![]() | Computer Modeling in Engineering & Sciences | ![]() |
DOI: 10.32604/cmes.2022.019769
ARTICLE
Fixed-Time Adaptive Time-Varying Matrix Projective Synchronization of Time-Delayed Chaotic Systems with Different Dimensions
1Department of Computer Science, University of Liverpool, Liverpool, L69 3BX, UK
2ORDOS No. 1 High School East Campus, Erdos, 017010, China
3Department of Mathematics, Beijing Jiaotong University, Beijing, 100044, China
*Corresponding Author: Xiaozhen Guo. Email: 17121564@bjtu.edu.cn
Received: 14 October 2021; Accepted: 16 November 2021
Abstract: This paper deals with the fixed-time adaptive time-varying matrix projective synchronization (ATVMPS) of different dimensional chaotic systems (DDCSs) with time delays and unknown parameters. Firstly, to estimate the unknown parameters, adaptive parameter updated laws are designed. Secondly, to realize the fixed-time ATVMPS of the time-delayed DDCSs, an adaptive delay-unrelated controller is designed, where time delays of chaotic systems are known or unknown. Thirdly, some simple fixed-time ATVMPS criteria are deduced, and the rigorous proof is provided by employing the inequality technique and Lyapunov theory. Furthermore, the settling time of fixed-time synchronization (Fix-TS) is obtained, which depends only on controller parameters and system parameters and is independent of the system’s initial states. Finally, simulation examples are presented to validate the theoretical analysis.
Keywords: Time-varying matrix projective synchronization (TVMPS); fixed-time control; unknown parameters; different dimensions; time-delayed chaotic systems (TDCSs)
Since Pecora et al. [1] introduced the concept of chaotic synchronization, chaotic synchronization, as a significant dynamical behavior of chaotic systems, has gained much attention in varieties of fields such as chemical reactions, image processing, secure communications, etc. So far, various forms of synchronization in chaotic systems have been observed and developed, including complete synchronization [2,3], lag synchronization [4,5], generalized synchronization [6,7], function projective synchronization [8] and matrix projective synchronization [9,10].
It is well noticed that most of synchronization problems are studied between two identical dimensional systems. However, in practice, the synchronization often occurs in different dimensional systems, especially systems in biological or social science. For instance, the synchronization behavior between circulatory system and respiratory system [11] is a typical application. Thus, it is essential and significant to study synchronization topic in DDCSs. Up to now, in regard to synchronization of DDCSs, numerous remarkable results have been reported in [12 –16]. For example, the matrix projective synchronization was studied in [17,18], where the scaling matrices can be time-varying or time-invariant. In addition, Cai et al. [14–16] studied finite-time generalized synchronization of DDCSs.
It is universally acknowledged that time delays are frequently inevitable for a number of nonlinear dynamics systems such as physical and biological systems, which can lead to oscillations or instability in systems. So, it is difficult to reach the synchronization of TDCSs. Hence, the synchronization of TDCSs has become a hot issue and lots of related literature have been published [17–19]. Nevertheless, as far as the authors know, there exist few works for the synchronization of DDCSs with time delays up to now. Moreover, it is observed that all above aforementioned results of synchronization of TDCSs mainly consider that the parameters in master-slave systems are known with certainty. However, in practical applications, due to the influence of environment noises and limitations of equipment, it is often impossible to precisely acquire the system’s parameters in advance. These parametric uncertainties may cause performance degradation or instability of real systems. Thus, it can be reasonable to investigate the chaotic systems’ synchronization with unknown parameters via adaptive control strategies. Recently, some studies considered the synchronization of identical dimensional chaotic systems only with uncertainty parameters or only with time delays [15,20,21]. It means that previous studies did not deal with both the time delays and the parametric uncertainties simultaneously for identical dimensional chaotic systems, especially for DDCSs.
In practical applications, convergence rate is significantly important to reflect the synchronization effectiveness, that is to say, for the purpose of meeting specific requirements, it is preferable to realize synchronization in a limited time. Considering this point, various types of finite-time control strategies have been developed [22–26]. But, the settling time of finite-time synchronization (Fin-TS) relies on systems’ initial states which are required to be known in advance. In fact, in real-word systems, the initial conditions are usually nonadjustable or even unavailable sometimes which means the settling time is imprecise. To break through these limitations, the fixed-time stabilization of nonlinear dynamic systems was proposed by [27]. From then, various literature [28–31] have studied the Fix-TS. In contrast to Fin-TS, the Fix-TS contributes to a more precise estimation of the settling time. In other words, the settling time can be estimated by some constants which are simply relevant to the parameters design in control strategies, regardless of initial states. For the sake of realizing the Fix-TS, some control methods have been put forward, for example, sliding model control [32,33], impulsive control [34], pining control [35,36], adaptive control [37], Kalman filter [38,39] and, etc. Among them, adaptive control has the characteristics of fast and real-time response, which can adjust the controller parameters to realize synchronization of systems. But, as far as authors know, these results are most for chaotic systems with the same dimensions and there are few results for the Fin-TS or Fix-TS of DDCSs. In [40], the authors first studied the generalized Fin-TS of DDCS. Then the Fin-TS of DDCS with uncertain parameters was studied in [41]. Recently, in [42], the authors investigated global Fix-TS of DDCSs. However, up to now, the fixed-time strategies are still not present in the research of adaptive TVMPS of time-delayed DDCSs.
Inspired by the aforementioned concerns, the fixed-time ATVMPS of DDCSs with time delays and unknown parameters is addressed in this paper. The main contributions can be found as following: Firstly, compared with the synchronization problem of TDCSs with known and certainty parameters [17–19], this paper designs the adaptive parameter updated laws to identify the unknown parameters. Secondly, on the basis of the time delays of chaotic systems are unknown, an adaptive delay-unrelated controller is designed to realize fixed-time ATVMPS of time-delayed DDCSs. Thirdly, some simple fixed-time ATVMPS criteria are deduced, and the rigorous proof is given by utilizing inequality technique and Lyapunov theory. Fourthly, compared with finte-time synchronization [40,41], the settling time for fixed-time ATVMPS is obtained, which is regardless of initial states but only depends on controller parameters and system parameters. Finally, simulations demonstrate the effectiveness of main results.
This paper is structured as following: The model description and preliminaries are briefly presented in Section 2. Based on the unknown delays, a novel adaptive delay-unrelated controller is designed in Section 3. Section 4 shows illustrative examples. Section 5 gives some conclusions and future extension of this paper.
Notations:
2 Problem Formulation and Preliminaries
Consider the time-delayed DDCSs (1) and (2) with unknown parameters. The master system is described by:
in which
in which
Remark 1. (1) and (2) are the same dimensions when r = l. The time delays
Assumption 2.1. In this paper, we assume the dimensions r and l of master and slave systems satisfy that
To consider fixed-time ATVMPS of time-delayed DDCSs, some crucial lemmas and definitions are described as follows:
Definition 2.1. [13] Suppose there is a time-varying full row rank scaling function matrix
the finite-time TVMPS for the (1) and (2) can be realized. If
Remark 2. In Definition 2.1, it is not allowed that the element in each row of the time-varying matrix M(t) cannot be equal to zero
then it is meaningless for chaotic system’s synchronization. Additionally, the time-varying matrix M(t) is a full row rank which ensures the existence of solutions of (3).
Definition 2.2. [27] The master system (1) reaches fixed-time TVMPS with slave system (2), if their error system
Definition 2.3. Definite the vector functions
Lemma 2.1. [46] Let
Lemma 2.2. [27] Given the differential equation:
where
with constants and n > 1, then Eq. (5) is fixed-time stable, and the settling time holds
This part addresses the fixed-time TVMPS for time-delayed DDCSs (1) and (2) by designing the adaptive controller. Then, an adaptive controller will be designed for slave system (2) based on the unknown time delays. Furthermore, the rigorous proof will also be given. To get the theoretical results, we suppose that the following conditions are satisfied:
Assumption 3.1. The unknown parameter vectors are norm bounded, i.e.,
In this section, the synchronization problem of systems (1) and (2) with unknown time delays
Assumption 3.2. Assume the matrix function M(t) is piecewise continuous, differentiable, and norm bounded for any t, i.e.,
Assumption 3.3. The nonlinear continuous functions
where
Assumption 3.4. The state vector of master system (1) satisfies
Assumption 3.5. In this part, we suppose that the unknown delay
Remark 3. As is widely acknowledged, chaotic system has bounds, and its trajectory is always confined to a certain region, that is, the domain of chaotic attraction. No matter how unstable the interior of the chaotic system is, its orbit will not go out of the domain of chaotic attraction. So, the Assumption 3.4 is reasonable.
To realize fixed-time ATVMPS of chaotic systems (1) and (2) with unknown delays, the adaptive delay-unrelated controller is presented as follows:
where
To address the unknown parameters, the following updated laws are designed as:
Hence, the error system satisfies
where
Remark 4. The controller (6) and updated laws (7)–(10) do not contain delays
Theorem 3.6. Supposing Assumptions 2.1, 3.1 and 3.2–3.5 hold, the master-slave systems (1)–(2) can reach fixed-time adaptive TVMP synchronization using the proposed controller (6) and parameters updated laws (7)–(10). Moreover, the settling time is bounded
where
Proof: Let the Lyapunov-Krasovskii function:
The derivative of V(t) along (7)–(11) obeys with
Based on Assumptions 3.1–3.4 as well as the fact
and
Hence, (14) is rewritten as
Substituting
where
From Lemma 2.2, it follows
Remark 5. If we change the time-varying matrix
To verify the correctness of Theorem 3.6, we here respectively select a four-dimensional delayed hyperchaotic Lü system [47] and a three-dimensional delayed Lorenz system [48] as the master and slave systems.
The delayed hyperchaotic Lü system can be described as:
and the delayed Lorenz system is given
In this simulation, the parameters of master-slave systems are selected as a1 = 35, b1 = 20, c1 = 3, d1 = 2, e1 = 2, h1 = 1, a2 = 20, b2 = 14, c2 = 10.6, d2 = 2.8, h2 = 3 and the values of delays are chosen as
Let the initial states of (19) and (20) as x(0) = ( −2, 3, 0.4, 0.2)T, y(0) = (20, 20, 20)T. The initial values of adaptive laws (7)–(10) of unknown parameters are chosen as

Figure 1: The trajectories of the errors

Figure 2: The evolutions of parameters

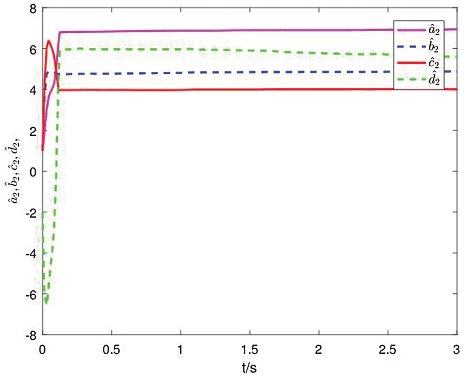
Figure 3: The evolutions of parameter

Figure 4: The evolutions of parameters

Figure 5: The evolutions of parameter
In this work, the issue with regard to the fixed-time ATVMPS of time-delayed DDCSs with unknown parameters has been investigated. To realize fixed-time ATVMPS between two nonidentical chaotic systems, one the basis of the unknown delays, an adaptive controller and parameters’ updated laws have been designed. Then, from the perspective of practice, the estimation of settling time in Fix-TS can be determined in advance, which is distinct from Fin-TS. In future work, we will consider the fixed-time ATVMPS of time-delayed DDCSs under pinning control. In addition, we will also consider Fix-TS of neural networks and complex networks with different dimensions as well as lag synchronization of the time-delayed DDCSs.
Acknowledgement: The authors wish to express their appreciation to the reviewers for their helpful suggestions which greatly improved the presentation of this paper.
Funding Statement: This work is supported by the National Natural Science Foundation of China under Grant 61977004. This support is gratefully acknowledged.
Conflicts of Interest: The authors declare that they have no conflicts of interest to report regarding the present study.
1. Pecora, L., Carroll, T. (1990). Synchronization in chaotic systems. Physical Review Letters, 64(8), 821–824. DOI 10.1103/PhysRevLett.64.821. [Google Scholar] [CrossRef]
2. Lu, J., Cao, J. (2005). Adaptive complete synchronization of two identical or different chaotic (hyperchaotic) systems with fully unknown parameters. Chaos, 15(4), 821. DOI 10.1063/1.2089207. [Google Scholar] [CrossRef]
3. Shi, X., Wang, Z. (2012). Complete synchronization of delay hyperchaotic Lü system via a single linear input. Nonlinear Dynamics, 69(4), 2245–2253. DOI 10.1007/s11071-012-0423-1. [Google Scholar] [CrossRef]
4. Wang, L., Yuan, Z., Chen, X., Zhou, Z. (2011). Lag synchronization of chaotic systems with parameter mismatches. Communications in Nonlinear Science and Numerical Simulation, 16(2), 987–992. DOI 10.1016/j.cnsns.2010.04.029. [Google Scholar] [CrossRef]
5. Zheng, M., Wang, Z., Li, L., Peng, H., Xiao, J. et al. (2018). Finite-time generalized projective lag synchronization criteria for neutral-type neural networks with delay. Chaos, Solitons & Fractals, 107, 195–203. DOI 10.1016/j.chaos.2018.01.009. [Google Scholar] [CrossRef]
6. Huang, Y., Chen, W., Ren, S., Zheng, Z. (2018). Analysis and pinning control for generalized synchronization of delayed coupled neural networks with different dimensional nodes. Journal of the Franklin Institute, 355(13), 5968–5997. DOI 10.1016/j.jfranklin.2018.05.055. [Google Scholar] [CrossRef]
7. Ouannas, A., Odibat, Z. (2015). Generalized synchronization of different dimensional chaotic dynamical systems in discrete time. Nonlinear Dynamics, 81(1–2), 765–771. DOI 10.1007/s11071-015-2026-0. [Google Scholar] [CrossRef]
8. Jian, L., Liu, S., Sprott, J. C. (2016). Adaptive complex modified hybrid function projective synchronization of different dimensional complex chaos with uncertain complex parameters. Nonlinear Dynamics, 83(1–2), 1109–1121. DOI 10.1007/s11071-015-2391-8. [Google Scholar] [CrossRef]
9. Wu, Z., Xu, X., Chen, G., Fu, X. (2014). Generalized matrix projective synchronization of general colored networks with different-dimensional node dynamics. Journal of the Franklin Institute, 351(9), 4584–4595. DOI 10.1016/j.jfranklin.2014.07.008. [Google Scholar] [CrossRef]
10. Zhang, L., Lei, Y., Wang, Y., Chen, X. (2018). Matrix projective synchronization for time-varying disturbed networks with uncertain nonlinear structures and different dimensional nodes. Neurocomputing, 311, 11–23. DOI 10.1016/j.neucom.2018.05.041. [Google Scholar] [CrossRef]
11. Stefanovska, A., Haken, H., Mcclintock, P. V. E., Hozic, M., Bajrovic, F. et al. (2000). Reversible transitions between synchronization states of the cardiorespiratory system. Physical Review Letters, 85(22), 4831–4834. DOI 10.1103/PhysRevLett.85.4831. [Google Scholar] [CrossRef]
12. Hao, D., Si, G., Jia, L., Zhang, Y. (2014). Finite-time generalized function matrix projective lag synchronization of coupled dynamical networks with different dimensions via the double power function nonlinear feedback control method. Physica Scripta, 89(7), 075204. DOI 10.1088/0031-8949/89/7/075204. [Google Scholar] [CrossRef]
13. Fan, A., Li, J. (2018). Adaptive neural network prescribed performance matrix projection synchronization for unknown complex dynamical networks with different dimensions. Neurocomputing, 281, 55–66. DOI 10.1016/j.neucom.2017.11.055. [Google Scholar] [CrossRef]
14. Cai, N., Li, W., Jing, Y. (2011). Finite-time generalized synchronization of chaotic systems with different order. Nonlinear Dynamics, 64(4), 385–393. DOI 10.1007/s11071-010-9869-1. [Google Scholar] [CrossRef]
15. Zhao, J., Wu, Y., Wang, Y. (2013). Generalized finite-time synchronization between coupled chaotic systems of different orders with unknown parameters. Nonlinear Dynamics, 74(3), 479–485. DOI 10.1007/s11071-013-0970-0. [Google Scholar] [CrossRef]
16. Zhang, D., Mei, J., Miao, P. (2017). Global finite-time synchronization of different dimensional chaotic systems. Applied Mathematical Modelling, 48, 303–315. DOI 10.1016/j.apm.2017.04.009. [Google Scholar] [CrossRef]
17. Gan, Q., Xu, R., Kang, X. (2011). Synchronization of chaotic neural networks with mixed time delays. Communications in Nonlinear Science and Numerical Simulation, 16(2), 966–974. DOI 10.1016/j.cnsns.2010.04.036. [Google Scholar] [CrossRef]
18. Li, X., Rakkiyappan, R. (2013). Impulsive controller design for exponential synchronization of chaotic neural networks with mixed delays. Communications in Nonlinear Science and Numerical Simulation, 18(6), 1515–1523. DOI 10.1016/j.cnsns.2012.08.032. [Google Scholar] [CrossRef]
19. Mobayen, S., Ma, J. (2018). Robust finite-time composite nonlinear feedback control for synchronization of uncertain chaotic systems with nonlinearity and time-delay. Chaos, Solitons & Fractals, 114, 46–54. DOI 10.1016/j.chaos.2018.06.020. [Google Scholar] [CrossRef]
20. Botmart, T., Niamsup, P., Liu, X. (2012). Synchronization of non-autonomous chaotic systems with time-varying delay via delayed feedback control. Communications in Nonlinear Science and Numerical Simulation, 17(4), 1894–1907. DOI 10.1016/j.cnsns.2011.07.038. [Google Scholar] [CrossRef]
21. Efredy, D. A., Manuel, A. D. M., Norelys, A. C. (2016). Adaptive synchronization of Lorenz systems using a reduced number of control signals and parameters without knowing bounds on system parameters and trajectories. IMA Journal of Mathematical Control and Information, 35(1), 149–164. DOI 10.1093/imamci/dnw042. [Google Scholar] [CrossRef]
22. Mei, J., Jiang, M., Xu, W., Wang, B. (2013). Finite-time synchronization control of complex dynamical networks with time delay. Communications in Nonlinear Science and Numerical Simulation, 18(9), 2462–2478. DOI 10.1016/j.cnsns.2012.11.009. [Google Scholar] [CrossRef]
23. Wu, Y., Cao, J., Li, Q., Alsaedi, A., Alsaadi, F. E. (2017). Finite-time synchronization of uncertain coupled switched neural networks under asynchronous switching. Neural Networks, 85, 128–139. DOI 10.1016/j.neunet.2016.10.007. [Google Scholar] [CrossRef]
24. Liu, M., Jiang, H., Hu, C. (2018). Aperiodically intermittent strategy for finite-time synchronization of delayed neural networks. Neurocomputing, 310, 1–9. DOI 10.1016/j.neucom.2018.04.009. [Google Scholar] [CrossRef]
25. Zhang, L., Zhong, J., Lu, J. (2021). Intermittent control for finite-time synchronization of fractional-order complex networks. Neural Networks, 144, 11–20. DOI 10.1016/j.neunet.2021.08.004. [Google Scholar] [CrossRef]
26. Du, F., Lu, J. G. (2021). New criterion for finite-time synchronization of fractional order memristor-based neural networks with time delay. Applied Mathematics and Computation, 389, 125616. DOI 10.1016/j.amc.2020.125616. [Google Scholar] [CrossRef]
27. Polyakov, A. (2012). Nonlinear feedback design for fixed-time stabilization of linear control systems. IEEE Transactions on Automatic Control, 57(8), 2106–2110. DOI 10.1109/TAC.2011.2179869. [Google Scholar] [CrossRef]
28. Hong, H., Yu, W., Wen, G., Yu, X. (2017). Distributed robust fixed-time consensus for nonlinear and disturbed multiagent systems. IEEE Transactions on Systems, Man, and Cybernetics: Systems, 47(7), 1464–1473. DOI 10.1109/TSMC.2016.2623634. [Google Scholar] [CrossRef]
29. Wang, L., Zeng, Z., Hu, J., Wang, X. (2017). Controller design for global fixed-time synchronization of delayed neural networks with discontinuous activations. Neural Networks, 87, 122–131. DOI 10.1016/j.neunet.2016.12.006. [Google Scholar] [CrossRef]
30. Zhang, Y., Zhuang, J., Xia, Y., Bai, Y., Cao, J. et al. (2019). Fixed-time synchronization of the impulsive memristor-based neural networks. Communications in Nonlinear Science and Numerical Simulation, 77, 40–53. DOI 10.1016/j.cnsns.2019.04.021. [Google Scholar] [CrossRef]
31. Long, C., Zhang, G., Hu, J. (2021). Fixed-time synchronization for delayed inertial complex-valued neural networks. Applied Mathematics and Computation, 405, 126272. DOI 10.1016/j.amc.2021.126272. [Google Scholar] [CrossRef]
32. Khanzadeh, A., Pourgholi, M. (2017). Fixed-time sliding mode controller design for synchronization of complex dynamical networks. Nonlinear Dynamics, 88(4), 1–13. DOI 10.1007/s11071-017-3400-x. [Google Scholar] [CrossRef]
33. Shirkavand, M., Pourgholi, M. (2018). Robust fixed-time synchronization of fractional order chaotic using free chattering nonsingular adaptive fractional sliding mode controller design. Chaos, Solitons & Fractals, 113, 135–147. DOI 10.1016/j.chaos.2018.05.020. [Google Scholar] [CrossRef]
34. Yang, X., Lam, J., Ho, D. W. C., Feng, Z. (2017). Fixed-time synchronization of complex networks with impulsive effects via nonchattering control. IEEE Transactions on Automatic Control, 62(11), 5511–5521. DOI 10.1109/TAC.9. [Google Scholar] [CrossRef]
35. Liu, X., Chen, T. (2017). Finite-time and fixed-time cluster synchronization with or without pinning control. IEEE Transactions on Cybernetics, 48(1), 240–252. DOI 10.1109/TCYB.2016.2630703. [Google Scholar] [CrossRef]
36. Lü, H., He, W., Han, Q., Peng, C. (2019). Fixed-time pinning-controlled synchronization for coupled delayed neural networks with discontinuous activations. Neural Networks, 116, 139–149. DOI 10.1016/j.neunet.2019.04.010. [Google Scholar] [CrossRef]
37. Jiang, S., Lu, X., Cai, G., Cai, S. (2017). Adaptive fixed-time control for cluster synchronisation of coupled complex networks with uncertain disturbances. International Journal of Systems Science, 48(16), 3382–3390. DOI 10.1080/00207721.2017.1384962. [Google Scholar] [CrossRef]
38. Wang, Y., Zheng, W., Sun, S., Li, L. (2016). Robust information filter based on maximum correntropy criterion. Journal of Guidance, Control, and Dynamics, 39(5), 1126–1131. DOI 10.2514/1.G001576. [Google Scholar] [CrossRef]
39. Wang, Y., Sun, S., Li, L. (2014). Adaptively robust unscented kalman filter for tracking a maneuvering vehicle. Journal of Guidance, Control, and Dynamics, 37(5), 1696–1701. DOI 10.2514/1.G000257. [Google Scholar] [CrossRef]
40. Na, C., Li, W., Jing, Y. (2011). Finite-time generalized synchronization of chaotic systems with different order. Nonlinear Dynamics, 64(4), 385–393. DOI 10.1007/s11071-010-9869-1. [Google Scholar] [CrossRef]
41. Zhao, J., Wu, Y., Wang, Y. (2013). Generalized finite-time synchronization between coupled chaotic systems of different orders with unknown parameters. Nonlinear Dynamics, 74(1), C479–C485. DOI 10.1007/s11071-013-0970-0. [Google Scholar] [CrossRef]
42. Guo, X., Wen, G., Peng, Z., Zhang, Y. (2020). Global fixed-time synchronization of chaotic systems with different dimensions. Journal of the Franklin Institute, 357(2), 1155–1173. DOI 10.1016/j.jfranklin.2019.11.063. [Google Scholar] [CrossRef]
43. Feng, C. F. (2010). Projective synchronization between two different time-delayed chaotic systems using active control approach. Nonlinear Dynamics, 62(1–2), 453–459. DOI 10.1007/s11071-010-9733-3. [Google Scholar] [CrossRef]
44. Pourdehi, S., Karimaghaee, P., Karimipour, D. (2011). Adaptive controller design for lag-synchronization of two non-identical time-delayed chaotic systems with unknown parameters. Physics Letters A, 375(17), 1769–1778. DOI 10.1016/j.physleta.2011.02.008. [Google Scholar] [CrossRef]
45. Ahmad, I., Saaban, A. B., Ibrahim, A. B., Shahzad, M., Al-sawalha, M. M. (2016). Reduced-order synchronization of time-delay chaotic systems with known and unknown parameters. Optik, 127(13), 5506–5514. DOI 10.1016/j.ijleo.2016.02.078. [Google Scholar] [CrossRef]
46. Zuo, Z., Tie, L. (2016). Distributed robust finite-time nonlinear consensus protocols for multi-agent systems. International Journal of Systems Science, 47(6), 1366–1375. DOI 10.1080/00207721.2014.925608. [Google Scholar] [CrossRef]
47. Wang, Z., Shi, X. (2013). Coexistence of anti-synchronization and complete synchronization of delay hyperchaotic Lü systems via partial variables. Journal of Vibration and Control, 19(14), 2199–2210. DOI 10.1177/1077546312455677. [Google Scholar] [CrossRef]
48. Zhang, X. H., Cui, Z. Y., Zhu, Y. Y. (2009). Synchronization and circuit experiment simulation of chaotic time-delay systems. Pacific-Asia Conference on Circuits, Communications and Systems, pp. 781–784. Chengdu, China. DOI 10.1109/PACCS.2009.73. [Google Scholar] [CrossRef]
![]() | This work is licensed under a Creative Commons Attribution 4.0 International License, which permits unrestricted use, distribution, and reproduction in any medium, provided the original work is properly cited. |