Open Access
ARTICLE
An Interpolation Method for Karhunen–Loève Expansion of Random Field Discretization
1 Department of Engineering Mechanics, Hohai University, Nanjing, 211100, China
2 College of Civil and Transportation Engineering, Shenzhen University, Guangdong Provincial Key Laboratory of Deep Earth Sciences and Geothermal Energy Exploitation and Utilization, Institute of Deep Earth Sciences and Green Energy, Shenzhen, China
* Corresponding Author: Zi Han. Email:
Computer Modeling in Engineering & Sciences 2024, 138(1), 245-272. https://doi.org/10.32604/cmes.2023.029708
Received 04 March 2023; Accepted 26 April 2023; Issue published 22 September 2023
Abstract
In the context of global mean square error concerning the number of random variables in the representation, the Karhunen–Loève (KL) expansion is the optimal series expansion method for random field discretization. The computational efficiency and accuracy of the KL expansion are contingent upon the accurate resolution of the Fredholm integral eigenvalue problem (IEVP). The paper proposes an interpolation method based on different interpolation basis functions such as moving least squares (MLS), least squares (LS), and finite element method (FEM) to solve the IEVP. Compared with the Galerkin method based on finite element or Legendre polynomials, the main advantage of the interpolation method is that, in the calculation of eigenvalues and eigenfunctions in one-dimensional random fields, the integral matrix containing covariance function only requires a single integral, which is less than a two-folded integral by the Galerkin method. The effectiveness and computational efficiency of the proposed interpolation method are verified through various one-dimensional examples. Furthermore, based on the KL expansion and polynomial chaos expansion, the stochastic analysis of two-dimensional regular and irregular domains is conducted, and the basis function of the extended finite element method (XFEM) is introduced as the interpolation basis function in two-dimensional irregular domains to solve the IEVP.Graphic Abstract
Keywords
In civil engineering, it is commonplace for the material properties and geometric dimensions of structures to exhibit inherent uncertainties. In the context of engineering systems, it is imperative to consider the presence of uncertainties during the analysis and design phase. These uncertainties are commonly attributed to the random spatial variation of certain properties. Traditional approaches that rely on simulating the characteristics of random structures with single random variables are deemed insufficient, as they fail to account for point-to-point variability [1]. An alternative mathematical model that has gained significant traction in the field is the continuous random field model, which accurately captures the spatial variation of a structure’s properties. Specifically, a random field is a stochastic process defined on a continuous region, where each point is associated with a random variable. However, the computation of the entire random field is unfeasible due to the infinite number of random variables involved. To facilitate the calculations, a limited number of random variables must be applied to represent the random field, which is referred to as random field discretization [2].
The methods used for random field discretization can be broadly categorized into two types: spatial discretization and series expansion. Spatial discretization methods comprise the central point method [3], the local mean method [4], the shape function method [5], and the optimal linear estimation method [6]. Among these, the local average method is commonly used due to its stable calculation results and insensitivity to the structures associated with the random field. The efficiency and accuracy of the spatial discretization methods are closely related to the random field mesh.
Series expansion methods used for random field discretization include Karhunen–Loève (KL) expansion [7,8], orthogonal polynomial expansion [9], etc. The KL expansion, introduced by Ghanem et al. [10], has emerged as the most extensively applied series expansion method for random field discretization, particularly in the context of uncertainties related to input parameters [11]. Moreover, when considering the global mean square error with respect to the number of random variables, the KL expansion is optimal compared to other series expansion methods [10]. KL expansion uses a linear combination of orthogonal bases to represent random fields, and the selected orthogonal functions are the eigenfunctions of the Fredholm integral equation of the second kind. The integral kernel function in the Fredholm integral equation is the covariance function of the random field. For simple geometries and special covariance functions, analytical solutions can be obtained. However, for more general scenarios, numerical methods are required to solve a Fredholm integral eigenvalue problem (IEVP), with the Galerkin method being the most commonly used [2].
In one-dimensional domains, the Galerkin method is frequently employed in a spectral sense with basis functions spanning over the entire domain. The convergence behavior of this approach is examined in [12] for both stationary and non-stationary problems using polynomials with order up to ten as basis functions. Other polynomial bases, such as Legendre polynomials [9], Gegenbauer polynomials [13], and Chebyshev polynomials [14], have also been proposed. However, these methods can only improve the calculation accuracy by increasing the polynomial order, which requires significant computational effort. The wavelet-Galerkin method [15] also represents a Galerkin-based technique for solving Fredholm integral eigenvalue problems in one-dimensional domains. For two-dimensional and three-dimensional domains with random fields, Ghanem et al. [10] advocated using the finite element method (FEM) to obtain approximate solutions for the KL expansion, while Papaioannou [13] examined the convergence of the FEM in two-dimensional domains. Based FEM-Galerkin method for the discretization of the IEVP, Allaix et al. [1] proposed a genetic algorithm to achieve an optimal discretization of 2D homogeneous random fields. To compute matrix eigenvalue problems in the FEM, a generalized fast multi-pole Krylov eigen-solver is employed [16]. In two-dimensional and particularly three-dimensional random fields, the computational cost of constructing the matrix eigenvalue problem and computing its solution can be prohibitively expensive. Basmaji et al. [17] proposed a Galerkin scheme based on discontinuous Legendre polynomials to solve IEVP, which reduces the computational complexity by constructing the Legendre basis on each local element domain and exploiting the orthogonality of Legendre polynomials. In addition, generating meshes for complex geometries may also present difficulties and time constraints. To circumvent this issue, Rahman et al. [18] employed meshless basis functions in the Galerkin method for complex domains. Papaioannou [13] introduced a spectral Galerkin method that addresses the challenges posed by geometrically complex domains by embedding the actual domain into a simple geometric shape. Rahman [19] proposed the Galerkin isogeometric method for KL approximation which can denote computational domains by non-uniform rational B-splines(NURBS).
The development of a method that can efficiently solve the IEVP with reduced computational requirements and without the need for a complex mesh is crucial for effectively addressing complex domain problems. In this study, an interpolation approach for solving the IEVP in KL expansion is proposed. And the impact of three different interpolation basis functions, namely moving least squares [20–22] (MLS), least squares [23] (LS), and finite element method (FEM), on the accuracy of computation is explored. MLS and LS are widely used in meshless methods [22,24–26]. The results demonstrate that for one-dimensional domains, the proposed interpolation method, which requires a single integral for the integral matrix containing the covariance function, is more computationally efficient than the Galerkin method, which requires a two-folded integral.
In addition, we employ a combination of KL expansion and polynomial chaos expansion to perform stochastic analysis in two-dimensional domains. To tackle the issue of grid division in irregular domains, we introduce the extended finite element method (XFEM) as an alternative to the traditional finite element method. The XFEM [27,28] is a well-known numerical method that addresses discontinuity problems based on the partition of unity theory [29]. This approach adds enrichment functions to the displacement mode of conventional finite element methods to accurately represent discontinuities. The key advantage of the XFEM is that the computational mesh is independent of the internal geometry or physical interface of the structure, making it an effective method for solving problems that involve discontinuities, especially in the presence of holes [30].
The structure of this paper is as follows: Section 2 introduces the KL expansion and its fundamental properties. Additionally, the numerical methods used to solve IEVP, namely the Galerkin method and the interpolation method, are discussed. Interpolation basis functions such as MLS, LS, and FEM are provided. Section 3 briefly describes the spectral stochastic finite element method and extended finite element method, which are then used for stochastic analysis of complex domains. Section 4 is dedicated to numerical examples, wherein the computational efficiency of the numerical methods is compared in one-dimensional domains, and the stochastic analysis is conducted in both 2D regular and irregular domains. The benefits of the proposed method are highlighted. At last, Section 5 concludes the paper.
Defining
where
where
According to Mercer’s Theorem [31], the eigen-decomposition of the covariance function is as follows:
The eigenvalues
where
Due to the orthogonality of eigenfunctions, it is easy to get a closed form of each random variable as follows:
In the case where the random field
For practical implementation, the random field
The second-order statistics of the truncated series Eq. (6) can be presented as
As
The error
Integration of the expectation of the squared approximation error over the domain
An alternative error estimation is the error variance [6] which is defined as follows:
The corresponding mean error variance is given as
where
If the variance of the random field is constant, i.e.,
The error variance in this section is based on the analytical solutions of eigenvalues and eigenfunctions. However, it is not always possible to obtain the analytical eigen-solutions in practical engineering applications. Therefore, in the following sections, we will introduce other error measures in the numerical examples to evaluate the accuracy of the proposed interpolation method.
2.1 Numerical Solution of the Fredholm Integral Equation
The key to KL expansion is to find the eigenvalues and eigenfunctions of the covariance function by solving a Fredholm integral eigenvalue problem of Eq. (2). The analytic solution of Eq. (2) is only applicable to a finite set of covariance functions and geometric domains. For general cases, the numerical method is the only recourse. Therefore, the random field approximation of truncated KL expansion in Eq. (6) can be approximated as
where
2.1.1 The Galerkin Method for Fredholm Integral Equation
Let
where
Substituting Eq. (15) into Eq. (2) and adopting a Galerkin procedure for the corresponding residual, the equation is obtained as follows:
Eq. (16) could rewritten as
where
The eigenvalues
Various types of basis functions can be utilized with the Galerkin method, including orthogonal polynomials such as Legendre polynomials, which yield a diagonal matrix
2.1.2 The Interpolation Method for Fredholm Integral Equation
In the random field discretization based on KL expansion, it is necessary to integrate all the elements in matrix
where
The key problem of the Fredholm integral equation is the discretization of unknown functions. Firstly, the integral interval
where
Substituting Eq. (23) into Eq. (22), and let the equation be true at the nodes
Switching the order of integration and summating the integral term of right-hand side of Eq. (24) yield
where
Eq. (24) is rewritten as
If
where
Comparing Eqs. (2) and (22), we can see that
By solving the eigenvalue problem of Eq. (33), the approximate eigenvalues
Compared with the Galerkin method, which requires a two-folded integral to calculate the elements of matrix
The selection of the basis function is a crucial step in interpolation methods. This paper discusses three choices of basis functions, namely moving least squares [20–22] (MLS), least squares [23] (LS), and finite element method (FEM). The MLS is primarily introduced, and the LS can be derived from it. Although the finite element method is not discussed in detail in this paper, it is another viable option for basis functions.
If the domain
where
The weighted square sum of error of function
where

Figure 1: The support domains of nodes
where
Minimizing the weighted square sum of error
Then it leads to
where
The vector
In the process, if the weight function
The moving least squares is reduced to least squares (LS), and matrix
In this section, we first describe the theoretical formulation of the spectral stochastic finite element method which is a numerical approach to model the random parameter system in terms of finite element framework. While, for the irregular domains, we applied the extended finite element method instead of the finite element method for calculation. It is well-known that the extended finite element method (XFEM) is an effective numerical method for solving discontinuity problems [27,28]. Based on the partition of unity method [29], XFEM adds some enrichment functions into the displacement mode of the finite element method to reflect discontinuity, and it has the advantage that the mesh is independent of the geometry or physical interface inside the structure. Therefore, for random analysis of irregular domains, XFEM has more advantages. Moreover, the basis function of XFEM can also be used as the basis function of the interpolation method to solve a Fredholm integral eigenvalue problem in KL expansion.
The spectral stochastic finite element method introduced by Ghanem et al. [10] is an extension of the deterministic finite element method for solving boundary value problems of stochastic material properties. It supposes that the material Young’s modulus is a Gaussian random field. The elasticity matrix in point
where
Applying the KL expansion in Eq. (1), the stochastic matrix of a finite element has the following form:
where
where
Assuming that the loading is determined and denoting
where thee nodal displacement vector
where
Substituting the expansion Eq. (50) into Eq. (49) yields:
For calculating purposes, truncating the KL expansion after
where
By making the residual orthogonal to the approximate space spanned by PCE, one can get
where
Eq. (53) can be rewritten as
where
Eq. (54) is a system of equations of size
Substituting the displacement form of the finite element with that of the XFEM can solve the elastic modulus stochastic problem in the irregular domain. In XFEM, the displacement approximation is expressed as [27,36]
where
For models with holes, the XFEM displacement approximation has a simple form as below [30]:
where
where
where
In the case of random fields without analytical eigen-solutions, the error estimation methods outlined in Section 2 cannot produce computable expressions. As a result, two error measures are introduced [14] to enable numerical evaluation of the interpolation method and Galerkin method.
If the Fredholm integral eigenvalue problem of KL expansion has analytical solutions,
4.2 Discretization of One-Dimensional Random Fields
To demonstrate the validity and advantages of the interpolation approach for solving Fredholm integral eigenvalue problems in KL expansion, the method is applied to a variety of covariance functions and compared against the conventional Galerkin method.
Example 1 is a homogeneous random field, with the exponential kernel function defined as
where
Example 2 is a non-homogeneous random field, with the Wiener-Lévy kernel function defined as
where
Example 3 is a random field with squared exponential covariance function defined as
where the correlation length
The eigenvalues and eigenfunctions corresponding to the kernel functions in examples 1 and 2 have analytical solutions [37]. The accuracy of different numerical methods for solving Fredholm integral eigenvalue problems in KL expansion was compared with that of the analytical solutions. The error of eigenfunctions is defined as follows:
In solving Fredholm integral eigenvalue problems using the interpolation method, we select interpolation basis functions including moving least squares (MLS), least squares (LS), and finite element method (FEM). In Fig. 2 displaying computed results, these functions are denoted as MLS, LS, and FEM-interpolation, respectively. For comparison purposes, the finite element basis function and the Legendre polynomial are applied as the basis functions of the Galerkin method and denoted as FEM-Galerkin and Legendre, respectively, in the figures. The number of nodes in the computation of examples 1 and 2 is set to

Figure 2: The eigenvalues (a) and the errors of eigenfunctions (b) of the exponential kernel function
Figs. 2a and 3a display the eigenvalues of examples 1 and 2, respectively, while Figs. 2b and 3b show the errors of eigenfunctions of examples 1 and 2, respectively. The computational formula is presented in Eq. (67). Fig. 3 indicates that the eigenvalues calculated using the interpolation method based on MLS, LS, and FEM are consistent with the analytical solutions. Additionally, the accuracy is close to that of the Galerkin method based on FEM, while the accuracy of the Galerkin method based on Legendre polynomials is slightly poor. Concerning the eigenfunctions, the accuracy of the FEM-based interpolation method is superior to or close to other methods, and it hardly fluctuates with an increase in the eigenfunction index. The accuracy of eigenfunctions calculated by the interpolation method based on MLS and LS is similar. In example 1, the error of eigenfunctions calculated using the Galerkin method based on the Legendre polynomial decreases rapidly as the eigenfunction index increases.

Figure 3: The eigenvalues (a) and the errors of eigenfunctions (b) of the Winer-Levy kernel function
To investigate the impact of various correlation lengths on eigenvalues, different correlation lengths (

Figure 4: The eigenvalues of the exponential kernel function (a) and squared exponential kernel function (b) under different correlation lengths
The preceding discussion confirms the accuracy of the methods. The subsequent discussion focuses on examining the impact of various parameters in the interpolation method on the computed results. For the FEM-based interpolation method, the relationship between the computed results and the number of nodes is investigated. Fig. 5 illustrates the mean of relative variance error

Figure 5: The mean of relative variance error
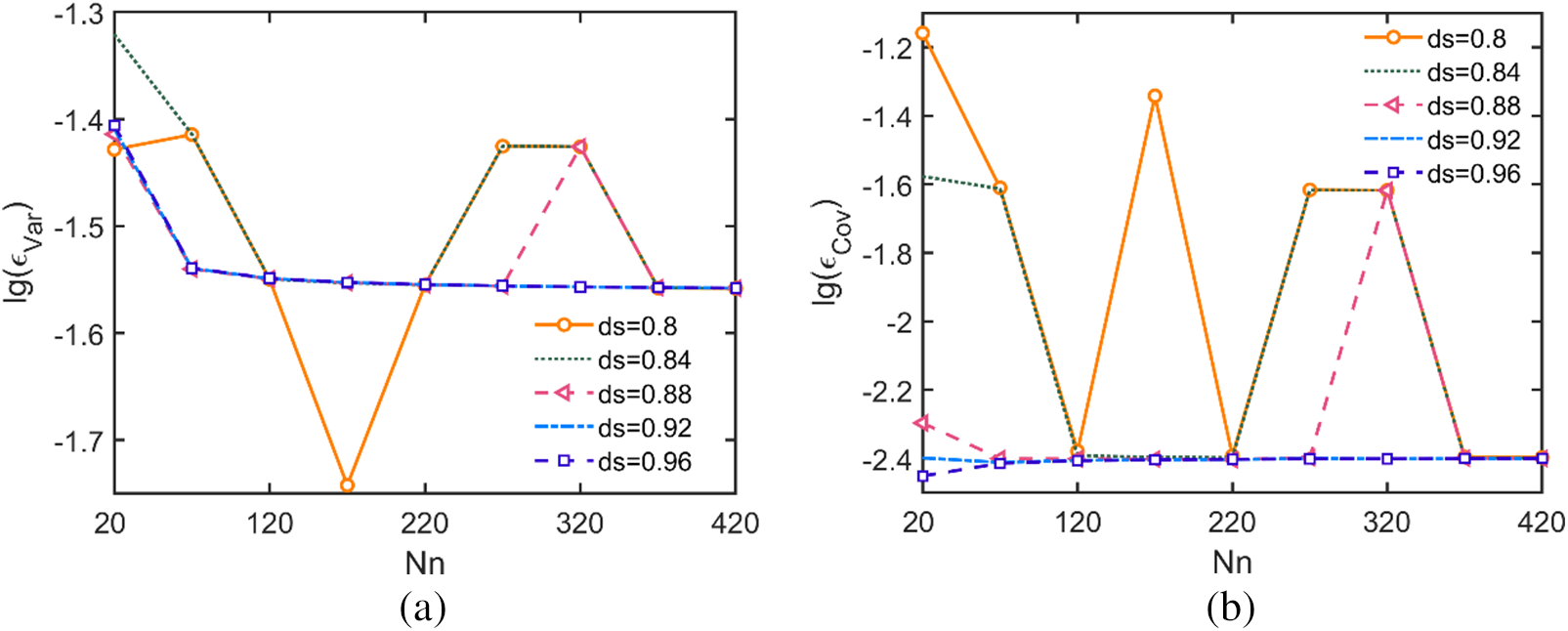
In the case of MLS- and LS-based interpolation methods, this study mainly discusses the influence of the number of nodes

Figure 6: The convergence curves of the MLS-based interpolation method with respect to the number of nodes

Figure 7: The convergence curves of the MLS-based interpolation method with respect to the number of nodes
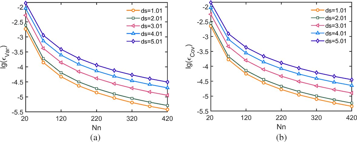
Fig. 8 displays the mean of the relative variance error

Figure 8: The convergence curves of the MLS-based interpolation method with respect to the number of nodes
Figs. 9–11 display the mean of relative variance error

Figure 9: The convergence curves of the LS-based interpolation method with respect to the number of nodes

Figure 10: The convergence curves of the LS-based interpolation method with respect to the number of nodes

Figure 11: The convergence curves of the LS-based interpolation method with respect to the number of nodes
Table 1 displays other types of covariance functions with their corresponding parameters and domains. Meanwhile, the changes in the mean of the relative covariance error


Figure 12: Variation of the mean of relative covariance error
Table 2 presents a comparison of the computation times for solving Fredholm integral eigenvalue problems using various covariance functions. The methods employ the same number of nodes, while the number of truncating terms is fixed at

4.3 Discretization of Two-Dimensional Random Fields and Stochastic Analysis
The following example is used to analyze the discretization of random fields in two-dimensional regular and irregular domains and is applied to stochastic analysis [37]. According to the one-dimensional analysis, we find that the interpolation method based on MLS and FEM can ensure both accuracy and relative stability. Therefore, in the following examples, we utilize MLS- and FEM-based interpolation methods for the discretization of random fields.
The provided Fig. 13 depicts a rectangular plate with a height of

Figure 13: A rectangular plate
The correlation length along the

Figure 14: The mesh of the rectangular plate
Fig. 15 illustrates the probability density function of the vertical displacement

Figure 15: The probability density function
Fig. 16 presents the standard deviation

Figure 16: The standard deviation
To investigate the effect of the standard deviation of elastic modulus and polynomial chaos order on the standard deviation of the vertical displacement of a plate, observation point

Figure 17: The standard deviation
To compare the applicability of different methods for the discretization of random fields in two-dimensional irregular domains, a square plate with a pentagonal hole, as shown in Fig. 18, was calculated and subjected to random analysis. The length of the plate is

Figure 18: A square plate and the XFEM mesh
As the plate with a hole has an irregular domain, the basis function in the extended finite element method can be used to replace the finite element basis function when IEVP is solved in the discretization of random fields. The level set function is used to determine whether the node is in the plate. If the elements are cut by hole edge, only the part of the elements in the plate is integrated. The method is expressed as XFEM-interpolation. Meanwhile, in the subsequent stochastic analysis, the extended finite element method is combined with
An illustration of the different distribution modes of the MLS-based interpolation method used to solve the IEVP is presented in Fig. 19. Specifically, Fig. 19a shows a uniform distribution without considering the internal hole boundary, while Fig. 19b shows a scattering distribution that takes into account the internal hole boundary. A comparison between the uniform and scattering distributions are conducted by the eigenvalues which are presented in Table 3. the results show that the errors of the two distribution mode are approximately

Figure 19: The distributions of points of MLS-based interpolation method, (a) uniform distribution, (b) scattering distribution

Table 4 displays the standard deviations

Fig. 20 illustrates the distribution of the standard deviation of horizontal displacement

Figure 20: The standard deviation of horizontal displacement
The XFEM calculations presented in the previous discussion employed the same mesh for both the discretization of the random field and stochastic analysis. However, the XFEM permits different meshes for the two processes. Nevertheless, applying eigenfunctions during stochastic analysis involves multiple transformations between global and local coordinates. In contrast, the MLS-based interpolation method enables the separation of distribution points and meshes in random field discretization and stochastic analysis without requiring any coordinate transformation. Hence, when a large number of meshes are used for stochastic analysis, the MLS-based interpolation method by point interpolation without meshing confers more advantages.
This study proposes an interpolation method for solving Fredholm integral eigenvalue problems in KL expansion for random field discretization. The performance of three interpolation basis functions, namely MLS, LS, and FEM, is evaluated. Compared to the Galerkin method, which uses finite element or Legendre polynomials as basis functions and involves a two-folded integral to calculate the integral matrix containing the covariance function, the proposed interpolation method only requires a single integral, resulting in reduced computational time. Numerical examples in one-dimensional domains reveal the validity and computational efficiency of the proposed method. The LS-based interpolation method is the most efficient, and the closer the multiplier of the node support domain is to 1, the higher the accuracy is. While the MLS-based interpolation method produces more stable results than LS, and the influence of the multiplier decreases with a large number of nodes. The FEM-based interpolation method has high accuracy, and the accuracy of the eigenfunction is almost independent of the eigenfunction index.
Additionally, this study combines KL expansion and PCE to perform random analysis in two-dimensional regular and irregular domains. The results show that MLS-based interpolation provides higher computational accuracy than FEM-based interpolation in two-dimensional regular domains. As the standard deviations of the input random parameters increase, higher orders of polynomials are needed to achieve better results. In two-dimensional irregular domains, XFEM is used for stochastic analysis. The XFEM basis function can serve as the interpolation basis function, and MLS-based interpolation can be performed using uniformly distributed points for random field discretization.
Acknowledgement: The authors are grateful for the support by the Postgraduate Research & Practice Program of Jiangsu Province (Grant No. KYCX18_0526), the Fundamental Research Funds for the Central Universities (Grant No. 2018B682X14) and Guangdong Basic and Applied Basic Research Foundation (No. 2021A1515110807).
Funding Statement: The authors gratefully acknowledge the support provided by the Postgraduate Research & Practice Program of Jiangsu Province (Grant No. KYCX18_0526), the Fundamental Research Funds for the Central Universities (Grant No. 2018B682X14) and Guangdong Basic and Applied Basic Research Foundation (No. 2021A1515110807).
Author Contributions: The authors confirm contribution to the paper as follows: study conception and design: Zi Han; data collection: Zi Han; analysis and interpretation of results: Zi Han; draft manuscript preparation: Zi Han, Zhentian Huang. All authors reviewed the results and approved the final version of the manuscript.
Availability of Data and Materials: The data undering this article will be shared on reasonable request to the corresponding author.
Conflicts of Interest: The authors declare that they have no conflicts of interest to report regarding the present study.
References
1. Allaix, D. L., Carbone, V. I. (2009). Discretization of 2D random fields: A genetic algorithm approach. Engineering Structures, 31(5), 1111–1119. https://doi.org/10.1016/j.engstruct.2009.01.008 [Google Scholar] [CrossRef]
2. Betz, W., Papaioannou, I., Straub, D. (2014). Numerical methods for the discretization of random fields by means of the Karhunen–Loève expansion. Computer Methods in Applied Mechanics and Engineering, 271(5), 109–129. https://doi.org/10.1016/j.cma.2013.12.010 [Google Scholar] [CrossRef]
3. Der Kiureghian, A., Ke, J. B. (1988). The stochastic finite element method in structural reliability. Probabilistic Engineering Mechanics, 3(2), 83–91. https://doi.org/10.1016/0266-8920(88)90019-7 [Google Scholar] [CrossRef]
4. Vanmarcke, E. (2010). Random fields: Analysis and synthesis. 2nd edition. Singapore: World Scientific Publishing. [Google Scholar]
5. Liu, W. K., Belytschko, T., Mani, A. (1986). Random field finite elements. International Journal for Numerical Methods in Engineering, 23(10), 1831–1845. https://doi.org/10.1002/(ISSN)1097-0207 [Google Scholar] [CrossRef]
6. Li C. C, Der Kiureghian A. (1993). Optimal discretization of random fields. Journal of Engineering Mechanics, 119(6), 1136–1154. https://doi.org/10.1061/(ASCE)0733-9399(1993)119:6(1136) [Google Scholar] [CrossRef]
7. Zhang, X., Liu, Q., Huang, H. (2019). Numerical simulation of random fields with a high-order polynomial based Ritz–Galerkin approach. Probabilistic Engineering Mechanics, 55(9), 17–27. https://doi.org/10.1016/j.probengmech.2018.08.003 [Google Scholar] [CrossRef]
8. Dai, H. Z., Zhang, R. J., Beer, M. (2022). A new perspective on the simulation of cross-correlated random fields. Structural Safety, 96(2), 102201. https://doi.org/10.1016/j.strusafe.2022.102201 [Google Scholar] [CrossRef]
9. Zhang, J., Ellingwood, B. (1994). Orthogonal series expansions of random fields in reliability analysis. Journal of Engineering Mechanics, 120(12), 2660–2677. https://doi.org/10.1061/(ASCE)0733-9399(1994)120:12(2660) [Google Scholar] [CrossRef]
10. Ghanem, R. G., Spanos, P. D. (1991). Stochastic finite elements: A spectral approach. New York: Springer. [Google Scholar]
11. Aldosary, M., Wang, J., Li, C. (2018). Structural reliability and stochastic finite element methods: State-of-the-art review and evidence-based comparison. Engineering Computations, 35(6), 2165–2214. https://doi.org/10.1108/EC-04-2018-0157 [Google Scholar] [CrossRef]
12. Huang, S., Quek, S., Phoon, K. (2001). Convergence study of the truncated Karhunen–Loeve expansion for simulation of stochastic processes. International Journal for Numerical Methods in Engineering, 52(9), 1029–1043. https://doi.org/10.1002/nme.255 [Google Scholar] [CrossRef]
13. Papaioannou, I. (2012). Non-intrusive finite element reliability analysis methods (Ph.D. Thesis). Technical University Munich, Germany. [Google Scholar]
14. Liu, Q., Zhang, X. (2017). A Chebyshev polynomial-based Galerkin method for the discretization of spatially varying random properties. Acta Mechanica, 228(6), 2063–2081. https://doi.org/10.1007/s00707-017-1819-2 [Google Scholar] [CrossRef]
15. Stefanou, G., Papadrakakis, M. (2007). Assessment of spectral representation and Karhunen–Loève expansion methods for the simulation of Gaussian stochastic fields. Computer Methods in Applied Mechanics and Engineering, 196(21–24), 2465–2477. https://doi.org/10.1016/j.cma.2007.01.009 [Google Scholar] [CrossRef]
16. Schwab, C., Todor, R. A. (2006). Karhunen–Loève approximation of random fields by generalized fast multipole methods. Journal of Computational Physics, 217(1), 100–122. https://doi.org/10.1016/j.jcp.2006.01.048 [Google Scholar] [CrossRef]
17. Basmaji, A., Dannert, M., Nackenhorst, U. (2022). Implementation of Karhunen–Loève expansion using discontinuous Legendre polynomial based Galerkin approach. Probabilistic Engineering Mechanics, 67(2), 103176. https://doi.org/10.1016/j.probengmech.2021.103176 [Google Scholar] [CrossRef]
18. Rahman, S., Xu, H. (2005). A meshless method for computational stochastic mechanics. International Journal for Computational Methods in Engineering Science and Mechanics, 6(1), 41–58. https://doi.org/10.1080/15502280590888649 [Google Scholar] [CrossRef]
19. Rahman, S. (2018). A Galerkin isogeometric method for Karhunen–Loève approximation of random fields. Computer Methods in Applied Mechanics and Engineering, 338, 533–561. https://doi.org/10.1016/j.cma.2018.04.026 [Google Scholar] [CrossRef]
20. Belytschko, T., Lu, Y. Y., Gu, L. (1994). Element-free Galerkin methods. International Journal for Numerical Methods in Engineering, 37(2), 229–256. https://doi.org/10.1002/(ISSN)1097-0207 [Google Scholar] [CrossRef]
21. Huang, Z., Lei, D., Han, Z., Zhang, P. (2019). Boundary moving least square method for numerical evaluation of two-dimensional elastic membrane and plate dynamics problems. Engineering Analysis with Boundary Elements, 108(4), 41–48. https://doi.org/10.1016/j.enganabound.2019.08.002 [Google Scholar] [CrossRef]
22. Liu, W. K., Li, S., Belytschko, T. (1997). Moving least-square reproducing kernel methods (I) methodology and convergence. Computer Methods in Applied Mechanics and Engineering, 143(1–2), 113–154. https://doi.org/10.1016/S0045-7825(96)01132-2 [Google Scholar] [CrossRef]
23. Nayroles, B., Touzot, G., Villon, P. (1992). Generalizing the finite element method: Diffuse approximation and diffuse elements. Computational Mechanics, 10(5), 307–318. https://doi.org/10.1007/BF00364252 [Google Scholar] [CrossRef]
24. Li, S., Liu, W. K. (1999). Reproducing kernel hierarchical partition of unity, Part I– formulation and theory. International Journal for Numerical Methods in Engineering, 45, 251–288. [Google Scholar]
Li, S., Lu, H., Han, W., Liu, W. K., Simkins, D. C. (2004). Reproducing kernel element method Part II: Globally conforming Im/Cn hierarchies. Computer Methods in Applied Mechanics and Engineering, 193, 953–987. [Google Scholar]
26. Yu, H., Li, S. (2021). On approximation theory of nonlocal differential operators. International Journal for Numerical Methods in Engineering, 122, 6984–7012. [Google Scholar]
27. Moës, N., Dolbow, J., Belytschko, T. (1999). A finite element method for crack growth without remeshing. International Journal for Numerical Methods in Engineering, 46(1), 131–150. [Google Scholar]
28. Belytschko, T., Black, T. (1999). Elastic crack growth in finite elements with minimal remeshing. International Journal for Numerical Methods in Engineering, 45(5), 601–620. [Google Scholar]
29. Melenk, J. M., Babuška, I. (1996). The partition of unity finite element method: Basic theory and applications. Computer Methods in Applied Mechanics and Engineering, 139(14), 289–314. https://doi.org/10.1016/S0045-7825(96)01087-0 [Google Scholar] [CrossRef]
30. Sukumar, N., Chopp, D. L., Moës, N., Belytschko, T. (2001). Modeling holes and inclusions by level sets in the extended finite-element method. Computer Methods in Applied Mechanics and Engineering, 190(46–47), 6183–6200. https://doi.org/10.1016/S0045-7825(01)00215-8 [Google Scholar] [CrossRef]
31. Trees, H. L. V. (1968). Detection, estimation and modulation theory. New York: Wiley. [Google Scholar]
32. Phoon, K. K., Huang, S. P., Quek, S. T. (2002). Simulation of second-order processes using Karhunen–Loeve expansion. Computers and Structures, 80(12), 1049–1060. https://doi.org/10.1016/S0045-7949(02)00064-0 [Google Scholar] [CrossRef]
33. Sakamoto, S., Ghanem, R. (2002). Polynomial chaos decomposition for the simulation of non-Gaussian nonstationary stochastic processes. Journal of Engineering Mechanics, 128(2), 190–201. https://doi.org/10.1061/(ASCE)0733-9399(2002)128:2(190) [Google Scholar] [CrossRef]
34. Dai, H. Z., Zheng, Z. B., Ma, H. H. (2019). An explicit method for simulating non-Gaussian and non-stationary stochastic processes by Karhunen–Loève and polynomial chaos expansion. Mechanical Systems and Signal Processing, 115(4), 1–13. https://doi.org/10.1016/j.ymssp.2018.05.026 [Google Scholar] [CrossRef]
35. Tong, M. N., Zhao, Y. G., Zhao, Z. (2021). Simulating strongly non-Gaussian and non-stationary processes using Karhunen–Loève expansion and L-moments-based Hermite polynomial model. Mechanical Systems and Signal Processing, 160(2), 107953. https://doi.org/10.1016/j.ymssp.2021.107953 [Google Scholar] [CrossRef]
36. Zhang, X. D., Bui, T. Q. (2015). A fictitious crack XFEM with two new solution algorithms for cohesive crack growth modeling in concrete structures. Engineering Computations, 32(2), 473–497. https://doi.org/10.1108/EC-08-2013-0203 [Google Scholar] [CrossRef]
37. Ghanem, R. G., Spanos, P. D. (2003). Stochastic finite elements: A spectral approach. New York: Springer. [Google Scholar]
Cite This Article
Copyright © 2024 The Author(s). Published by Tech Science Press.This work is licensed under a Creative Commons Attribution 4.0 International License , which permits unrestricted use, distribution, and reproduction in any medium, provided the original work is properly cited.


Submit a Paper
Propose a Special lssue
View Full Text
Download PDF
Downloads
Citation Tools