anthocyanin biosynthesis (Chen et al., 2007). In this study, we observed various expression patterns for the phytohormone genes over taro corm growth stages. More in-depth studies of highly induced or repressed phytohormone-related DETs will be needed to better clarify the roles of each phytohormone in color formation in taro.
Overall, RNA-Seq data sketched out the genome-wide regulation of different transcripts related to TFs, phytohormones, and flavonoid-anthocyanin pathway in purple pigmented and non-purple pigmented taro samples. Many transcripts could be useful for researchers to reveal their functions and relation with anthocyanin biosynthesis.
In this study, taro samples were collected at different growth stages to uncover the transcriptome changes underlying the formation of purple coloration. Particularly, the flavonoid–anthocyanin biosynthesis pathway was found to be a key pathway for color formation in taro. Differentially expressed genes related to this pathway were identified, and the link with the purple pigmentation was established. Similarly, TFs may play a major role in the regulation of plant hormones and flavonoid–anthocyanin biosynthesis pathway-related genes, important for purple color pigmentation in LPYS3 and LPYS4. Collectively, our results provide a foundation for breeding efforts towards purple-colored taro.
Availability of Data and Materials: The RNA-seq datasets generated in the current study were submitted to NCBI SRA: PRJNA639211.
Author Contributions: Conceptualization, FH, WD, and SW; methodology, FH, WD, JH, HJ, and ZQ; validation, FH, SH, and LL; formal analysis, FH, WD, JH, HJ, and ZQ; investigation, FH, SH, and LL; writing—original draft preparation, FH; writing—review and editing, WD and SW; supervision, WD and SW; project administration, WD and SW; funding acquisition, WD and SW. All the authors read and approved the manuscript.
Supplementary Material: The supplementary material is available online at DOI: 10.32604/biocell.2021.014418.
Ethics Approval: Not applicable.
Funding Statement: This work was supported by Guangxi Agricultural Products Experimental Station (Gui TS201413); Guangxi Innovation-driven Development Special Project (Gui Ke AA17204045-8). The funder has no role in study design, data collection, and analysis, decision to publish, or preparation of the manuscript.
Conflicts of Interest: The authors declare that they have no conflicts of interest to report regarding the present study.
Abdissa Y, Tekalign T, Pant L. (2011). Growth, bulb yield and quality of onion (Research Article L.) as influenced by nitrogen and phosphorus fertilization on Vertisol I. growth attributes, biomass production and bulb yield. African Journal of Agricultural Research 6: 3252–3258. [Google Scholar]
Bai Y, Dougherty L, Xu K. (2014). Towards an improved apple reference transcriptome using RNA-seq. Molecular Genetics and Genomics 289: 427–438. DOI 10.1007/s00438-014-0819-3. [Google Scholar] [CrossRef]
Balbi V, Devoto A. (2008). Jasmonate signalling network in Arabidopsis thaliana: Crucial regulatory nodes and new physiological scenarios. New Phytologist 177: 301–318. DOI 10.1111/j.1469-8137.2007.02292.x. [Google Scholar] [CrossRef]
Bolger AM, Lohse M, Usadel B. (2014). Trimmomatic: A flexible trimmer for Illumina sequence data. Bioinformatics 30: 2114–2120. DOI 10.1093/bioinformatics/btu170. [Google Scholar] [CrossRef]
Caillon S, Quero-Garcia J, Lescure JP, Lebot V. (2006). Nature of taro (Colocasia esculenta (L.) Schott) genetic diversity prevalent in a Pacific Ocean island, Vanua Lava. Vanuatu. Genetic Resources and Crop Evolution 53: 1273–1289. DOI 10.1007/s10722-005-3877-x. [Google Scholar] [CrossRef]
Century K, Reuber TL, Ratcliffe OJ. (2008). Regulating the regulators: The future prospects for transcription-factor-based agricultural biotechnology products. Plant Physiology 147: 20–29. DOI 10.1104/pp.108.117887. [Google Scholar] [CrossRef]
Champagne A, Legendre L, Lebot V (2013). Biofortification of taro (Colocasia esculenta) through breeding for increased contents in carotenoids and anthocyanins. Euphytica 194: 125–136. DOI 10.1007/s10681-013-0980-5. [Google Scholar] [CrossRef]
Close D, Beadle C. (2003). The ecophysiology of foliar anthocyanin. Botanical Review 69: 149–161. DOI 10.1663/0006-8101(2003)069[0149:TEOFA]2.0.CO;2. [Google Scholar] [CrossRef]
Chen QF, Dai LY, Xiao S, Wang YS, Liu XL, Wang GL. (2007). The COI1 and DFR genes are essential for regulation of jasmonate-induced anthocyanin accumulation in Arabidopsis. Journal of Integrative Plant Biology 49: 1370–1377. DOI 10.1111/j.1744-7909.2007.00490.x. [Google Scholar] [CrossRef]
Das PK, Shin DH, Choi SB, Park YI. (2012). Sugar-hormone cross-talk in anthocyanin biosynthesis. Molecules and Cells 34: 501–507. DOI 10.1007/s10059-012-0151-x. [Google Scholar] [CrossRef]
Deluc L, Bogs J, Walker AR, Ferrier T, Decendit A, Merillon JM, Robinson SP, Barrieu F. (2008). The transcription factor VvMYB5b contributes to the regulation of anthocyanin and proanthocyanidin biosynthesis in developing grape berries. Plant Physiology 147: 2041–2053. DOI 10.1104/pp.108.118919. [Google Scholar] [CrossRef]
Ebert AW, Waqainabete LM. (2018). Conserving and sharing taro genetic resources for the benefit of global taro cultivation: A core contribution of the centre for Pacific crops and trees. Biopreservation and Biobanking 16: 361–367. DOI 10.1089/bio.2018.0017. [Google Scholar] [CrossRef]
Eryılmaz F. (2006). The relationships between salt stress and anthocyanin content in higher plants. Biotechnology & Biotechnological Equipment 20: 47–52. DOI 10.1080/13102818.2006.10817303. [Google Scholar] [CrossRef]
Feller A, Machemer K, Braun EL, Grotewold E. (2011). Evolutionary and comparative analysis of MYB and bHLH plant transcription factors. Plant Journal 66: 94–116. DOI 10.1111/j.1365-313X.2010.04459.x. [Google Scholar] [CrossRef]
Gao L, Yang H, Liu H, Yang J, Hu Y. (2016). Extensive transcriptome changes underlying the flower color intensity variation in Paeonia ostii. Frontiers in Plant Science 6: 1205. DOI 10.3389/fpls.2015.01205. [Google Scholar] [CrossRef]
Gonzalez A, Zhao M, Leavitt JM, Lloyd AM. (2008). Regulation of the anthocyanin biosynthetic pathway by the TTG1/bHLH/Myb transcriptional complex in Arabidopsis seedlings. Plant Journal 53: 814–827. DOI 10.1111/j.1365-313X.2007.03373.x. [Google Scholar] [CrossRef]
Gu C, Guo ZH, Hao PP, Wang GM, Jin ZM, Zhang SL. (2017). Multiple regulatory roles of AP2/ERF transcription factor in angiosperm. Botanical Studies 58: 1–8. DOI 10.1186/s40529-016-0159-1. [Google Scholar] [CrossRef]
Heim MA, Jakoby M, Werber M, Martin C, Weisshaar B, Bailey PC. (2003). The basic helix-loop–helix transcription factor family in plants: A genome-wide study of protein structure and functional diversity. Molecular Biology and Evolution 20: 735–747. DOI 10.1093/molbev/msg088. [Google Scholar] [CrossRef]
Hou X, Ding L, Yu H. (2013). Crosstalk between GA and JA signaling mediates plant growth and defense. Plant Cell Reports 32: 1067–1074. DOI 10.1007/s00299-013-1423-4. [Google Scholar] [CrossRef]
Hughes NM, Carpenter KL, Keidel TS, Miller CN, Waters MN, Smith WK. (2014). Photosynthetic costs and benefits of abaxial versus adaxial anthocyanins in Colocasia esculenta ‘Mojito’. Planta 240: 971–981. DOI 10.1007/s00425-014-2090-6. [Google Scholar] [CrossRef]
Hughes NM, Smith WK, Gould KS. (2010). Red (anthocyanic) leaf margins do not correspond to increased phenolic content in New Zealand Veronica spp. Annals of Botany 105: 647–654. DOI 10.1093/aob/mcq005. [Google Scholar] [CrossRef]
Jaakola L. (2013). New insights into the regulation of anthocyanin biosynthesis in fruits. Trends in Plant Science 18: 477–483. DOI 10.1016/j.tplants.2013.06.003. [Google Scholar] [CrossRef]
Jeong ST, Goto-Yamamoto N, Kobayashi S, Esaka M. (2004). Effects of plant hormones and shading on the accumulation of anthocyanins and the expression of anthocyanin biosynthetic genes in grape berry skins. Plant Science 167: 247–252. DOI 10.1016/j.plantsci.2004.03.021. [Google Scholar] [CrossRef]
Jin SW, Rahim MA, Afrin KS, Park JI, Kang JG, Nou IS. (2018). Transcriptome profiling of two contrasting ornamental cabbage (Brassica oleracea var. acephala) lines provides insights into purple and white inner leaf pigmentation. BMC Genomics 19: 797. DOI 10.1186/s12864-018-5199-3. [Google Scholar] [CrossRef]
Jyothi Lekshmi OB, Amrutha PR, Jeeva ML, Asha Devi A, Veena SS, Sreelatha GL, Sujina MG, Syriac T. (2020). Development of an efficient real-time PCR assay to accurately quantify resistant gene analogue expression in taro (Colocasia esculenta). Journal of Root Crops 44: 3–11. [Google Scholar]
Kim D, Langmead B, Salzberg SL. (2015). HISAT: A fast spliced aligner with low memory requirements. Nature Methods 12: 357–360. DOI 10.1038/nmeth.3317. [Google Scholar] [CrossRef]
Lebot V, Prana MS, Kreike N, Van Heck H, Pardales J, Okpul T, Gendua T, Thongjiem M, Hue H, Viet N, Yap TC. (2004). Characterisation of taro (Colocasia esculenta (L.) Schott) genetic resources in Southeast Asia and Oceania. Genetic Resources and Crop Evolution 51: 381–392. DOI 10.1023/B:GRES.0000023453.30948.4d. [Google Scholar] [CrossRef]
Lee DW, Collins TM. (2001). Phylogenetic and ontogenetic influences on the distribution of anthocyanins and betacyanins in leaves of tropical plants. International Journal of Plant Sciences 162: 1141–1153. DOI 10.1086/321926. [Google Scholar] [CrossRef]
Li D, Luo Z, Mou W, Wang Y, Ying T, Mao L. (2014). ABA and UV-C effects on quality, antioxidant capacity and anthocyanin contents of strawberry fruit (Fragaria ananassa Duch.). Postharvest Biology and Technology 90: 56–62. DOI 10.1016/j.postharvbio.2013.12.006. [Google Scholar] [CrossRef]
Li YY, Mao K, Zhao C, Zhao XY, Zhang HL, Shu HR, Hao YJ. (2012). MdCOP1 ubiquitin E3 ligases interact with MdMYB1 to regulate light-induced anthocyanin biosynthesis and red fruit coloration in apple. Plant Physiology 160: 1011–1022. DOI 10.1104/pp.112.199703. [Google Scholar] [CrossRef]
Lim SH, Song JH, Kim DH, Kim JK, Lee JY, Kim YM, Ha SH. (2016). Activation of anthocyanin biosynthesis by expression of the radish R2R3-MYB transcription factor gene RsMYB1. Plant Cell Reports 35: 641–653. DOI 10.1007/s00299-015-1909-3. [Google Scholar] [CrossRef]
Liu C, Yao X, Li G, Huang L, Xie Z. (2020). Transcriptomic profiling of purple broccoli reveals light-induced anthocyanin biosynthetic signaling and structural genes. PeerJ 8: e8870. DOI 10.7717/peerj.8870. [Google Scholar] [CrossRef]
Livak KJ, Schmittgen TD. (2001). Analysis of relative gene expression data using real-time quantitative PCR and the 2−ΔΔCT method. Methods 25: 402–408. DOI 10.1006/meth.2001.1262. [Google Scholar] [CrossRef]
Loreti E, Povero G, Novi G, Solfanelli C, Alpi A, Perata P. (2008). Gibberellins, jasmonate and abscisic acid modulate the sucrose-induced expression of anthocyanin biosynthetic genes in Arabidopsis. New Phytologist 179: 1004–1016. DOI 10.1111/j.1469-8137.2008.02511.x. [Google Scholar] [CrossRef]
Ma C, Liang B, Chang B, Yan J, Liu L, Wang Y, Yang Y, Zhao Z. (2019). Transcriptome profiling of anthocyanin biosynthesis in the peel of ‘Granny Smith’apples (Malus domestica) after bag removal. BMC Genomics 20: 353. DOI 10.1186/s12864-019-5730-1. [Google Scholar] [CrossRef]
Ma X, Xia H, Liu Y, Wei H, Zheng X, Song C, Chen L, Liu H, Luo L. (2016). Transcriptomic and metabolomic studies disclose key metabolism pathways contributing to well-maintained photosynthesis under the drought and the consequent drought-tolerance in rice. Frontiers in Plant Science 7: 1886. [Google Scholar]
Mao G, Meng X, Liu Y, Zheng Z, Chen Z, Zhang S. (2011). Phosphorylation of a WRKY transcription factor by two pathogen-responsive MAPKs drives phytoalexin biosynthesis in Arabidopsis. Plant Cell 23: 1639–1653. DOI 10.1105/tpc.111.084996. [Google Scholar] [CrossRef]
McAtee P, Karim S, Schaffer RJ, David K. (2013). A dynamic interplay between phytohormones is required for fruit development, maturation, and ripening. Frontiers in Plant Science 4: 79. DOI 10.3389/fpls.2013.00079. [Google Scholar] [CrossRef]
Mol J, Grotewold E, Koes R. (1998). How genes paint flowers and seeds. Trends in Plant Science 3: 212–217. DOI 10.1016/S1360-1385(98)01242-4. [Google Scholar] [CrossRef]
Pertea M, Pertea GM, Antonescu CM, Chang TC, Mendell JT, Salzberg SL. (2015). StringTie enables improved reconstruction of a transcriptome from RNA-seq reads. Nature Biotechnology 33: 290–295. DOI 10.1038/nbt.3122. [Google Scholar] [CrossRef]
Rees A, Hanks G. (1979). Potential uses of plant growth regulators in bulb growing and forcing. Acta Horticulturae (Netherlands) 91: 153–160. DOI 10.17660/ActaHortic.1979.91.16. [Google Scholar] [CrossRef]
Rushton PJ, Somssich IE, Ringler P, Shen QJ. (2010). WRKY transcription factors. Trends in Plant Science 15: 247–258. DOI 10.1016/j.tplants.2010.02.006. [Google Scholar] [CrossRef]
Saito K. (2013). Phytochemical genomics — A new trend. Current Opinion in Plant Biology 16: 373–380. DOI 10.1016/j.pbi.2013.04.001. [Google Scholar] [CrossRef]
Sandhu AK, Gray DJ, Lu J, Gu L. (2011). Effects of exogenous abscisic acid on antioxidant capacities, anthocyanins, and flavonol contents of muscadine grape (Vitis rotundifolia) skins. Food Chemistry 126: 982–988. DOI 10.1016/j.foodchem.2010.11.105. [Google Scholar] [CrossRef]
Scalzo RL, Genna A, Branca F, Chedin M, Chassaigne H. (2008). Anthocyanin composition of cauliflower (Brassica oleracea L. var. botrytis) and cabbage (B. oleracea L. var. capitata) and its stability in relation to thermal treatments. Food Chemistry 107: 136–144. [Google Scholar]
Schiestl FP, Johnson SD. (2013). Pollinator-mediated evolution of floral signals. Trends in Ecology & Evolution 28: 307–315. DOI 10.1016/j.tree.2013.01.019. [Google Scholar] [CrossRef]
Seymour GB, Østergaard L, Chapman NH, Knapp S, Martin C. (2013). Fruit development and ripening. Annual Review of Plant Biology 64: 219–241. DOI 10.1146/annurev-arplant-050312-120057. [Google Scholar] [CrossRef]
Shen X, Zhao K, Liu L, Zhang K, Yuan H, Liao X, Wang Q, Guo X, Li F, Li T. (2014). A role for PacMYBA in ABA-regulated anthocyanin biosynthesis in red-colored sweet cherry cv. Hong Deng (Prunus avium L.). Plant and Cell Physiology 55: 862–880. DOI 10.1093/pcp/pcu013. [Google Scholar] [CrossRef]
Solfanelli C, Poggi A, Loreti E, Alpi A, Perata P. (2006). Sucrose-specific induction of the anthocyanin biosynthetic pathway in Arabidopsis. Plant Physiology 140: 637–646. DOI 10.1104/pp.105.072579. [Google Scholar] [CrossRef]
Spelt C, Quattrocchio F, Mol J, Koes R. (2002). ANTHOCYANIN1 of petunia controls pigment synthesis, vacuolar pH, and seed coat development by genetically distinct mechanisms. Plant Cell 14: 2121–2135. DOI 10.1105/tpc.003772. [Google Scholar] [CrossRef]
Tanaka Y, Sasaki N, Ohmiya A. (2008). Biosynthesis of plant pigments: Anthocyanins, betalains and carotenoids. Plant Journal 54: 733–749. DOI 10.1111/j.1365-313X.2008.03447.x. [Google Scholar] [CrossRef]
Tohge T, de Souza LP, Fernie AR. (2017). Current understanding of the pathways of flavonoid biosynthesis in model and crop plants. Journal of Experimental Botany 68: 4013–4028. DOI 10.1093/jxb/erx177. [Google Scholar] [CrossRef]
Wang Y, Chen P, Sun L, Li Q, Dai S, Sun Y, Kai W, Zhang Y, Liang B, Leng P. (2015). Transcriptional regulation of PaPYLs, PaPP2Cs and PaSnRK2s during sweet cherry fruit development and in response to abscisic acid and auxin at onset of fruit ripening. Plant Growth Regulation 75: 455–464. DOI 10.1007/s10725-014-0006-x. [Google Scholar] [CrossRef]
Wang Y, Zhou Z, Gao J, Wu Y, Xia Z, Zhang H, Wu J. (2016). The mechanisms of maize resistance to Fusarium verticillioides by comprehensive analysis of RNA-seq data. Frontiers in Plant Science 7: 1654. [Google Scholar]
Wang Z, Gerstein M, Snyder M. (2009). RNA-Seq: A revolutionary tool for transcriptomics. Nature Reviews Genetics 10: 57–63. DOI 10.1038/nrg2484. [Google Scholar] [CrossRef]
Wessinger CA, Rausher MD. (2012). Lessons from flower colour evolution on targets of selection. Journal of Experimental Botany 63: 5741–5749. DOI 10.1093/jxb/ers267. [Google Scholar] [CrossRef]
Wilbert S, Schemske D, Bradshaw HJr. (1997). Floral anthocyanins from two monkeyflower species with different pollinators. Biochemical Systematics and Ecology 25: 437–443. DOI 10.1016/S0305-1978(97)00027-6. [Google Scholar] [CrossRef]
Wild M, Davière JM, Cheminant S, Regnault T, Baumberger N, Heintz D, Baltz R, Genschik P, Achard P. (2012). The Arabidopsis DELLA RGA-LIKE3 is a direct target of MYC2 and modulates jasmonate signaling responses. Plant Cell 24: 3307–3319. DOI 10.1105/tpc.112.101428. [Google Scholar] [CrossRef]
Yin J, Jiang L, Wang L, Han X, Guo W, Li C, Zhou Y, Denton M, Zhang P. (2021). A high-quality genome of taro (Colocasia esculenta (L.) Schottone of the world’s oldest crops. Molecular Ecology Resources 21: 68–77. DOI 10.1111/1755-0998.13239. [Google Scholar] [CrossRef]
Zhu M, Chen G, Zhou S, Tu Y, Wang Y, Dong T, Hu Z. (2014). A new tomato NAC (NAM/ATAF1/2/CUC2) transcription factor, SlNAC4, functions as a positive regulator of fruit ripening and carotenoid accumulation. Plant and Cell Physiology 55: 119–135. DOI 10.1093/pcp/pct162. [Google Scholar] [CrossRef]
Supplementary Table S1. Overview of RNA-Seq paired-end data produced by Illumina Sequencing.
Supplementary Table S2. A list of differentially expressed transcripts in taro samples at different developmental stages. The differentially expressed transcripts were retrieved by FDR < 0.05 as a threshold level. The transcript IDs, FPKM values, GO terms and chromosomal position are mentioned in the table.
Supplementary Table S3. A detailed list of transcripts overlapping in pairwise comparisons of taro samples.
Supplementary Table S4. DETs involved in KEGG enriched flavonoid-anthocyanin biosynthesis pathway and their expression pattern. All the KEGG IDs and descriptions of each transcript related to the pathway are mentioned in the table.
Supplementary Table S5. A detailed list of phytohormones related transcripts. The phytohormone related transcripts are divided into separate clusters.
Supplementary Table S6. A detailed list of transcription factors expressed differentially in purple and non-purple pigmented taro samples.
Supplementary Table S7. K-Means clustering of genes based on standardized FPKM values.
Supplementary Table S8. A list of primers used for RNA-Seq data validation.
![]() | This work is licensed under a Creative Commons Attribution 4.0 International License, which permits unrestricted use, distribution, and reproduction in any medium, provided the original work is properly cited. |