Open Access
ARTICLE
Wavelet Multi-Resolution Interpolation Galerkin Method for Linear Singularly Perturbed Boundary Value Problems
1 School of Management Science and Engineering, Anhui University of Finance and Economics, Bengbu, 233030, China
2 Key Laboratory of Mechanics on Disaster and Environment in Western China, The Ministry of Education, College of Civil Engineering and Mechanics, Lanzhou University, Lanzhou, 730000, China
* Corresponding Author: Xiaojing Liu. Email:
Computer Modeling in Engineering & Sciences 2024, 139(1), 297-318. https://doi.org/10.32604/cmes.2023.030622
Received 14 April 2023; Accepted 18 September 2023; Issue published 30 December 2023
Abstract
In this study, a wavelet multi-resolution interpolation Galerkin method (WMIGM) is proposed to solve linear singularly perturbed boundary value problems. Unlike conventional wavelet schemes, the proposed algorithm can be readily extended to special node generation techniques, such as the Shishkin node. Such a wavelet method allows a high degree of local refinement of the nodal distribution to efficiently capture localized steep gradients. All the shape functions possess the Kronecker delta property, making the imposition of boundary conditions as easy as that in the finite element method. Four numerical examples are studied to demonstrate the validity and accuracy of the proposed wavelet method. The results show that the use of modified Shishkin nodes can significantly reduce numerical oscillation near the boundary layer. Compared with many other methods, the proposed method possesses satisfactory accuracy and efficiency. The theoretical and numerical results demonstrate that the order of the -uniform convergence of this wavelet method can reach 5.Keywords
The singularly perturbed boundary value problem originates from fluid mechanics and arises in the mathematical modeling of physical engineering problems. In this study, we consider the following second-order singularly perturbed two-point boundary value problem:
where
The presence of boundary layers makes it challenging to solve singularly perturbed problems using classical numerical methods. Consequently, numerous special schemes have been proposed, including transforming the boundary value problem into an initial value problem [1–3], fitting the finite difference method [4], spline method [5–8], finite element method [9–12], and other methods [13–17]. In recent years, algorithms based on layer-adapted meshes have become powerful tools for solving singular perturbation problems [18–20], such as the Shishkin mesh [7,21–23] and Bakhvalov mesh [24–27].
Over recent decades, meshfree methods that rely only on nodes to make approximations have attracted considerable research interest [28–32]. As pointed out by Li et al. [28], meshfree methods are not only complementary to conventional finite element methods, but they also offer several advantages over mesh-based methods. These advantages include the utilization of higher-order continuous shape functions and the elimination of sensitivity to mesh alignment [31,33,34]. Currently, meshfree methods are widely used for solving singularly perturbed boundary value problems because they can quickly obtain more satisfactory numerical solutions by adding extra approximation nodes in the boundary layer. For example, Shen [35] proposed a local radial basis function (RBF)-based differential quadrature collocation method to solve the singularly perturbed two-point boundary value problem, which avoids highly ill-conditioned dense interpolation matrices. Although that study only discussed uniformly distributed nodes, numerical results showed that the local RBF-based collocation method is more accurate and efficient than the globally supported method. The collocation methods are known for being efficient as no integration is required, but they are less stable and accurate. To reduce errors in the standard element-free Galerkin method near the boundary layer, Zhang et al. [36] proposed the variational multiscale element-free Galerkin method to obtain the numerical solutions of convection-diffusion-reaction equations. Numerical results showed that their method is considerably more accurate than the standard element-free Galerkin method, although slight spurious oscillations persisted near the boundary layer. Zhang et al. [37] later presented a novel adaptive algorithm based on the variational multiscale element-free Galerkin method to overcome this drawback. Although many credible results have been obtained using the aforementioned meshfree methods, they still possess some shortages, such as difficulty in imposing of essential boundary conditions and calculating integrals owing to their shape functions are rational functions and lacking the Kronecker delta property [31].
Wavelet-based methods have gained increasing attention as they are widely and successfully used in practical applications [38–42]. Numerical methods based on wavelets can be divided into three main categories: wavelet finite element [39–40,43], wavelet collocation [44–48], and wavelet Galerkin methods [49–53]. Although wavelet finite element methods have advantages over traditional finite element methods, they still suffer from the same disadvantages in the presence of meshes. Existing wavelet meshfree methods do not require meshes, but they do not guarantee accurate interpolations on non-uniform nodes.
Recently, we proposed a truly meshfree method based on wavelet multiresolution analysis, known as the wavelet multiresolution interpolation Galerkin method (WMIGM) [54,55]. Compared with current meshfree methods, WMIGM possesses several advantages [54,55]:
(1) The proposed wavelet multiresolution interpolation formula possesses the Kronecker delta function property;
(2) Polynomial reproduction can be achieved up to
(3) It does not require matrix inversions or ad-hoc parameters;
(4) The stiffness matrix can be efficiently obtained with an analytical integration method.
A key challenge to solving singularly perturbed boundary value problems is dealing with their singularity, which can lead to numerical instability, oscillations, and spurious solutions [20]. Moreover, the use of uniform nodes in singularly perturbed boundary value problems results in a significant waste of computational effort, as a sufficiently fine mesh is required to accurately capture the rapid variations of the solution near the boundary layer. Therefore, there is a critical need to develop a more efficient, accurate, and stable numerical method specifically designed for solving such problems. The purpose of this study is to employ the WMIGM to solve linear singularly perturbed two-point boundary value problems (see Eq. (1)) based on special segmented equidistant (Shishkin) nodes. A coarse mesh is utilized in the smooth region, and a fine mesh is applied in the boundary layer. Compared with other meshfree methods, our WMIGM approach simplifies the imposition of essential boundary conditions due to its interpolation property. Additionally, we present error estimates of the algorithm, even in the absence of analytic expressions for the shape functions. Test problems are then solved using the WMIGM over modified Shishkin nodes.
This paper is organized as follows. In Section 2, we review the construction of wavelet multiresolution interpolations and some properties of shape functions. In Section 3, we introduce the WMIGM scheme for solving linear singularly perturbed boundary value problems. The parameter uniform convergence is explained in Section 4, followed by numerical experiments and comparisons with existing methods in Section 5, which illustrate the accuracy and efficiency of the proposed wavelet method. Finally, concluding remarks are provided in Section 6.
2 Wavelet Multiresolution Interpolation
This section reviews the construction of the wavelet multiresolution interpolation approximation and explains several key properties of the wavelet interpolating shape function that was proposed in our previous works [54,55].
We begin with the interpolating wavelet transform [44,56], as applied to the following dyadic grids on the real line:
where
is yielded, where
Next, we focus on the interpolating wavelet transform construction for interval
where
By applying Eq. (3) to approximate a continuous function
Based on the compact support of the scaling function
It can be seen from Eq. (6) that we require the values of
in which
Substituting Eq. (7) into Eq. (6), we obtain
where the modified wavelet scaling function
Lemma 2.1 ([54,56]): The modified scaling function
• Compact support:
• Interpolation:
• Polynomial reproduction:
Notice that the grid points in
where N+1 is the total number of nodes in
with the following initial condition:
In Eq. (13), the function
Lemma 2.2 ([54,55]): The wavelet multiresolution interpolating shape function
• Interpolation:
• Polynomial reproduction:
Definition 2.1:
Lemma 2.3 ([56]): For function
where
In this section, we formulate the WMIGM for singularly perturbed boundary value problems on Shishkin nodes [19].
We first divide the computational domain
in which J is an integer.
In the subsequent calculations, we set
We then evenly arrange the nodes into two subintervals:
for left-side boundary layer problems, and
for right-side boundary layer problems.
After the nodes are generated, we use the iterative formula in Eq. (12) to obtain the wavelet multiresolution interpolating shape functions. Then, the approximation solution of u(x) can be calculated with Eq. (11).
3.2 WMIGM for Singularly Perturbed Boundary Value Problems
The variational form of Eq. (1) is
Then, we replace the infinite dimensional space,
where
Using Eq. (11), the approximate solutions for
Substituting Eq. (22) into Eq. (21), we obtain the following matrix form:
in which the matrices are
Using this process, we can obtain the WMIGM solutions by solving Eq. (23).
In this section, we provide the WMIGM’s error estimate, which relies on the modified Shishkin nodes. In the following analysis, we assume that
Based on the properties of the wavelet multiresolution interpolating shape functions introduced in the previous Section 2, we have the following interpolation error estimates.
Lemma 4.1: Let
where C is independent of N and
Proof: Using a Taylor expansion at
where
Then, from Eqs. (17) and (24), on the boundary layer part, we have
Obviously, Eq. (25) can be easily demonstrated through Eqs. (28) and (30).
Thus, it remains to prove the estimate Eq. (26). From Eq. (24), we get
The estimation of Eq. (26) can then be derived immediately.
Theorem 4.1: Let
in which C is independent of N and
Proof: Let
Owing to the Hölder inequalities and Eq. (26) of Lemma 4.1, it holds that
With the aid of integrating by parts and the Cauchy-Schwarz inequality, we observe that
As a result,
Hence,
which is the required result.
In this section, we applied the WMIGM to four examples to evaluate its numerical accuracy. We considered two grid points: uniform node points using the wavelet interpolation Galerkin method (WIGM) and refined local grid points using the WMIGM, as specified in Section 3. If not otherwise specified,
To estimate the accuracy of the solutions, the maximum absolute and
and the numerical rates of convergence are
All numerical results were conducted on an AMD Ryzen 7 3700X CPU @ 3.20 GHz with 64 GB RAM in MATLAB.
5.1 Test Problem 1: Left-Side Boundary Layer Problem
We begin our numerical cases with the following left-side boundary layer problem [6–7,59,60]:
The boundary conditions are extracted from the exact solution as
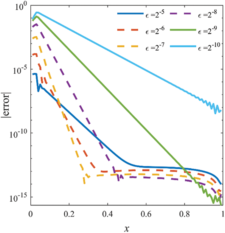
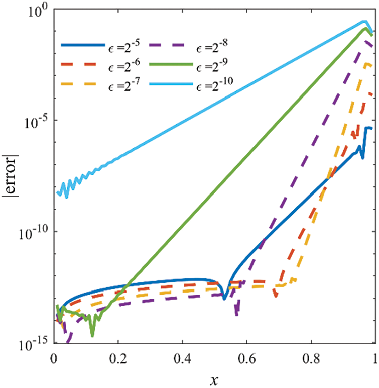
The absolute errors obtained by the proposed WIGM with N = 100 for different values of

Figure 1: Absolute errors of WIGM for Example 1 with N = 100


Figure 2: The comparison of the numerical solutions with the exact solution for Example 1 with

Figure 3: Error norm as a function of the number of grid points for Example 1 with
5.2 Test Problem 2: Left-Side Boundary Layer Problem
We next consider a source-free singularly perturbed problem as described in [3,10,60–62]:
whose analytical solution is given by
in which
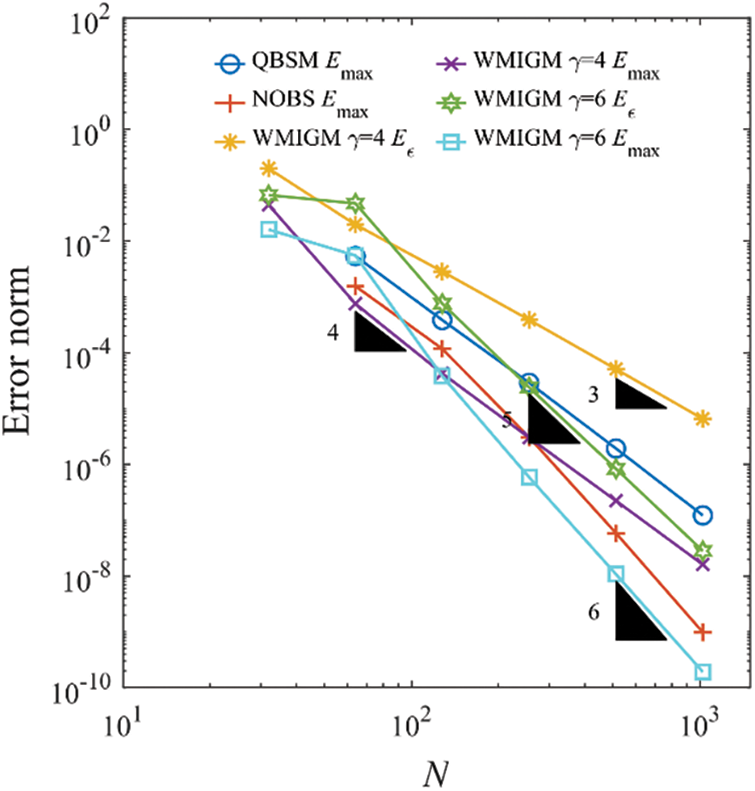
Table 2 shows the comparison of the maximum absolute errors between the QBSM with Shishkin mesh [6], the NOBS with Shishkin mesh [7], and the proposed WIGM and WMIGM with respect to the number of grid points for various values of


Figure 4: The comparison of the numerical solutions with the exact solution for Example 2 with

Figure 5: Error norm as a function of the number of grid points for Example 2 with
5.3 Test Problem 3: Right-Side Boundary Layer Problem
We next consider the right-side boundary layer problem [6,13,63–65]:
with boundary conditions of
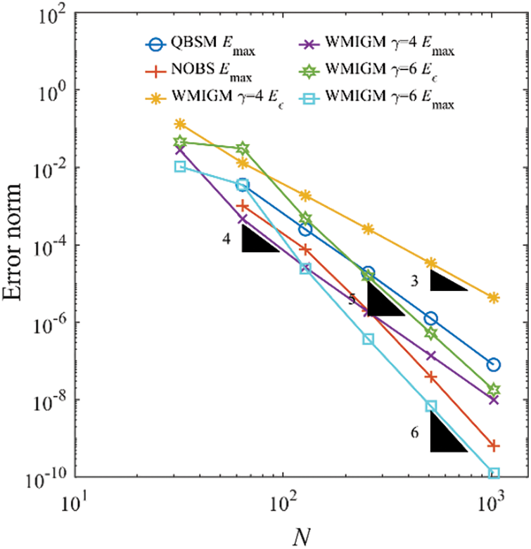
Fig. 6 displays the absolute errors for the uniform mesh with different values of

Figure 6: Absolute errors of WIGM for Example 3 with N = 100


Figure 7: The comparison of the numerical solutions with the exact solution for Example 3 with
5.4 Test Problem 4: Right-Side Boundary Layer Problem
Finally, we consider the following homogeneous linear singularly perturbed boundary value problem [5,7,63,66,67]:
with boundary conditions extracted from the exact solution as
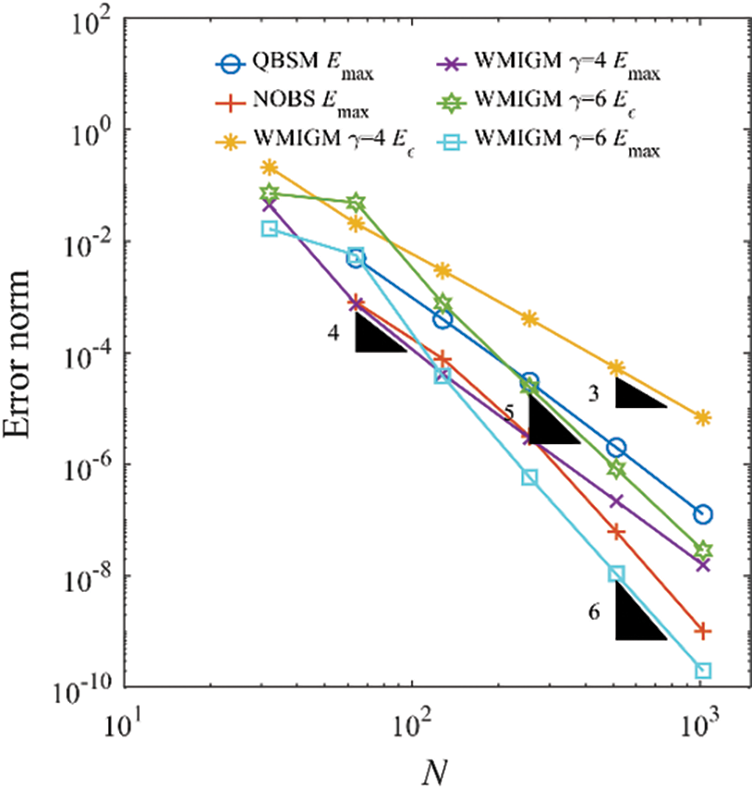
The maximum absolute errors obtained by the QBSM with Shishkin mesh [6], the NOBS with Shishkin mesh [7], and the proposed WIGM and WMIGM are presented in Table 4. It is evident from this table that WMIGM can achieve more accurate approximate solutions. A comparison of the numerical and analytic solutions with


Figure 8: The comparison of the numerical solutions with the exact solution for Example 4 with

Figure 9: Error norm as a function of the number of grid points for Example 4 with
In this study, we extended the WMIGM to solve linear singularly perturbed boundary value problems with modified Shishkin nodes. The proposed wavelet scheme was verified by comparing the numerical solutions obtained via the QBSM with Shishkin mesh and the NOBS with Shishkin mesh. The numerical results confirm the theoretical analysis and demonstrate that WMIGM has several advantages over existing schemes:
(1) The accuracy of the WMIGM is significantly better than that of the WIGM. The approximate solutions obtained by the WMIGM exhibit no obvious spurious oscillations near the boundary layer, even as the perturbation parameter approaches zero.
(2) The WMIGM exhibits greater accuracy than existing schemes, including those of the QBSM and NOBS methods with Shishkin mesh.
(3) The WMIGM demonstrates a six-order convergence rate and retains a stable convergence order better than that of the QBSM and NOBS methods with the Shishkin mesh.
These advantages indicate the potentially wide application of the WMIGM to simulating problems with local large gradients. Since the proposed WMIGM allows a very flexible nodal distribution, it can be extended to solve other problems with localized steep gradients, such as the steady-state convection diffusion problems, the steady-state heat transfer at high Péclet numbers, and the planar thin plate problems in solid mechanics. Additionally, the combination of the time integral format and the proposed method enables the solution of time dependent systems, including the Navier-Stokes equations with large Reynolds numbers and convective heat transfer problems with large Péclet numbers. Moreover, combining WMIGM with wavelet adaptive analysis holds great appeal as a potentially superior method for solving these intricate problems.
Acknowledgement: The authors sincerely thanks the reviewers and the editors of the journal for the great improvement of this paper.
Funding Statement: This work was supported by the National Natural Science Foundation of China (No. 12172154), the 111 Project (No. B14044), the Natural Science Foundation of Gansu Province (No. 23JRRA1035), and the Natural Science Foundation of Anhui University of Finance and Economics (No. ACKYC20043).
Author Contributions: The authors confirm contribution to the paper as follows: study conception and design: Jiaqun Wang, Xiaojing Liu; coding: Jiaqun Wang, Guanxu Pan; analysis and interpretation of results: Guanxu Pan, Xiaojing Liu; funding support: Jiaqun Wang, Youhe Zhou, Xiaojing Liu; draft manuscript preparation: Jiaqun Wang, Guanxu Pan; draft review: Youhe Zhou, Xiaojing Liu. All authors reviewed the results and approved the final version of the manuscript.
Availability of Data and Materials: The data that support the findings of this study are available from the corresponding author upon reasonable request.
Conflicts of Interest: The authors declare that they have no conflicts of interest to report regarding the present study.
References
1. Kadalbajoo, M. K., Kumar, D. (2008). A non-linear single step explicit scheme for non-linear two-point singularly perturbed boundary value problems via initial value technique. Applied Mathematics and Computation, 202(2), 738–746. https://doi.org/10.1016/j.amc.2008.03.015 [Google Scholar] [CrossRef]
2. Geng, F. Z., Tang, Z. Q. (2016). Piecewise shooting reproducing kernel method for linear singularly perturbed boundary value problems. Applied Mathematics Letters, 62, 1–8. https://doi.org/10.1016/j.aml.2016.06.009 [Google Scholar] [CrossRef]
3. Liu, C. S., Chang, C. W. (2022). Modified asymptotic solutions for second-order nonlinear singularly perturbed boundary value problems. Mathematics and Computers in Simulation, 193, 139–152. https://doi.org/10.1016/j.matcom.2021.10.005 [Google Scholar] [CrossRef]
4. Reddy, N. R., Mohapatra, J. (2015). An efficient numerical method for singularly perturbed two point boundary value problems exhibiting boundary layers. National Academy Science Letters, 38(4), 355–359. https://doi.org/10.1007/s40009-015-0350-z [Google Scholar] [CrossRef]
5. Kadalbajoo, M. K., Arora, P. (2010). B-splines with artificial viscosity for solving singularly perturbed boundary value problems. Mathematical and Computer Modelling, 52(5–6), 654–666. https://doi.org/10.1016/j.mcm.2010.04.012 [Google Scholar] [CrossRef]
6. Lodhi, R. K., Mishra, H. K. (2017). Quintic B-spline method for solving second order linear and nonlinear singularly perturbed two-point boundary value problems. Journal of Computational and Applied Mathematics, 319, 170–187. https://doi.org/10.1016/j.cam.2017.01.011 [Google Scholar] [CrossRef]
7. Thula, K. (2020). A sixth-order numerical method based on shishkin mesh for singularly perturbed boundary value problems. Iranian Journal of Science and Technology, Transactions A: Science, 46, 161–171. https://doi.org/10.1007/s40995-020-00952-x [Google Scholar] [CrossRef]
8. Lodhi, R. K., Mishra, H. K. (2018). Septic B-spline method for second order self-adjoint singularly perturbed boundary-value problems. Ain Shams Engineering Journal, 9(4), 2153–2161. https://doi.org/10.1016/j.asej.2016.09.016 [Google Scholar] [CrossRef]
9. Zhu, P., Xie, S. L. (2014). Higher order uniformly convergent continuous/discontinuous Galerkin methods for singularly perturbed problems of convection-diffusion type. Applied Numerical Mathematics, 76, 48–59. https://doi.org/10.1016/j.apnum.2013.10.001 [Google Scholar] [CrossRef]
10. Kaushik, A., Vashishth, A. K., Kumar, V., Sharma, M. (2019). A modified graded mesh and higher order finite element approximation for singular perturbation problems. Journal of Computational Physics, 395, 275–285. https://doi.org/10.1016/j.jcp.2019.04.073 [Google Scholar] [CrossRef]
11. Ma, G. L., Stynes, M. (2020). A direct discontinuous Galerkin finite element method for convection-dominated two-point boundary value problems. Numerical Algorithms, 83(2), 741–765. https://doi.org/10.1007/s11075-019-00701-1 [Google Scholar] [CrossRef]
12. Zhang, J., Ma, X. Q., Lv, Y. H. (2021). Finite element method on Shishkin mesh for a singularly perturbed problem with an interior layer. Applied Mathematics Letters, 121, 107509. https://doi.org/10.1016/j.aml.2021.107509 [Google Scholar] [CrossRef]
13. Reddy, J. N., Martinez, M. (2021). A dual mesh finite domain method for steady-state convection-diffusion problems. Computers & Fluids, 214, 104760. https://doi.org/10.1016/j.compfluid.2020.104760 [Google Scholar] [CrossRef]
14. Lin, B., Li, K., Cheng, Z. (2009). B-spline solution of a singularly perturbed boundary value problem arising in biology. Chaos, Solitons & Fractals, 42(5), 2934–2948. https://doi.org/10.1016/j.chaos.2009.04.036 [Google Scholar] [CrossRef]
15. Vulanovic, R., Nhan, T. A. (2021). An improved Kellogg-Tsan solution decomposition in numerical methods for singularly perturbed convection-diffusion problems. Applied Numerical Mathematics, 170, 128–145. https://doi.org/10.1016/j.apnum.2021.07.019 [Google Scholar] [CrossRef]
16. Das, P., Natesan, S. (2013). Richardson extrapolation method for singularly perturbed convection-diffusion problems on adaptively generated mesh. Computer Modeling in Engineering & Sciences, 90(6), 463–485. https://doi.org/10.3970/cmes.2013.090.463 [Google Scholar] [CrossRef]
17. Kadalbajoo, M. K., Gupta, V. (2010). A brief survey on numerical methods for solving singularly perturbed problems. Applied Mathematics and Computation, 217(8), 3641–3716. https://doi.org/10.1016/j.amc.2010.09.059 [Google Scholar] [CrossRef]
18. Kadalbajoo, M. K., Patidar, K. C. (2002). A survey of numerical techniques for solving singularly perturbed ordinary differential equations. Applied Mathematics and Computation, 130(2), 457–510. https://doi.org/10.1016/S0096-3003(01)00112-6 [Google Scholar] [CrossRef]
19. Linß, T. (2003). Layer-adapted meshes for convection–diffusion problems. Computer Methods in Applied Mechanics and Engineering, 192(9–10), 1061–1105. https://doi.org/10.1016/s0045-7825(02)00630-8 [Google Scholar] [CrossRef]
20. Stynes, M. (2005). Steady-state convection-diffusion problems. Acta Numerica, 14, 445–508. https://doi.org/10.1017/S0962492904000261 [Google Scholar] [CrossRef]
21. Zhu, P., Xie, S. L. (2020). A uniformly convergent weak galerkin finite element method on shishkin mesh for 1d convection-diffusion problem. Journal of Scientific Computing, 85(2), 34. https://doi.org/10.1007/s10915-020-01345-3 [Google Scholar] [CrossRef]
22. Wang, Y., Meng, X. Y., Li, Y. H. (2021). The finite volume element method on the Shishkin mesh for a singularly perturbed reaction-diffusion problem. Computers & Mathematics with Applications, 84, 112–127. https://doi.org/10.1016/j.camwa.2020.12.011 [Google Scholar] [CrossRef]
23. Lv, Y. H., Zhang, J. (2022). Convergence and supercloseness of a finite element method for a two-parameter singularly perturbed problem on Shishkin triangular mesh. Applied Mathematics and Computation, 416, 126753. https://doi.org/10.1016/j.amc.2021.126753 [Google Scholar] [CrossRef]
24. Zhang, J., Liu, X. W. (2020). Convergence of a finite element method on a Bakhvalov-type mesh for singularly perturbed reaction-diffusion equation. Applied Mathematics and Computation, 385, 125403. https://doi.org/10.1016/j.amc.2020.125403 [Google Scholar] [CrossRef]
25. Zhang, J., Lv, Y. H. (2021). High-order finite element method on a Bakhvalov-type mesh for a singularly perturbed convection-diffusion problem with two parameters. Applied Mathematics and Computation, 397, 125953. https://doi.org/10.1016/j.amc.2021.125953 [Google Scholar] [CrossRef]
26. Zhang, J., Lv, Y. H. (2021). Finite element method for singularly perturbed problems with two parameters on a Bakhvalov-type mesh in 2D. Numerical Algorithms, 90, 447–475. https://doi.org/10.1007/s11075-021-01194-7 [Google Scholar] [CrossRef]
27. Zhang, J., Lv, Y. (2022). Supercloseness of finite element method on a Bakhvalov-type mesh for a singularly perturbed problem with two parameters. Applied Numerical Mathematics, 171, 329–352. https://doi.org/10.1016/j.apnum.2021.09.010 [Google Scholar] [CrossRef]
28. Li, S., Liu, W. K. (1996). Moving least-square reproducing kernel method Part II: Fourier analysis. Computer Methods in Applied Mechanics and Engineering, 139(1), 159–193. https://doi.org/10.1016/S0045-7825(96)01082-1 [Google Scholar] [CrossRef]
29. Golbabai, A., Kalarestaghi, N. (2018). Improved localized radial basis functions with fitting factor for dominated convection-diffusion differential equations. Engineering Analysis with Boundary Elements, 92, 124–135. https://doi.org/10.1016/j.enganabound.2017.10.008 [Google Scholar] [CrossRef]
30. Wang, J. F., Wu, Y., Xu, Y., Sun, F. X. (2023). A dimension-splitting variational multiscale element-free galerkin method for three-dimensional singularly perturbed convection-diffusion problems. Computer Modeling in Engineering & Sciences, 135(1), 341–356. https://doi.org/10.32604/cmes.2022.023140 [Google Scholar] [CrossRef]
31. Nguyen, V. P., Rabczuk, T., Bordas, S., Duflot, M. (2008). Meshless methods: A review and computer implementation aspects. Mathematics and Computers in Simulation, 79(3), 763–813. https://doi.org/10.1016/j.matcom.2008.01.003 [Google Scholar] [CrossRef]
32. Liu, G. R. (2009). Meshfree methods: Moving beyond the finite element method, 2nd ed. Boca Raton: CRC Press. [Google Scholar]
33. Tayebi, A., Shekari, Y., Heydari, M. H. (2017). A meshless method for solving two-dimensional variable-order time fractional advection-diffusion equation. Journal of Computational Physics, 340, 655–669. https://doi.org/10.1016/j.jcp.2017.03.061 [Google Scholar] [CrossRef]
34. Barik, N. B., Sekhar, T. V. S. (2017). An efficient local RBF meshless scheme for steady convection-diffusion problems. International Journal of Computational Methods, 14(6), 1750064. https://doi.org/10.1142/s0219876217500645 [Google Scholar] [CrossRef]
35. Shen, Q. (2010). Local RBF-based differential quadrature collocation method for the boundary layer problems. Engineering Analysis with Boundary Elements, 34(3), 213–228. https://doi.org/10.1016/j.enganabound.2009.10.004 [Google Scholar] [CrossRef]
36. Zhang, X. H., Xiang, H. (2014). Variational multiscale element free Galerkin method for convection-diffusion-reaction equation with small diffusion. Engineering Analysis with Boundary Elements, 46, 85–92. https://doi.org/10.1016/j.enganabound.2014.05.010 [Google Scholar] [CrossRef]
37. Zhang, X. H., Zhang, P., Qin, W. J., Shi, X. T. (2021). An adaptive variational multiscale element free Galerkin method for convection-diffusion equations. Engineering with Computers, 38, 3373–3390. https://doi.org/10.1007/s00366-021-01469-6 [Google Scholar] [CrossRef]
38. Li, S., Liu, W. K. (1999). Reproducing kernel hierarchical partition of unity, Part II—applications. International Journal for Numerical Methods in Engineering, 45(3), 289–317. https://doi.org/10.1002/(SICI)1097-0207(19990530)45:3<289::AID-NME584>3.0.CO;2-P [Google Scholar] [CrossRef]
39. Li, B., Chen, X. (2014). Wavelet-based numerical analysis: A review and classification. Finite Elements in Analysis and Design, 81, 14–31. https://doi.org/10.1016/j.finel.2013.11.001 [Google Scholar] [CrossRef]
40. Azdoud, Y., Cheng, J., Ghosh, S. (2017). Wavelet-enriched adaptive crystal plasticity finite element model for polycrystalline microstructures. Computer Methods in Applied Mechanics and Engineering, 327, 36–57. https://doi.org/10.1016/j.cma.2017.08.026 [Google Scholar] [CrossRef]
41. Cui, X., Yao, X., Wang, Z., Liu, M. (2017). A hybrid wavelet-based adaptive immersed boundary finite-difference lattice Boltzmann method for two-dimensional fluid–structure interaction. Journal of Computational Physics, 333, 24–48. https://doi.org/10.1016/j.jcp.2016.12.019 [Google Scholar] [CrossRef]
42. Zhou, Y. H. (2021). Wavelet numerical method and its applications in nonlinear problems. Singapore: Springer Nature Singapore Pte Ltd. [Google Scholar]
43. Zuo, H., Yang, Z., Chen, X., Xie, Y., Miao, H. (2015). Analysis of laminated composite plates using wavelet finite element method and higher-order plate theory. Composite Structures, 131, 248–258. https://doi.org/10.1016/j.compstruct.2015.04.064 [Google Scholar] [CrossRef]
44. Vasilyev, O. V., Bowman, C. (2000). Second-generation wavelet collocation method for the solution of partial differential equations. Journal of Computational Physics, 165(2), 660–693. https://doi.org/10.1006/jcph.2000.6638 [Google Scholar] [CrossRef]
45. Fujii, M., Hoefer, W. J. R. (2003). Interpolating wavelet collocation method of time dependent Maxwell’s equations: Characterization of electrically large optical waveguide discontinuities. Journal of Computational Physics, 186(2), 666–689. https://doi.org/10.1016/S0021-9991(03)00091-3 [Google Scholar] [CrossRef]
46. Schneider, K., Vasilyev, O. V. (2010). Wavelet methods in computational fluid dynamics. Annual Review of Fluid Mechanics, 42(1), 473–503. https://doi.org/10.1146/annurev-fluid-121108-145637 [Google Scholar] [CrossRef]
47. Brown-Dymkoski, E., Vasilyev, O. V. (2017). Adaptive-anisotropic wavelet collocation method on general curvilinear coordinate systems. Journal of Computational Physics, 333, 414–426. https://doi.org/10.1016/j.jcp.2016.12.040 [Google Scholar] [CrossRef]
48. Zhang, L., Wang, J. Z., Liu, X. J., Zhou, Y. H. (2017). A wavelet integral collocation method for nonlinear boundary value problems in physics. Computer Physics Communications, 215, 91–102. https://doi.org/10.1016/j.cpc.2017.02.017 [Google Scholar] [CrossRef]
49. Yang, S. Y., Ni, G. Z., Ho, S. L., Machado, J. M., Rahman, M. A. et al. (2000). Wavelet-Galerkin method for computations of electromagnetic fields-computation of connection coefficients. IEEE Transactions on Magnetics, 36(4), 644–648. https://doi.org/10.1109/20.877532 [Google Scholar] [CrossRef]
50. Kim, J. E., Jang, G. W., Kim, Y. Y. (2003). Adaptive multiscale wavelet-Galerkin analysis for plane elasticity problems and its applications to multiscale topology design optimization. International Journal of Solids and Structures, 40(23), 6473–6496. https://doi.org/10.1016/S0020-7683(03)00417-7 [Google Scholar] [CrossRef]
51. Liu, X. J., Zhou, Y. H., Wang, X. M., Wang, J. Z. (2013). A wavelet method for solving a class of nonlinear boundary value problems. Communications in Nonlinear Science and Numerical Simulation, 18(8), 1939–1948. https://doi.org/10.1016/j.cnsns.2012.12.010 [Google Scholar] [CrossRef]
52. Liu, X. J., Wang, J. Z., Zhou, Y. H. (2017). A space–time fully decoupled wavelet Galerkin method for solving a class of nonlinear wave problems. Nonlinear Dynamics, 90(1), 599–616. https://doi.org/10.1007/s11071-017-3684-x [Google Scholar] [CrossRef]
53. Wang, J. Q., Liu, X. J., Zhou, Y. H. (2018). A high-order accurate wavelet method for solving Schrödinger equations with general nonlinearity. Applied Mathematics and Mechanics, 39(2), 275–290. https://doi.org/10.1007/s10483-018-2299-6 [Google Scholar] [CrossRef]
54. Liu, X. J., Liu, G. R., Wang, J. Z., Zhou, Y. H. (2019). A wavelet multiresolution interpolation Galerkin method for targeted local solution enrichment. Computational Mechanics, 64(4), 989–1016. https://doi.org/10.1007/s00466-019-01691-6 [Google Scholar] [CrossRef]
55. Liu, X. J., Liu, G. R., Wang, J. Z., Zhou, Y. H. (2020). A wavelet multiresolution interpolation Galerkin method with effective treatments for discontinuity for crack growth analyses. Engineering Fracture Mechanics, 225, 106836. https://doi.org/10.1016/j.engfracmech.2019.106836 [Google Scholar] [CrossRef]
56. Donoho, D. L. (1992). Interpolating wavelet transforms. Technical Report. Department of Statistics, Stanford University, USA. [Google Scholar]
57. Tobiska, L. (2006). Analysis of a new stabilized higher order finite element method for advection–diffusion equations. Computer Methods in Applied Mechanics and Engineering, 196(1), 538–550. https://doi.org/10.1016/j.cma.2006.05.009 [Google Scholar] [CrossRef]
58. Linß, T. (2001). The necessity of Shishkin decompositions. Applied Mathematics Letters, 14(7), 891–896. https://doi.org/10.1016/S0893-9659(01)00061-1 [Google Scholar] [CrossRef]
59. Geng, F. Z., Qian, S. P., Li, S. (2014). Numerical solutions of singularly perturbed convection-diffusion problems. International Journal of Numerical Methods for Heat & Fluid Flow, 24(6), 1268–1274. https://doi.org/10.1108/hff-01-2013-0033 [Google Scholar] [CrossRef]
60. Liu, C. S. (2018). Solving singularly perturbed problems by a weak-form integral equation with exponential trial functions. Applied Mathematics and Computation, 329, 154–174. https://doi.org/10.1016/j.amc.2018.02.002 [Google Scholar] [CrossRef]
61. Mohsen, A., El-Gamel, M. (2008). On the Galerkin and collocation methods for two-point boundary value problems using sinc bases. Computers & Mathematics with Applications, 56(4), 930–941. https://doi.org/10.1016/j.camwa.2008.01.023 [Google Scholar] [CrossRef]
62. Shah, F. A., Abass, R. (2017). An efficient wavelet-based collocation method for handling singularly perturbed boundary-value problems in fluid mechanics. International Journal of Nonlinear Sciences and Numerical Simulation, 18(6), 485–494. https://doi.org/10.1515/ijnsns-2016-0063 [Google Scholar] [CrossRef]
63. Kumar, M., Mishra, H. K., Singh, P. (2009). A boundary value approach for a class of linear singularly perturbed boundary value problems. Advances in Engineering Software, 40(4), 298–304. https://doi.org/10.1016/j.advengsoft.2008.04.012 [Google Scholar] [CrossRef]
64. Xu, M. T. (2017). A type of high order schemes for steady convection-diffusion problems. International Journal of Heat and Mass Transfer, 107, 1044–1053. https://doi.org/10.1016/j.ijheatmasstransfer.2016.10.128 [Google Scholar] [CrossRef]
65. Johnston, H., Mortari, D. (2021). Least-squares solutions of boundary-value problems in hybrid systems. Journal of Computational and Applied Mathematics, 393, 113524. https://doi.org/10.1016/j.cam.2021.113524 [Google Scholar] [CrossRef]
66. Kumar, V., Srinivasan, B. (2015). An adaptive mesh strategy for singularly perturbed convection diffusion problems. Applied Mathematical Modelling, 39(7), 2081–2091. https://doi.org/10.1016/j.apm.2014.10.019 [Google Scholar] [CrossRef]
67. Dubey, R. K., Gupta, V. (2020). A mesh refinement algorithm for singularly perturbed boundary and interior layer problems. International Journal of Computational Methods, 17(7), 1950024. https://doi.org/10.1142/s0219876219500245 [Google Scholar] [CrossRef]
Cite This Article
Copyright © 2024 The Author(s). Published by Tech Science Press.This work is licensed under a Creative Commons Attribution 4.0 International License , which permits unrestricted use, distribution, and reproduction in any medium, provided the original work is properly cited.


Submit a Paper
Propose a Special lssue
View Full Text
Download PDF
Downloads
Citation Tools