Open Access
REVIEW
An Overview of Sequential Approximation in Topology Optimization of Continuum Structure
1 State Key Laboratory of Alternate Electrical Power System with Renewable Energy Sources, North China Electric Power University, Beijing, 102206, China
2 Faculty of Materials and Manufacturing, Beijing University of Technology, Beijing, 100124, China
3 New Energy and Energy Storage Division, China Southern Power Grid Technology Co., Ltd., Guangzhou, 510080, China
4 School of Mechanical Engineering, Inner Mongolia University of Technology, Hohhot, 010051, China
5 College of Energy and Power Engineering, Inner Mongolia University of Technology, Hohhot, 010051, China
* Corresponding Author: Yuhua Li. Email:
(This article belongs to the Special Issue: Structural Design and Optimization)
Computer Modeling in Engineering & Sciences 2024, 139(1), 43-67. https://doi.org/10.32604/cmes.2023.031538
Received 30 June 2023; Accepted 07 October 2023; Issue published 30 December 2023
Abstract
This paper offers an extensive overview of the utilization of sequential approximate optimization approaches in the context of numerically simulated large-scale continuum structures. These structures, commonly encountered in engineering applications, often involve complex objective and constraint functions that cannot be readily expressed as explicit functions of the design variables. As a result, sequential approximation techniques have emerged as the preferred strategy for addressing a wide array of topology optimization challenges. Over the past several decades, topology optimization methods have been advanced remarkably and successfully applied to solve engineering problems incorporating diverse physical backgrounds. In comparison to the large-scale equation solution, sensitivity analysis, graphics post-processing, etc., the progress of the sequential approximation functions and their corresponding optimizers make sluggish progress. Researchers, particularly novices, pay special attention to their difficulties with a particular problem. Thus, this paper provides an overview of sequential approximation functions, related literature on topology optimization methods, and their applications. Starting from optimality criteria and sequential linear programming, the other sequential approximate optimizations are introduced by employing Taylor expansion and intervening variables. In addition, recent advancements have led to the emergence of approaches such as Augmented Lagrange, sequential approximate integer, and non-gradient approximation are also introduced. By highlighting real-world applications and case studies, the paper not only demonstrates the practical relevance of these methods but also underscores the need for continued exploration in this area. Furthermore, to provide a comprehensive overview, this paper offers several novel developments that aim to illuminate potential directions for future research.Keywords
Nomenclature
| g0 | Objective function |
| gj | Constraint functions |
| x | The design variable vector containing the component xi |
| K | The global stiffness matrix |
| F | External load vector |
| U | Nodal displacement vector |
| Surrogate function of g0(x) | |
| Surrogate function of gj(x) | |
| Ei | The ith elemental young’s modulus |
| E0 | Young’s modulus of solid material |
| Emin | The minimum stiffness with typical value of E0/109 |
| λ | Lagrangian multiplier |
| Approximate terms of Hessian matrix | |
| Euclidean norm | |
| Replacement of Hessian matrix | |
| u, v | Penalization factor |
| V | Total volume in the structural design domain |
| c | Static compliance |
| Upper limit of the static compliance | |
| fE | Interpolation for young’s modulus |
| fv | Interpolation for volume fraction |
| ti | The ith independent topological variable |
| Maximum and minimum design variable | |
| y(x) | Intervening variable |
| ui, li | Lower and upper bound for moving asymptotes |
| αi, βi, γ | Parameters in MMA algorithm |
| H | Hessian matrix |
| A | Hessian matrix in Lagrangian function |
In a seminal work published in 1988, Bendsøe et al. introduced the homogenization theory into structural design and proposed the so-called homogenization methodology for topology optimization of continuum structures [1]. Since then, numerous approaches have emerged including variable density methods [2,3], evolutionary structural optimization method [4] and its improved version–bidirectional evolutionary structural optimization method (BESO) [5], a level-set method [6,7], moving morphable components framework [8], a feature-driven method [9]. The latest review or monograph on a particular topology optimization approach can be found in the literature for the density-based method [10], for BESO method [11], for level-set method [12], for feature-driven method [13], the floating projection method and its extension [14–16]. The above-mentioned numerical methodologies tend to permeate each other, which sometimes distinguishes their differences strictly [17,18]. Nowadays, with the implementation of topology optimization functions in popular commercial software, such as ANSYS, MSC Nastran, Abaqus, Hyperworks, TOSCA Structure, and so on, topology optimization has achieved widespread success in a variety of engineering applications, particularly in the aircraft and aerospace industry [19–21], building [22], additive manufacturing [23,24], meta-material and concurrent design [25,26] and energy industry [27–29], where weight, cost, and environment are strictly limited.
A multitude of design variable update schemes are now available in the topology optimization community [17]. Thanks to the educational paper and its open-source codes in all types of methods or one aspect of a specific problem, the beginners started their research without the need to grasp the sequential approximation concept and instead focused on the difficulties of a particular problem [30,31]. The rapid growth of topology optimization is largely attributable to the solid theoretical foundations established by the pioneers’ researchers in this area. In contrast to other critical technologies such as sensitivity analysis, filtering techniques, post-processing, etc., the development of sequential approximations and their corresponding optimizers has been relatively slow. The motive of this article is to review the utilization of the sequential approximation in structural optimization studies, especially in topology optimization. Several novel progresses are presented, to irradiate further research.
2 General Mathematical Formulations for Topology Optimization
Let us consider the general topology optimization problem with an objective function g0 total number of J constraint functions gj:
where x is the design variable vector containing the component xi, with the lower and upper bound
Assuming linear elasticity for continua, the equilibrium equation can be stated as
By writing the displacements as functions of the design variables via solving equilibrium equations, we acquire the nested formulation of the optimization problem as follows:
where
In the following section, we will introduce the most popular optimization solvers in topology optimization, such as optimality criteria (OC), sequential linear programming (SLP), convex linearization (CONLIN), method of moving asymptotes (MMA), sequential quadratic programming (SQP), and others. Topology optimization of continuum structure process explained through a flowchart as shown in Fig. 1, via different steps:

Figure 1: Flowchart for topology optimization of continuum structure using sequential approximation
Step 1: Define the design area for optimization
Step 2: Determine the design model-related parameters for topology optimization
Step 3: Implement the interpolation scheme for SIMP (Solid isotropic material with penalization) to predict material distribution within space.
Step 4: Perform sequential approximation (OC, SLP, CONLIN, SQP, MMA) for continuum structure optimization.
Step 5: Determine whether the convergence condition is satisfied, if satisfied then stop the iteration otherwise return to Step 4.
The variable density method, especially with the solid isotropic material with penalization (SIMP) interpolation, is undoubtedly one of the most renowned approaches due to its simple concept. The penalization scheme assumes a relationship between the elemental Young’s modulus
where both the move-limit m and damping parameter η are employed to stabilize the optimization loop. The lower bound
The term Bi in Eq. (3) can be defined as follows:
where the static compliance c and structural design volume V are adopted as the objective and constraint functions for the static optimization problem. The symbol λ denotes the Lagrangian multiplier that can be attained by a bi-sectioning strategy to meet the predefined volume constraint. Due to the prevalence of the 99-line educational program [33], newcomers are more attracted to topology optimization research with the foregoing formulation.
In the density-filter approach [34,35], a modified SIMP interpolation scheme is expressed as follows:
where Emin has a similar function to the parameter
In the presented OC algorithm, the Lagrange multiplier associated with a constraint is typically obtained via bisection search. Kumar and Suresh proposed a direct manner for the Lagrange multiplier, which exhibits several benefits including, fewer iterations, robust convergence, and insensitivity to the given material and load [38].
The intuition-based OC scheme permits efficient solutions of the computationally demanding problems in a relatively low number of iterations, especially for the compliance minimization issue with a single volume restriction. As all gradients have negative indicators, removing material will always increase compliance. However, conservative variable update by adjusting parameters allows the OC scheme to be applied to the flexible mechanism design and material design issues with material usage limits [39–41]. In addition, Amir proposed a compliance-contained OC technique employing a similar bisection strategy to resolve the volume minimization issue [42]. For instance, the optimized 2D and 3D cantilever structure obtained from the compliance-contained OC algorithm that is displayed in Fig. 2. Groenwold et al. demonstrated the consistency of the OC and the sequential optimization based on exponential intermediate variables [43,44]. In the following sections, the approximate function based on intermediate variables will be described.

Figure 2: The optimized results from compliance-contained OC algorithm for: (a) 2D cantilever structure; (b) 3D cantilever structure
2.2 Sequential Linear Programming
For optimization problem (1), the objective function and all constraints can be linear at the design x(k), resulting in the SLP sub-problem during the kth iteration:
Eq. (6) is an explicit approximation of the original problem (1) after obtaining g0, gj and all gradients for objective and constraint functions, which can be efficiently solved by mature algorithms in linear programming. As the linear Taylor expansion approximates locally, it is strongly advised to integrate a move limit into the actual optimization solution.
At present, solving topology optimization problems with SLP is uncommon. It is not surprising because the accuracy of this approximation is inferior to those that will follow in this paper. In the composite optimization problem, manufacturing constraints take the form of linear constraints, which makes the SLP algorithm more efficient at finding a solution [45,46].
Even for seasoned researchers, sequential structural approximation using reciprocal variables can be somewhat confounding. This is demonstrated by introducing an intervening variable y(x) for the sake of simplicity. The following expression can be derived from the linear Taylor series expansion:
The partial derivative of g with regard to the intervening variable yi can be calculated using the chain rule:
When we choose the equations yi = xi or yi = 1/xi, Eq. (7) can be reformulated as follows:
The Eq. (9) is indeed the linear Taylor expansion, whereas the Eq. (10) is called the reciprocal Taylor expansion. To distinguish between two equations, the superscripts L and R are adopted.
Fleury defined the approximation of g at x(k) by the combination of gL and gR in COLIN [47–49]:
In Eq. (11), the sets are defined as follows:
The COLIN is also known as a conservative approximation [50], i.e., for every possible sets S+ and S−, the following inequality is true:
Thus, the sub-problem using CONLIN approximation can be reformulated:
Based on inequality Eq. (13), it can be inferred that the solution of Eq. (14) must be more conservative, i.e., the objective function is larger than that of Eq. (1).
The CONLIN was furthered by multiple researchers. For example, Zhang et al. proposed a modified CONLIN approximation, which strengthens the convexity of the problem by introducing a convex factor [51]. In engineering software, the CONLIN approximation was successfully implemented in the early version of OptiStructTM, even as a milestone of topology optimization in this code [52]. Fig. 3 plots the optimized jacket structure of offshore wind turbine done by the authors’ group using OptiStructTM.

Figure 3: Optimization design procedure of jacket structure for offshore wind turbine
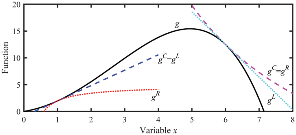
Example I We consider a fourth-order function
By differentiating g, we obtain that

Figure 4: CONLIN approximation of the function g
2.4 The Method of Moving Asymptotes
Despite the fact that COLIN has demonstrated its efficacy for a variety of structural optimization problems, it occasionally converges slowly due to excessively conservative approximations. In contrast, it does not converge at all, indicating that it is insufficiently conservative. To stabilize the optimization process, Svanberg developed a variant of COLIN by constructing artificial asymptotes [53]. The intervening variables in MMA are specified as follows:
where li and ui are the moving asymptotes. Throughout the whole optimization process, the following in equation will always be satisfied:
In MMA, the approximating function at x(k) can be expressed as follows:
where
Thus, the approximate structural optimization problem using MMA can be rewritten:
For the SIMP method, the MMA algorithm is widely regarded as one of the most dependable and efficient optimizers [17]. Followed by MMA, Svanberg proposed a class of globally convergent versions of MMA (GCMMA), also taking into account the optimization efficiency [54]. In GCMMA, the parameter
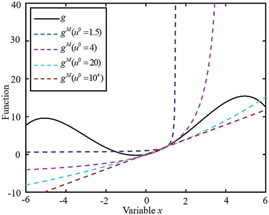
Example II We choose the same function g as in Example 1, aiming to illustrate the MMA approximation. The upper asymptote is set as 1.5, 4, 20, and 104. Fig. 5 plots the MMA approximations for various values of the upper asymptotes.

Figure 5: MMA approximation of the function g
We can see that as the upper asymptote approaches infinity from Fig. 5, the MMA approximation is almost linear, which is in agreement with the SLP.
In addition, the MMA algorithm is also used as the optimizer in various topology optimization methods, such as the stiffness spreading method [55–57], parameterized level-set method [58], an approach driven by MMC and moving morphable bars [59–61], series-expansion framework [62–64], the iso-geometric based method [65]. In addition to the compliance minimization problem, MMA is also applied to various non-self-adjoint problems, such as stress-constrained problems [66,67], fiber orientation optimization problems [68], transient excited and geometrically nonlinear structures [69,70], transient heat conduction [71], fail-safe design [72]. Among them, the default parameters may be different, and some numerical skills and experience are required for some particular methodologies or problems. As far as the authors are aware, the sensitivity-based topology optimization solver in commercial software TOSCA StructureTM is the basis of the MMA algorithm. Fig. 6 depicts an optimized mainframe in wind turbine by TOSCA StructureTM.

Figure 6: A optimized mainframe in wind turbine by TOSCA StructureTM
2.5 Two-Point or Three-Point Approximation
The preceding approximation function is characterized by the first order approximation and makes use of current data. On the basis of previous optimization iterations, it is anticipated that more precise approximations over a broader range can be attained.
Typically, Fadel et al. proposed a two-point approximation with the intervening variables [73]:
According to Eq. (7), we can obtain the following approximate function:
In Eq. (23), the undetermined parameter μi will be achieved based on the gradient information from the previous iteration which yields:
It is not surprising that several two-point or three-point approximation functions were proposed to enhance approximate accuracy and expand the approximate range, the majority of which were numerically tested by mathematical problems and truss optimization problems [74–81].
2.6 Sequential Quadratic Programming
When the second-order term is appended in the Taylor expansion of the objective function in SLP, the following SQP-based approximation occurs:
where the Hessian matrix H can be viewed as the only distinction between the SQP and the SLP. According to matrix H, structural optimization problems solved by SQP can be roughly classified into two groups, i.e., SQP with approximate Hessian and exact Hessian. In comparison to the first-order approximation, topology optimization of continuum structure has not been a particularly fruitful domain for quadratic approximations.
2.6.1 SQP with Approximate Hessian
One way to construct the SQP is the utilization of Newton’s method to find the stationary point of the Lagrangian function:
where λj represents the Lagrangian multipliers associated with the constraints gj(x). Take a second-order Taylor expansion of the Lagrange function at x(k):
The complete Hessian matrix A of the Lagrangian function in the Lagrange-Newton method can be calculated through Eq. (28).
The computation and storage of Hessian matrix A are burdensome due to the large number of design variables in structural optimization problems. To utilize the second derivative information efficiently in structural optimization problems, Fleury developed the diagonal SQP method and introduced parameters δi to control the move limit of design variables [82–84].
where
In certain practical situations, the second-order sensitivity information is undesirable. To overcome these difficulties, Grovenwold et al. proposed an incomplete series expansion (ISE) in which the approximate Hessian matrix
where the symbol
TopSQP is an efficient second-order SQP algorithm developed by Rojas-Labanda and Stople for structural topology optimization [89]. The TopSQP optimization framework concludes with two phases: an inequality quadratic phase (IQP), in which an inequality-constrained convex quadratic sub-problem is solved, and an equality-constrained quadratic phase (EQP), in which the active constraints found for the IQP are implemented. Both the IQP and EQP phases utilize the approximate Hessian
Rojas-Labanda and Stople conducted a comprehensive benchmark of topology optimization problems in conjunction with various optimizers, such as OC, MMA, and SQP. They concluded that the second-order information aids in obtaining accurate results and that SQP outperforms all other solutions for classical benchmark solvers [90]. For issues involving Stokes flows, Evgrafov developed a method for minimizing dissipated power that converges locally [91,92].
Recently, Zhang et al. [93] and Yan et al. [94] applied the SQP with approximate Hessian in discrete material optimization. Referring to Powell’s work [95], the Hessian matrix is replaced by an approximate matrix
where
As long as the
Generally, the SQP with approximate Hessian has garnered the interest of numerous academicians in structural optimization. No matter how the approximate methodology differs, one common pursuit is to obtain faster convergence at the lower calculation cost of sensitivity information.
Different from the aforementioned SQP family algorithms constructed second-order information based on mathematical programming, Sui et al. proposed a novel formulation, also known as the independent continuous mapping (ICM) method in 1996 [96], which can be viewed as an extension of the size optimization problem proposed [97–101]. This method is regarded to achieve topology optimization through material distribution. The description of the first letter “I” in the ICM method represents the topological variable of the ith element ti is independent of the physical parameters such as section area, relative density, and so on. Also, Young’s modulus and elemental volume are independently defined:
where fE(ti) and fv(ti) relate to Young’s modulus and volume of solid material with the topological variable, respectively.
A typical formulation for the function in Eq. (35) can be written as follows:
where μ and ν are the penalization factor.
The design variables xi have the form of the reciprocal function of fE(ti), i.e.,
When Eq. (37) is substituted into Eq. (38), it yields:
The elemental volume can be rewritten as follows:
According to Eq. (40), the first and second order derivatives with respect to xi can thus be calculated:
In contrast to prevalent density methods, the ICM method focuses on minimizing the total volume or weight while maintaining constraints on various structural responses. Taking the compliance constraint as an example, the topology optimization formulated can be mathematically stated as follows:
where V and
The volume function and compliance function can therefore be expressed by first-order and second-order Taylor expansion series. The original topology optimization problem can be converted as a quadratic program with second-order information, which provides another distinguishing feature over the widely used first-order method. From Eq. (41), we can easily obtain the second derivatives in Eq. (40) are always greater than zero. It can be inferred that the Hessian is positive definite and separable, which brings much allowing for efficient solution of the computationally demanding problem in a reasonable number of iterations.
Since the ICM approach was proposed, its applications have undergone tremendous developments with the efforts of their groups, also propelling the industry forward at the breakneck speed [102]. Up to now, the ICM method has been successfully applied to various constraints on structural response, including multiple nodal displacements, natural frequency, buckling, and so on [103–109]. In recent years, Peng et al. conducted systematic research based on the independence of design variables, by introducing the step function into the material property modeling [110–112]. Fig. 7 plots a typical optimized structure obtained from the ICM approach.

Figure 7: Optimized structures obtained from ICM approach
The ICM method aroused the attention of other scholars. Long et al. extended this method into the framework of meshless analysis [113], the stress-constrained problem for continuum structure subject to harmonic excitation [114], forced vibration structure containing multiple materials [115], transient heat transfer problem [116], concurrent design considering load carrying capabilities and thermal insulation [117], large-scale computing problem resort to reanalysis technique [118], fail-safe design combined with the load uncertainty [119], etc. [120]. Rong et al. introduced a design space expansion strategy to stabilize the ICM optimization process [121–123].
In recent years, the AL method has emerged as a viable approach to topology optimization, especially for extensive constraints. The AL method addresses constraints directly by appending them to the objective function as a penalty term with variable parameters. AL is not a novel concept in the field of structural optimization. For instance, the parameterized level set method has been successfully implemented to enforce a sole volume constraint [124].
Utilizing three phase projections including eroded, intermediate, and dilated, da Silva et al. employed the AL function for stress-constrained topology optimization problems while accounting for manufacturing uncertainties [125], which was then extended to the robust design of the compliant mechanism subject to both strength design requirement and manufacturing uncertainty [126]. For mass minimization under local stress constraints, Senhora et al. provided an AL-based topology optimization formulation by combining piecewise vanishing constraints [127]. Later, Giraldo-Londono et al. generalized the AL technique for the transient topology optimization issue by including stress constraints at each time step [128]. An aggregation-free local volume proportion formulation for porous structure was presented by Long et al. [129], which was subsequently developed into a multi-material porous structure [130]. The AL method is also performed to the topology optimization under constraints of multiple nodal displacements, maximum transient responses problem, and fatigue-resistance issue [131–133]. A porous bone structure using local volume constraint generated by the AL method is displayed in Fig. 8.

Figure 8: The porous structure generated by the AL method using local volume fraction
2.8 Sequential Approximate Integer Programming
BESO is the predominant discrete variable-based topology optimization approach. More recently, Sivapuram et al. treated topology optimization as a discrete variables-based optimized problem [134]. In their formulation, the initial optimization problem is transformed into SLP, which is then solved by integer linear programming (ILP). They expanded binary structures method into continuum structures subject to fluid structure, fluid flow, and thermal expansion loads via such a fundamental innovation [135–137]. And, they released the open-source code based on MatlabTM for distribution [138].
Liang et al. suggested a sequential approximate integer programming with a trust region framework to restrict the range of discrete design variables by linearizing the non-linear trust region constraint [139]. This provided method was also extended into 3D structures and convective heat transfer problems [140,141].
2.9 Non-Gradient Approximation
The majority of the existing topology optimization method is solved by the gradient-based algorithm, which is due in large part to the efficient sensitivity analysis approach. Sigmund gave a comprehensive analysis of the non-gradient topology optimization from multiple aspects including global solution, discrete designs, simple implementation, and efficiency, particularly for the SIMP method [142].
The two-point or three-point approximation belongs to the mid-range approximation. Since topology optimization requires repeated iterations until convergence, it is a natural choice to construct approximation functions using multi-point information to expand its approximate range. The approximation of this type can also be regarded as the connection of many local approximations, such as response surface and kriging model. Wang et al. presented a Hermite interpolation function using multi-point data generated during the iterative process of optimization [143]. Huang et al. proposed a multi-point approximation by utilizing both the value of an implicit function and its derivatives [144,145]. Although the multi-point approximation technique has been used in truss optimization, to the authors’ best knowledge, the multi-point approximation has not been performed in the topology optimization of continuum structures.
Luo et al. described structural topologies using the material-field series expansion, with the series expansion coefficients serving as the design variables [62]. This method has the added benefit of producing topologies with smooth boundaries. As a significant reduction of design variables, the structural approximation can be constructed on sensitivity or non-gradient data, such as Kriging models [146]. As sensitivity derivation is avoided, the non-gradient approach with few design variables is now effectively applied to large deformation problems, micro-structural design, etc. [147–151].
Recent years have witnessed rapid progress in artificial intelligence and neural networks. Some researchers have focused on topology optimization using these techniques, in an effort to accelerate the optimization iterations or enhance graphics post-processing. AI technology is used to establish the implicit connection between structural response and design variables. Woldseth et al. performed a comprehensive analysis of the combination of artificial neural networks and topology optimization [152]. Consequently, these associated studies fall outside the scope of this article.
Authors are aware that the number of applicable optimizers is relatively limited, particularly for a wide range of multiphysics topology optimization with nontrivial and multiple constraints. For decades, the MMA and its globally convergent variant have been regarded as the most reliable optimizers. The authors conclude that inadequate research has been conducted on the use of contemporary mathematical programming techniques to solve large-scale, complex topology optimization problems. The AL method, ILP, and optimization algorithm based on non-gradient approximation require further development.
Sequential approximation, a crucial technique in topology optimization, has attracted a great deal of interest since the beginning of structural optimization. After decades of research advancements in topology optimization, the community has settled on a handful of sequential approximations. MMA and its global convergent version become dominant among them. This allows researchers to concentrate on other essential technologies. This paper provides a comprehensive overview of sequential approximation, its related topology optimization methods, and its applications. The initial section provides a concise introduction to the optimality criteria and sequential linear programming. The subsequent section introduces the intervening variables in order to explore various forms of sequential approximation, including COLIN, MMA, two-point or three-point approximation, and SQP. This paper presents the latest improvements in the field, including AL function, sequential approximate integer programming, and non-gradient approximation, aiming to aid researchers effectively choosing the most suitable approximate form for their studies. It is anticipated that a forthcoming proposal will present a notable advancement in the field of topology optimization, specifically in relation to sequential approximation.
Acknowledgement: We thank Professor Yunkang Sui (Beijing University of Technology) partly for his pioneering research on topology optimization solved by SQP since 1996, and partly for his personality on the first author’s scientific career.
Funding Statement: This work was financially supported by the National Key R&D Program (2022YFB4201302), Guang Dong Basic and Applied Basic Research Foundation (2022A1515240057), and the Huaneng Technology Funds (HNKJ20-H88).
Author Contributions: The authors confirm their contribution to the paper as follows: study concept, writing, and interpretation of results: Kai Long, Ayesha Saeed; data collection: Jinhua Zhang, Yara Diaeldin, and Feiyu Lu; analysis and design: Tao Tao, Yuhua Li; draft manuscript preparation: Pengwen Sun, Jinshun Yan. All authors reviewed the results and approved the final version of the manuscript.
Availability of Data and Materials: Data will be provided on request.
Conflicts of Interest: The authors declare that they have no conflicts of interest to report regarding the present study.
References
1. Bendsøe, M. P., Kikuchi, N. (1988). Generating optimal topologies in structural design using a homogenization method. Computer Methods in Applied Mechanics and Engineering, 71(2), 197–224. [Google Scholar]
2. Bendsøe, M. P. (1989). Optimal shape design as a material distribution problem. Structural Optimization, 1(4), 193–202. [Google Scholar]
3. Zhou, M., Rozvany, G. I. N. (1991). The COC algorithm, part II: Topological, geometry and generalized shape optimization. Computer Methods in Applied Mechanics and Engineering, 89(1–3), 309–336. [Google Scholar]
4. Xie, Y. M., Steven, G. P. (1993). A simple evolutionary procedure for structural optimization. Computers and Structures, 49(5), 885–896. [Google Scholar]
5. Huang, X., Xie, Y. M. (2010). Evolutionary topology optimization of continuum structures: Methods and applications. John Wiley & Sons. https://doi.org/10.1002/9780470689486 [Google Scholar] [CrossRef]
6. Allaire, G., Jouve, F., Toader, A. M. (2002). A level-set method for shape optimization. Comptes Rendus Mathematique, 334(12), 1125–1130. [Google Scholar]
7. Wang, M. Y., Wang, X., Guo, D. (2003). A level set method for structural topology optimization. Computer Methods in Applied Mechanics and Engineering, 192(1–2), 227–246. [Google Scholar]
8. Guo, X., Zhang, W., Zhong, W. (2014). Doing topology optimization explicitly and geometrically–A new moving morphable components based framework. Journal of Applied Mechanics, 81(8), 081009. [Google Scholar]
9. Zhou, Y., Zhang, W., Zhu, J., Xu, Z. (2016). Feature-driven topology optimization method with signed distance function. Computer Methods in Applied Mechanics and Engineering, 310(1), 1–32. [Google Scholar]
10. Sigmund, O. (2020). EML webinar overview: Topology optimization–status and perspectives. Extreme Mechanics Letters, 39, 100855. [Google Scholar]
11. Xia, L., Xia, Q., Huang, X., Xie, Y. M. (2018). Bi-directional evolutionary structural optimization and advanced structures and materials: A comprehensive review. Archives of Computational Methods in Engineering, 25, 437–478. [Google Scholar]
12. Dijk, N. P., Maute, K., Langellar, M., Keulen, F. (2013). Level-set methods for structural topology optimization: A review. Structural and Multidisciplinary Optimization, 48, 437–472. [Google Scholar]
13. Zhang, W., Zhou, Y. (2022). The feature-driven method for structural optimization, pp. 335–340. Elsevier. https://doi.org/10.1016/C2019-0-03253-0 [Google Scholar] [CrossRef]
14. Huang, X. (2020). Smooth topological design of structures using the floating projection. Engineering Structures, 208, 110330. [Google Scholar]
15. Fu, Y. F., Rolfe, B., Louis, N. S., Wang, Y., Huang, X. et al. (2020). SEMDOT: Smooth-edged material distribution for optimizing topology algorithm. Advances in Engineering Software, 150, 102921. [Google Scholar]
16. Fu, Y. F., Rolfe, B. (2023). Non-penalization topology optimization for maximizing natural frequency using SEMDOT. Proceedings of IASS Annual Symposia, vol. 2023, no. 1, pp. 1–7. International Association for Shell and Spatial Structures (IASS). [Google Scholar]
17. Sigmund, O., Maute, K. (2013). Topology optimization approaches–A comparative review. Structural and Multidisciplinary Optimization, 48, 1031–1055. [Google Scholar]
18. Sigmund, O. (2022). On benchmarking and good scientific practice in topology optimization. Structural and Multidisciplinary Optimization, 65, 315. [Google Scholar]
19. Zhu, J. H., Zhang, W. H., Xia, L. (2016). Topology optimization in aircraft and aerospace structures. Archives of Computational Methods in Engineering, 23, 595–622. [Google Scholar]
20. Zhu, J. H., Zhou, H., Wang, C., Zhou, L., Yuan, S. et al. (2021). A review of topology optimization for additive manufacturing: Status and challenges. Chinese Journal of Aeronautics, 34(1), 91–110. [Google Scholar]
21. Wu, Y., Qiu, W., Xia, L., Li, W., Feng, K. (2021). Design of an aircraft engine bracket using stress-constrained bi-directional evolutionary structural optimization method. Structural and Multidisciplinary Optimization, 64, 4147–4159. [Google Scholar]
22. Beghini, L. L., Beghini, A., Katz, N., Baker, W. F., Paulino, G. H. (2014). Connecting architecture and engineering through structural topology optimization. Engineering Structures, 59, 716–726. [Google Scholar]
23. Wang, X., Xu, S., Zhou, S., Xu, W., Leary, M. et al. (2016). Topological design and additive manufacturing of porous metal for bone scaffolds and orthopaedic implants: A review. Biomaterials, 83, 127–141. [Google Scholar] [PubMed]
24. Meng, L., Zhang, W., Quan, D., Shi, G., Tang, L. et al. (2020). From topology optimization design to additive manufacturing: Today’s success and tomorrow’s roadmap. Archives of Computational Methods in Engineering, 27, 805–830. [Google Scholar]
25. Long, K., Yuan, P. F., Xu, S., Xie, Y. M. (2017). Concurrent topological design of composite structures and materials containing multiple phases of distinct poisson’s ratios. Engineering Optimization, 50(4), 599–614. [Google Scholar]
26. Da, D., Cui, X. Y., Long, K., Li, G. Y. (2017). Concurrent topological design of composite structures and the underlying multi-phase materials. Computers and Structures, 179, 1–14. [Google Scholar]
27. Zhang, C., Long, K., Zhang, J., Lu, F., Bai, X. et al. (2022). A topology optimization methodology for the offshore wind turbine jacket structure in the concept phase. Ocean Engineering, 262, 112974. [Google Scholar]
28. Lu, F., Long, K., Zhang, C., Zhang, J., Tao, T. (2023). A novel design of the offshore wind turbine tripod structure using topology optimization methodology. Ocean Engineering, 280, 114607. [Google Scholar]
29. Lu, F., Long, K., Diaeldin, Y., Saeed, A., Zhang, J. (2023). A time-domain fatigue damage assessment approach for the tripod structure of off-shore wind turbine. Sustainable Energy Technologies and Assessments, 60, 103450. [Google Scholar]
30. Wang, C., Zhao, Z., Zhou, M., Sigmund, O., Zhang, X. S. (2021). A comprehensive review of educational articles on structural and multidisciplinary optimization. Structural and Multidisciplinary Optimization, 64, 2827–2880. [Google Scholar]
31. Wang, Y., Li, X., Long, K., Wei, P. (2023). Open-source codes of topology optimization: A summary for beginners to start their research. Computer Modeling in Engineering & Sciences, 137(1), 1–34. https://doi.org/10.32604/cmes.2023.027603 [Google Scholar] [CrossRef]
32. Barthelemy, J. F. M., Haftka, R. T. (1993). Approximation concepts for optimum structural design–A review. Structural Optimization, 5, 129–144. [Google Scholar]
33. Sigmund, O. (2001). A 99 line topology optimization code written in Matlab. Structural and Multidisciplinary Optimization, 21, 120–127. [Google Scholar]
34. Bruns, T. E., Tortorelli, D. A. (2001). Topology optimization of non-linear elastic and compliant mechanisms. Computer Methods in Applied Mechanics and Engineering, 190(26–27), 3443–3459. [Google Scholar]
35. Bourdin, B. (2001). Filters in topology optimization. International Journal for Numerical Methods in Engineering, 50(9), 2143–2158. [Google Scholar]
36. Andreassen, E., Clausen, A., Schevenels, M., Lazarov, B. S. (2011). Efficient topology optimization in Matlab using 88 lines of code. Structural and Multidisciplinary Optimization, 43, 1–16. [Google Scholar]
37. Ferrari, F., Sigmund, O. (2020). A new generation 99 line Matlab code for compliance topology optimization and its extension to 3D. Structural and Multidisciplinary Optimization, 62, 2211–2228. [Google Scholar]
38. Kumar, T., Suresh, K. (2020). Direct lagrange multiplier updates in topology optimization revisited. Structural and Multidisciplinary Optimization, 63, 1563–1578. [Google Scholar]
39. Xia, L., Breitkopf, P. (2015). Design of materials using topology optimization and energy-based homogenization approach in Matlab. Structural and Multidisciplinary Optimization, 52, 1229–1241. [Google Scholar]
40. Long, K., Du, X., Xu, S., Xie, Y. M. (2016). Maximizing the effective Young’s modulus of a composite material by exploiting the poisson effect. Composite Structures, 153, 593–600. [Google Scholar]
41. Long, K., Yang, X., Saeed, N., Chen, Z., Xie, Y. M. (2021). Topological design of microstructures of materials containing multiple phases of distinct poisson’s ratios. Computer Modeling in Engineering & Sciences, 126(1), 293–310. https://doi.org/10.32604/cmes.2021.012734 [Google Scholar] [CrossRef]
42. Amir, O. (2015). Revisiting approximate reanalysis in topology optimization: On the advantages of recycled preconditioning in a minimum weight procedure. Structural and Multidisciplinary Optimization, 51, 41–57. [Google Scholar]
43. Grovenwold, A. A., Etman, L. F. P. (2010). On the conditional acceptance of iterates in SAO algorithms based convex separable approximations. Structural and Multidisciplinary Optimization, 42, 168–178. [Google Scholar]
44. Groenwold, A. A., Etman, L. F. P., Wood, D. E. (2010). Approximated approximations for SAO. Structural and Multidisciplinary Optimization, 41, 39–56. [Google Scholar]
45. Duan, Z., Yan, J., Lee, I., Lund, E., Wang, J. (2019). Discrete material selection and structural topology optimization of composite frames for maximum fundamental frequency with manufacturing constraints. Structural and Multidisciplinary Optimization, 60, 1741–1758. [Google Scholar]
46. Duan, Z., Jung, Y., Yan, J., Lee, I. (2020). Reliability-based multi-scale design optimization of composite frames considering structural compliance and manufacturing constraints. Structural and Multidisciplinary Optimization, 61, 2401–2421. [Google Scholar]
47. Fleury, C. (1979). Structural weight optimization by dual method of convex programming. International Journal for Numerical Methods in Engineering, 14(12), 1761–1783. [Google Scholar]
48. Fleury, C., Braibant, V. (1986). Structural optimization: A new dual method using mixed variables. International Journal for Numerical Methods in Engineering, 23, 409–428. [Google Scholar]
49. Fleury, C. (1989). Conlin: An efficient dual optimizer based on convex approximation concepts. Structural Optimization, 1(2), 81–89. [Google Scholar]
50. Haftka, R. T., Stanes, J. H. (1976). Application of a quadratic extended interior penalty function of structural optimization. AIAA Journal, 14, 718–724. [Google Scholar]
51. Zhang, W. H., Fleury, C. (1997). A modification of convex approximation methods for structural optimization. Computers and Structures, 64, 89–95. [Google Scholar]
52. Thomas, H., Zhou, M., Schrramm, U. (2002). Issues of commercial optimization software development. Structural and Multidisciplinary Optimization, 23, 97–110. [Google Scholar]
53. Svanberg, K. (1987). The method of moving asymptotes–A new method for structural optimization. International Journal for Numerical Methods in Engineering, 24, 359–373. [Google Scholar]
54. Svanberg, K. (2002). A class of globally convergent optimization methods based on conservative convex separable approximation. SIAM Journal on Optimization, 12(2), 555–573. [Google Scholar]
55. Wei, P., Ma, H., Wang, M. Y. (2014). The stiffness spreading method for layout optimization of truss structures. Structural and Multidisciplinary Optimization, 49, 667–682. [Google Scholar]
56. Li, Y., Wei, P., Ma, H. (2017). Integrated optimization of heat-transfer systems consisting of discrete thermal conductors and solid material. International Journal of Heat and Mass Transfer, 113, 1059–1069. [Google Scholar]
57. Cao, M., Ma, H., Wei, P. (2018). A modified stiffness spreading method for layout optimization of truss structures. Acta Mechanica Sinica, 34, 1072–1083. [Google Scholar]
58. Li, Y., Li, Z., Wei, P., Wang, W. (2018). Parameterized level-set based topology optimization method considering symmetry and pattern repetition constraints. Computer Methods in Applied Mechanics and Engineering, 340, 1079–1101. [Google Scholar]
59. Zhang, W., Yuan, J., Zhang, J., Guo, X. (2016). A new topology optimization approach based on moving morphable components (MMC) and the ersatz material model. Structural and Multidisciplinary Optimization, 53, 1243–1260. [Google Scholar]
60. Wang, X., Long, K., Hoang, V. N., Hu, P. (2018). An explicit optimization model for integrated layout design of planar multi-component systems using moving morphable bars. Computer Methods in Applied Mechanics and Engineering, 342, 46–70. [Google Scholar]
61. Wang, X., Long, K., Meng, Z., Yu, B., Cheng, C. (2021). Explicit multi-material topology optimization embedded with variable-size movable holes using moving morphable bars. Engineering Optimization, 53(7), 1212–1229. [Google Scholar]
62. Luo, Y., Bao, J. (2019). A Material-field series-expansion method for topology optimization of continuum structures. Computers and Structures, 225, 106122. [Google Scholar]
63. Liu, P., Yan, Y., Zhang, X., Luo, Y., Kang, Z. (2021). Topological design of microstructures using periodic material-field series-expansion and gradient-free optimization algorithm. Materials and Design, 199, 109437. [Google Scholar]
64. Liu, P., Yan, Y., Zhang, X., Luo, Y. (2021). A matlab code for the material-field series-expansion topology optimization method. Frontiers of Mechanical Engineering, 16, 607–622. [Google Scholar]
65. Wang, Y., Xiao, M., Xia, Z., Li, P., Gao, L. (2023). From computer-aided design (CAD) toward human-aided design (HADAn isogeometric topology optimization approach. Engineering, 22, 94–105. [Google Scholar]
66. Cheng, C., Yang, B., Wang, X., Long, K. (2022). Reliability-based topology optimization using the response surface method for stress-constrained problems considering load uncertainty. Engineering Optimization, 55(11). https://doi.org/10.1080/0305215X.2022.2134357 [Google Scholar] [CrossRef]
67. Yang, B., Cheng, C., Wang, X., Bai, S., Long, K. (2023). Robust reliability-based topology optimization for stress-constrained continuum structures using poloynomial chaos expansion. Structural and Multidisciplinary Optimization, 66, 88. [Google Scholar]
68. Wang, X., Meng, Z., Yang, B., Cheng, C., Long, K. et al. (2022). Reliability-based design optimization of material orientation and structural topology of fiber-reinforced composite structures under load uncertainty. Composite Structures, 291, 115537. [Google Scholar]
69. Long, K., Yang, X., Saeed, N., Tian, X., Wen, P. et al. (2021). Topology optimization of transient problem with maximum dynamic response constraint using SOAR scheme. Frontiers of Mechanical Engineering, 16, 593–606. [Google Scholar]
70. Chen, Z., Long, K., Wang, X., Liu, J., Saeed, N. (2021). A new geometrically nonlinear topology optimization formulation for controlling maximum displacement. Engineering Optimization, 53(8), 1283–1297. [Google Scholar]
71. Zhao, Q., Zhang, H., Wang, F., Zhang, T., Li, X. (2021). Topology optimization of non-fourier heat conduction problems considering global thermal dissipation energy minimization. Structural and Multidisciplinary Optimization, 164, 1385–1399. [Google Scholar]
72. Wang, X., Shi, Y., Hoang, V. N., Meng, Z., Long, K. et al. Reliability-based topology optimization of fail-safe structures using moving morhpable bars. Computer Modelling in Engineering & Sciences, 136(3), 3173–3195. https://doi.org/10.32604/cmes.2023.025501 [Google Scholar] [CrossRef]
73. Fadel, G. M., Riley, M. F., Barthelemy, J. M. (1990). Two point exponential approximation method for structural optimization. Structural Optimization, 2, 117–124. [Google Scholar]
74. Wang, L., Grandhi, R. V. (1995). Improved two-point function approximations for design optimization. AIAA Journal, 33(9), 1720–1727. [Google Scholar]
75. Xu, S., Grandhi, R. V. (1998). Effective two-point function approximations for design optimization. AIAA Journal, 36(12), 2269–2275. [Google Scholar]
76. Guo, X., Yamazaki, K., Cheng, G. D. (2000). A new two-point approximation approach for structural optimization. Structural and Multidisciplinary Optimization, 20, 22–28. [Google Scholar]
77. Guo, X., Yamazaki, K., Cheng, G. D. (2001). A new three-point approximation approach for design optimization problems. International Journal for Numerical Methods for Numerical Methods in Engineering, 50, 869–884. [Google Scholar]
78. Salajegheh, E. (1997). Optimum design of plate structures using three-point approximation. Structural Optimization, 13, 142–147. [Google Scholar]
79. Bruyneel, M., Duysinx, P., Fleury, C. (2002). A family of MMA approximations for structural optimization. Structural and Multidisciplinary Optimization, 24, 263–276. [Google Scholar]
80. Yoon, G. H., Grovenwold, A. A., Choi, D. H. (2014). A globally convergent sequential convex programming using an enhanced two-point diagonal quadratic approximation for structural optimization. Structural and Multidisciplinary Optimization, 50(5), 739–753. [Google Scholar]
81. Lei, L., Khandelwal, K. (2014). Two-point gradient-based MMA (TGMMA) algorithm for topology optimization. Computers and Structures, 131, 34–45. [Google Scholar]
82. Lei, L., Khandelwal, K. (2015). An adaptive quadratic approximation for structural and topology optimization. Computers and Structures, 151, 130–147. [Google Scholar]
83. Fleury, C. (1989). Efficient approximation concepts using second order information. International Journal for Numerical Methods in Engineering, 28(9), 2041–2058. [Google Scholar]
84. Fleury, C. (1989). First and second order convex approximation strategies in structural optimization. Structural Optimization, 1(1), 3–10. [Google Scholar]
85. Grovenwold, A. A., Etman, L. F. P., Snyman, J. A., Rooda, J. E. (2007). Incomplete series expansion for function approximation. Structural and Multidisciplinary Optimization, 34, 21–40. [Google Scholar]
86. Grovenwold, A. A., Etman, L. F. P. (2008). Sequential approximate optimization using dual subproblems based on incomplete series expansions. Structural and Multidisciplinary Optimization, 36(6), 547–570. [Google Scholar]
87. Grovenwold, A. A., Etman, L. F. P. (2008). On the equivalence of optimality criterion and sequential approximate optimization methods in the classical topology layout problem. International Journal for Numerical Methods in Engineering, 73, 297–316. [Google Scholar]
88. Grovenwold, A. A., Etman, L. F. P. (2010). A quadratic approximation for structural topology optimization. International Journal for Numerical Methods in Engineering, 82(4), 505–524. [Google Scholar]
89. Rojas-Labanda, S., Stople, M. (2016). An efficient second-order SQP method for structural topology optimization. Structural and Multidisciplinary Optimization, 53(6), 1315–1333. [Google Scholar]
90. Rojas-Labanda, S., Stople, M. (2015). Benchmarking optimization solvers for structural topology optimization. Structural and Multidisciplinary Optimization, 52(3), 527–547. [Google Scholar]
91. Evgrafov, A. (2014). State space Newton’s method for topology optimization. Computer Methods in Applied Mechanics and Engineering, 278, 272–290. [Google Scholar]
92. Evgrafov, A. (2015). On chebyshev’s method for topology optimization of stokes flow. Structural and Multidisciplinary Optimization, 51, 801–811. [Google Scholar]
93. Zhang, L., Guo, L., Sun, P., Yan, J., Long, K. (2023). A generalized discrete fiber angle optimization method for composite structures: Bipartite interpolation optimization. International Journal for Numerical Methods in Engineering, 124(5), 1211–1229. [Google Scholar]
94. Yan, J., Sun, P., Zhang, L., Hu, W., Long, K. (2022). SGC–A novel optimization method for the discrete fiber orientation of composites. Structural and Multidisciplinary Optimization, 65(4), 1–16. [Google Scholar]
95. Powell, M. J. D. (1978). Algorithms for nonlinear constraints that use langrangian functions. Mathematical Programming, 14, 224–248. [Google Scholar]
96. Sui, Y., Peng, X. (2018). Modelling, solving and application for topology optimization of continuum structures. Tsinghua University Press. https://doi.org/10.1016/C2015-0-04148-X [Google Scholar] [CrossRef]
97. Qian, L. X., Zhong, W. X., Sui, Y. K., Zhang, J. D. (1980). Optimum design of structures with multiple types of element under multiple loading cases and multiple constraints–program system DDDU. Journal of Dalian Institute of Technology, 19(4), 1–17. [Google Scholar]
98. Qian, L. X., Zhong, W. X. (1983). Sequential quadratic programming approach in engineering structural optimization. Acta Mechanica Solida Sinica, 22(4), 469–480. [Google Scholar]
99. Qian, L. X., Zhong, W. X., Cheng, K. T., Sui, Y. K. (1984). An approach to structural optimization–sequential quadratic programming, SQP. Engineering Optimization, 8(1), 83–100. [Google Scholar]
100. Xia, R. W., Liu, P. (1987). Structural optimization based on second-order approximations of functions and dual theory. Computer Methods in Applied Mechanics and Engineering, 65, 101–114. [Google Scholar]
101. Zhou, M., Xia, R. W. (1990). Two-level approximation concept in structural synthesis. International Journal for Numerical Methods in Engineering, 29(8), 1681–1699. [Google Scholar]
102. Sui, Y., Peng, X. (2006). The ICM method with objective function transformed by variable discrete condition for continuum structure. Acta Mechanica Sinica, 22, 68–75. [Google Scholar]
103. Ye, H. L., Chen, N., Sui, Y. K., Tie, J. (2015). Three-dimensional dynamic topology optimization with frequency constraints using composite exponential function and ICM method. Mathematical Problems with Engineering, 2015, 491084. https://doi.org/10.1155/2015/491084 [Google Scholar] [CrossRef]
104. Ye, H. L., Wang, W. W., Chen, N., Sui, Y. K. (2016). Plate/shell topological optimization subject to linear buckling constraints by adopting composite exponential filtering function. Acta Mechanica Sinica, 32, 649–658. [Google Scholar]
105. Ye, H. L., Dai, Z. J., Wang, W. W., Sui, Y. K. (2019). ICM method for topology optimization of multimaterial continuum structure with displacement constraint. Acta Mechanica Sinica, 35, 552–562. [Google Scholar]
106. Wang, W. W., Ye, H. L., Li, Z. H., Sui, Y. K. (2022). Stiffness and strength topology optimization for bi-disc systems based on dual sequential quadratic programming. International Journal for Numerical Methods in Engineering, 122(17), 4073–4093. [Google Scholar]
107. Ye, H. L., Wang, W. W., Chen, N., Sui, Y. K. (2017). Plate/shell structure topology optimization of orthotropic material for buckling problem based on independent continuous topology variables. Acta Mechanica Sinica, 33, 899–911. [Google Scholar]
108. Wang, W., Ye, H., Sui, Y. (2019). Lightweight topology optimization with buckling and frequency constraints using the independent continuous mapping method. Acta Mechanica Solida Sinica, 32, 310–325. [Google Scholar]
109. Du, J., Guo, Y., Chen, Z., Sui, Y. (2019). Topology optimization of continuum structures considering damage based on independent continuous mapping method. Acta Mechanica Sinica, 35, 433–444. [Google Scholar]
110. Peng, X., Sui, Y. (2021). Lightweight topology optimization with consideration of the fail-safe design principle for continuum structures. Engineering Optimization, 53(1), 32–48. [Google Scholar]
111. Peng, X., Sui, Y. (2018). Modelling, solving and application for topology optimization of continuum structures: ICM method based on step function. Cambridge: Elsevier Inc. [Google Scholar]
112. Sui, Y. K., Peng, X. (2019). Explicit model of dual programming and solving method for a class of separable convex programming problems. Engineering Optimization, 51(9), 1604–1625. [Google Scholar]
113. Long, K., Zuo, Z. X., Xiao, T., Zuberi, R. H. (2010). ICM method combined with meshfree approximation for continuum structure. Journal of Beijing Institute of Technology, 19(3), 279–285. [Google Scholar]
114. Long, K., Wang, X., Liu, H. (2019). Stress-constrained topology optimization of continuum structures subject to harmonic force excitation using sequential quadratic programming. Structural and Multidisciplinary Optimization, 59, 1747–1759. [Google Scholar]
115. Long, K., Wang, X., Gu, X. (2018). Local optimum in multi-material topology optimization and solution by reciprocal variable. Structural and Multidisciplinary Optimization, 57, 1283–1295. [Google Scholar]
116. Long, K., Wang, X., Gu, X. (2018). Multi-material topology optimization for the transient heat conduction problem using a sequential quadratic programming algorithm. Engineering Optimization, 50(12), 2091–2107. [Google Scholar]
117. Long, K., Wang, X., Gu, X. (2018). Concurrent topology optimization for minimization of total mass considering load-carrying capabilities and thermal insulation simultaneously. Acta Mechanica Sinica, 34, 315–326. [Google Scholar]
118. Long, K., Gu, C., Wang, X., Liu, J., Du, Y. et al. (2019). A novel minimum weight formulation of topology optimization implemented with reanalysis approach. International Journal for Numerical Methods in Engineering, 120, 567–579. [Google Scholar]
119. Long, K., Wang, X., Du, Y. (2019). Robust topology optimization formulation including local failure and load uncertainty using sequential quadratic programming. International Journal of Mechanics and Materials in Design, 15, 317–332. [Google Scholar]
120. Saeed, N., Li, X., Long, K., Zhou, H., Saeed, A. et al. (2023). A quadratic approximation for volume minimization topology optimization. Structures, 53, 1341–1348. [Google Scholar]
121. Rong, J. H., Yi, J. H. (2010). A structural topological optimization method for multi-displacement constraints and any initial topology configuration. Acta Mechanica Sinica, 26, 735–744. [Google Scholar]
122. Rong, J. H., Liu, H. X., Yi, L. J., Yi, J. H. (2011). An efficient structural topological optimization method for continuum structures with multiple displacement constraints. Finite Elements in Analysis and Design, 47, 913–921. [Google Scholar]
123. Rong, J. H., Zhao, Z. J., Xie, Y. M., Yi, J. J. (2013). Topology optimization of finite similar periodic continuum structures based on a density exponent interpolation model. Computer Modelling in Engineering & Sciences, 90(3), 211–231. https://doi.org/10.1186/1687-2770-2013-86 [Google Scholar] [CrossRef]
124. Wei, P., Li, Z., Li, X., Wang, M. Y. (2018). An 88-line MATLAB code for the parameterized level set method based topology optimization using radial basis function. Structural and Multidisciplinary Optimization, 58, 831–849. [Google Scholar]
125. Silva, G. A., Beck, A. T., Sigmund, O. (2019). Stress-constrained topology considering uniform manufacturing uncertainties. Computer Methods in Applied Mechanics and Engineering, 344(1), 512–537. [Google Scholar]
126. Silva, G. A., Bech, A., Sigmund, O. (2019). Topology optimization of compliant mechanisms with stress constraints and manufacturing error robustness. Computer Methods in Applied Mechanics and Engineering, 354, 397–421. [Google Scholar]
127. Senhora, F. V., Giraldo-Londono, O., Menezes, I. F. M., Paulino, G. H. (2020). Topology optimization with local stress constraints: A stress aggregation-free approach. Structural and Multidisciplinary Optimization, 62, 1639–1668. [Google Scholar]
128. Giraldo-Londono, O., Aguilo, M. A., Paulino, G. H. (2021). Local stress constraints in topology optimization of structures subject to arbitrary dynamic loads: A stress aggregation-free approach. Structural and Multidisciplinary Optimization, 64, 3287–3309. [Google Scholar]
129. Long, K., Chen, Z., Zhang, C., Yang, X., Saeed, N. (2021). An aggregation-free local volume fraction formulation for topological design of porous structure. Material, 14, 5726. [Google Scholar]
130. Zhang, C., Long, K., Chen, Z., Yang, X., Lu, F. et al. (2023). Multi-material topology optimization for spatial-varying porous structures. Computer Modelling in Engineering & Sciences, 138(1), 369–390. https://doi.org/10.32604/cmes.2023.029876 [Google Scholar] [CrossRef]
131. Saeed, N., Long, K., Li, L., Saeed, A., Zhang, C. et al. (2022). An augmented lagrangian method for multiple nodal displacement-constrained topology optimization. Engineering Optimization, https://doi.org/10.1080/0305215X.2022.2129628 [Google Scholar] [CrossRef]
132. Zhang, C., Long, K., Yang, X., Chen, Z., Saeed, N. et al. (2022). A transient topology optimization with time-varying deformation restriction via augmented Lagrange method. International Journal of Mechanics and Materials in Design, 18, 683–700. [Google Scholar]
133. Chen, Z., Long, K., Zhang, C., Yang, X., Lu, F. et al. (2023). A fatigue-resistance topology optimization formula for continua subject to general loads using rainlfow counting. Structural and Multidisciplinary Optimization, 66, 210. [Google Scholar]
134. Sivapuram, R., Picelli, R. (2018). Topology optimization of binary structures under integer linear programming. Finite Elements in Analysis and Design, 13, 49–61. [Google Scholar]
135. Sivapuram, R., Picelli, R. (2020). Topology design of binary structures subjected to design-dependent thermal expansion and fluid pressure loads. Structural and Multidisciplinary Optimization, 61, 1877–1895. [Google Scholar]
136. Picelli, R., Ranjbarzadeh, S., Sivapuram, R., Gioria, R. S., Silva, E. C. N. (2020). Topology optimization of binary structures under design-dependent fluid-structures interaction loads. Structural and Multidisciplinary, 62, 2101–2116. [Google Scholar]
137. Souza, B. C., Yamabe, P. V. M., Sa, L. F. N., Ranjbarzadeh, S., Picelli, R. et al. (2021). Topology optimization of fluid flow by using integer linear programming. Structural and Multidisciplinary Optimization, 64, 1221–1240. [Google Scholar]
138. Picelli, R., Sivapuram, R., Xie, Y. M. (2021). A 101-line MATLAB code for topology optimization using binary. Structural and Multidisciplinary Optimization, 63, 935–954. [Google Scholar]
139. Liang, Y., Sun, K., Cheng, G. (2020). Discrete variable topology optimization for compliant mechanism design via sequential approximate integer programming with trust region (SAIP-TR). Structural and Multidisciplinary Optimization, 62, 2851–2879. [Google Scholar]
140. Yan, X. Y., Liang, Y., Cheng, G. D. (2021). Discrete variable topology optimization for simplified convective heat transfer via sequential approximate integer programming with trust-region. International Journal for Numerical Methods in Engineering, 122(20), 5844–5872. [Google Scholar]
141. Liang, Y., Yan, X. Y., Cheng, G. (2022). Explicit control of 2D and 3D structural complexity by discrete variable topology optimization method. Computer Methods in Applied Mechanics and Engineering, 389, 114302. [Google Scholar]
142. Sigmund, O. (2011). On the usefulness of non-gradient approaches in topology optimization. Structural and Multidisciplinary Optimization, 43, 589–596. [Google Scholar]
143. Wang, L., Grandhi, R. V., Canfield, R. (2012). Multi-point constraint approximations in structural optimization. 5th Symposium on Multidisciplinary Analysis and Optimization. https://doi.org/10.2514/6.1994-4280 [Google Scholar] [CrossRef]
144. Huang, H., Ke, W., Xia, R. (1998). Numerical accuracy of the multi-point approximation and its application in structural synthesis. 7th AIAA/USAF/NASA/ISSMO Symposium on Multidisciplinary Analysis and Optimization, St. Louis, MO, USA. [Google Scholar]
145. Huang, H., An, H., Ma, H., Chen, S. (2019). An engineering method for complex structural optimization involving both size and topology design variables. International Journal for Numerical Methods in Engineering, 117, 291–315. [Google Scholar]
146. Luo, Y., Xing, J., Kang, Z. (2020). Topology optimization using material-field series expansion and Kriging-based algorithm: An effective non-gradient method. Computer Methods in Applied Mechanics and Engineering, 364, 112966. [Google Scholar]
147. Zhang, X., Xing, J., Liu, P., Luo, Y., Kang, Z. (2021). Realization of full and directional band gap design by non-gradient topology optimization in acoustic metamaterials. Extreme Mechanics Letters, 42, 101126. [Google Scholar]
148. Li, H., Luo, Z., Gao, L., Qin, Q. (2018). Topology optimization for concurrent design of structures with multi-patch microstructures by level sets. Computer Methods in Applied Mechanics and Engineering, 331, 536–561. [Google Scholar]
149. Sun, Z., Wang, Y., Liu, P., Luo, Y. (2022). Topological dimensionality reduction-based machine learning for efficient gradient-free 3D topology optimization. Materials and Design, 220, 110885. [Google Scholar]
150. Xing, J., Luo, Y., Deng, Y., Wu, S., Gai, Y. (2022). Topology optimization design of deformable flexible thermoelectric devices for voltage enhancement. Engineering Optimization, 55(10). https://doi.org/10.1080/0305215X.2022.2108416 [Google Scholar] [CrossRef]
151. Zhang, J., Li, J., Liu, P., Luo, Y. (2021). A Gradient-free topology optimization strategy for continuum structures with design-dependent boundary loads. Symmetry, 13, 1976. [Google Scholar]
152. Woldseth, R. V., Aage, N., Bærentzen, J. A., Sigmund, O. (2022). On the use of artificial neural networks in topology optimization. Structural and Multidisciplinary Optimization, 65, 294. [Google Scholar]
Cite This Article
Copyright © 2024 The Author(s). Published by Tech Science Press.This work is licensed under a Creative Commons Attribution 4.0 International License , which permits unrestricted use, distribution, and reproduction in any medium, provided the original work is properly cited.


Submit a Paper
Propose a Special lssue
View Full Text
Download PDF
Downloads
Citation Tools