![]() | Computer Modeling in Engineering & Sciences | ![]() |
DOI: 10.32604/cmes.2022.019687
ARTICLE
A Novel Meshfree Analysis of Transient Heat Conduction Problems Using RRKPM
1College of Intelligent Engineering, Shandong Management University, Jinan, 250357, China
2School of Mechanical and Automotive Engineering, Qilu University of Technology (Shandong Academy of Sciences), Jinan, 250353, China
3Shandong Institute of Mechanical Design and Research, Jinan, 250353, China
*Corresponding Author: Gaofeng Wei. Email: wgf@qlu.edu.cn
Received: 08 October 2021; Accepted: 18 November 2021
Abstract: By introducing the radial basis functions (RBFs) into the reproducing kernel particle method (RKPM), the calculating accuracy and stability of the RKPM can be improved, and a novel meshfree method of the radial basis RKPM (meshfree RRKPM) is proposed. Meanwhile, the meshfree RRKPM is applied to transient heat conduction problems (THCP), and the corresponding equations of the meshfree RRKPM for the THCP are derived. The two-point time difference scheme is selected to discretize the time of the THCP. Finally, the numerical results illustrate the effectiveness of the meshfree RRKPM for the THCP.
Keywords: Transient heat conduction; meshfree method; reproducing kernel particle method; meshfree RRKPM; two-point difference method
Many practical engineering structures run in high temperature, such as steam turbines, high-speed diesel engines and nuclear power plants, etc. The temperature field can change the properties of material structure. Therefore, it is an important subject to study the THCP of the structure in the condition of being heated [1,2].
Numerical simulation is an important analysis tool to research the THCP [3]. Finite element method (FEM) is one of the main numerical simulation methods. Many complex and difficult mechanical problems can be solved by the FEM, and valuable results can be derived [4,5]. However, due to the limitation of the correlation conditions between elements in the FEM, it is difficult to deal with the discontinuous problem in practical engineering problems, such as the formation of cracks and their mechanical behavior, the discontinuity in jointed rock mass and the crack propagation with moving boundary [6,7]. In order to improve the restriction of correlation conditions between elements, many novel methods have been proposed in recent years, such as meshfree (or meshless, element-free) method [8,9], numerical manifold method (NMM) [10–12], boundary element method (BEM) [13,14], and numerical method based on least square method [15–17], etc.
The meshfree approximating technique is adopted in the meshfree method, which makes the approximating function free from the constraints of elements and greatly simplifies the analysis and calculation of pretreatment and crack propagation. Meshfree method has attracted attention in mechanics and practical engineering, and been widely used in the study of the THCP. At present, many meshfree methods have been developed, such as smooth particle hydrodymics (Abbreviation: SPH, proposed by Lucyt and Gingold in 1977) [18,19], element-free Galerkin method (Abbreviation: EFGM, proposed by Belytschko in 1994) [20–22], meshfree local Petrov-Galerkin method (Abbreviation: MLPG, proposed by Atluri in 1998) [23–26], reproducing kernel particle method (Abbreviation: RKPM, proposed by Liu in 2005) [27–30], radial basis functions method (Abbreviation: RBF, proposed by Žilinskas in 2010) [31,32], complex variable meshfree manifold method (Abbreviation: CVMMM, proposed by Gao in 2010) [33], the finite point method (Abbreviation: FPM, proposed by Tatari in 2011) [34,35], Hermit-type reproducing kernel particle method (Abbreviation: Hermit-type RKPM, proposed by Ma in 2017) [36–39] and boundary integral equation method (Abbreviation: BIE, proposed by Mantegh in 2010) [40,41], etc.
Because of the advantages of simple form and fast calculation speed, the RKPM is one of the meshfree methods which are widely applied and researched [42–44]. The RKPM is first proposed based on the SPH and the integral reconstruction theory of functions. The RKPM solves the boundary inconsistency, and eliminates the tensile instability of the SPH method. The method has some advantages, such as variable time frequency characteristics and multi-resolution characteristics. Therefore, the RKPM has been widely used in many practical engineering problems, such as large deformation analysis problems, structural dynamics problems, micro-electromechanical system analysis problems, nonlinear problem of hyperelastic rubber materials, high-speed impact problems and so on [45–47].
However, different kernel functions have different effects on the calculating accuracy and computational stability in the analysis of solving the THCP. In order to improve the calculating accuracy and stability of the RKPM, the RBF is introduced into the RKPM, and the meshfree RRKPM is proposed in this paper. Meanwhile, the meshfree RRKPM is applied to the THCP, and the corresponding equations of the meshfree RRKPM for THCP are derived. The numerical results illustrated the effectiveness of the meshfree RRKPM for the THCP.
2 Construction of the Approximating Function of Meshfree RRKPM
The approximating function
where
The RBF
with
The RKF
where
The coefficient matrix
The polynomial basis function
The Eq. (1) can be rewritten as the following form:
in which
The approximating function
in which
The weighted least squares method is used to obtain approximating functions
where
The Eq. (11) can be rewritten as the following form:
where
Let J take the minimum, that is
The following form can be obtained
where
The Eq. (17) can be given as
Substituting Eq. (20) into Eq. (7), the approximating function
in which shaped function
3 Governing Equation of the THCP for Meshfree RRKPM
3.1 Fundamental Equations for the THCP
From the theory of transient heat conduction, the differential equation of THCP in orthotropic plane can be expressed as
where
The material is assumed to be isotropic with
or
in which
Assuming no heat source, the Eq. (25) is rewritten as the Fourier equation:
In order to obtain the unique solution of the THCP, boundary conditions and initial conditions must be applied. There are three kinds of boundary conditions as follows:
1. The first kind of boundary condition is that the temperature on the boundary is known, and the formula is
(2) The second kind of boundary condition is that the heat flux density on the boundary is known. Because the direction of the heat flux is the exterior normal direction of the boundary, the formula is as following:
(3) The third kind of boundary condition is that the convection or radiant heat transfer on the boundary is known. For convection heat transfer conditions
For radiant heat transfer conditions, it can be written as
with
The initial condition is the known value of the temperature at the beginning of the heat transfer process, and the formula is
or
From the heat conduction equation and boundary conditions, it can be seen that there is only one partial differential equation (PDE) and only one temperature as an unknown variable, therefore, the THCP is actually solving the PDE.
3.2 Integral Weak Form of the THCP
In a certain instantaneous state,
The field function, which makes the variational of the function
Taking the first kind of boundary problem as an example, the temperature function
with
Substituting Eq. (36) into Eq. (38), the integral weak form of the THCP is
where
3.3 The Meshfree RRKPM for the THCP
The THCP is a function in space domain Ω and in time domain t, and these two domains are not coupled. Therefore, the meshfree RRKPM and finite difference method (FDM) can be used to solve the problem, that is, the THCP is solved by the meshfree RRKPM in space domain and by the FDM in time domain. Firstly, the domain Ω is discretized into a finite number of nodes, and then the temperature of any point in the domain at any time t is approximated by the node temperature
It should be noted that
in which
and
with
Substituting Eqs. (43), (45) and (47) into Eq. (39), the following form can be obtained:
In order to solve the discrete system equations, the integral Eq. (50) is discussed separately below.
The first term of Eq. (50) is
where
The second term of Eq. (50) is
where
The third term of Eq. (50) is
The fourth term of Eq. (50) is
The fifth term of Eq. (50) is
where
The sixth term of Eq. (50) is
where
The seventh term of Eq. (50) is
where
The eighth term of Eq. (50) is
where
Substituting Eqs. (51), (54), (57), (60), (63), (66), (69) and (72) into Eq. (50), and the following form can be given:
From the arbitrariness of
where
The PDE problems of the THCP have been discretized into initial value problems of the ODE with nodal temperature
The above is the meshfree RRKPM for the THCP.
Eq. (76) is the linear ODE with time t being independent variable. In order to discretize the time domain of the ODE, the traditional two-point difference method is used in this paper.
In space domain Ω, the temperature vector T is a function of time t, and can be divided into several elements. In any element,
where
When the ODE only contains the first-order derivative of time t, the interpolate function is a linear polynomial, and the two-point first-order interpolation can be used.
For the time interval
The first-order derivative of T(z, t) is
The interpolate function and the first-order derivative can be expressed by the local variable
Using approximating interpolation of Eqs. (80) and (81), the Eq. (76) inevitably produces residual in a time interval
Substituting Eq. (82) into Eq. (83), the residual relation of two time intervals can be given as
Eq. (84) can be seen as a general form applicable to any weighted function.
Substituting Eq. (86) into Eq. (85), the following form can be expressed
here
The above is the time difference scheme for the THCP.
5.1 Transient Temperature Field of the THCP in Rectangular Domain
The governing equation of the THCP in the rectangular domain is
According to the boundary conditions, written as
and the initial condition, given by
The analytical solution of the THCP can be obtained as
As shown in Fig. 1, 11 × 11 nodes are uniformly distributed in the rectangular THCP domain
In order to discuss the influence of kernel functions on the calculation accuracy and stability, the kernel function is taken as the following two forms:

Figure 1: Distribution of nodes in rectangular domain for the THCP
In order to illustrate the validity of the proposed method, the temperature in x = 0.5 and at t = 0.1 s is calculated by the analytical solution, RKPM and RRKPM, respectively. Fig. 2 gives the comparison of the temperature between two methods using different kernel functions which the kernel function of Eq. (94) is defined as the kernel function 1 and the kernel function of (95) is defined as the kernel function 2. The relative error is defined as
where

Figure 2: The temperature of the THCP for the RRKPM and the RKPM in x = 0.5 and at t = 0.1 s
Fig. 3 discusses the relative error for the RRKPM and the RKPM, and it can be found that the maximum relative errors are 0.4518% and 0.4464% for the RRKPM, and 1.8054% and 1.2586% for the RKPM, respectively. The results illustrate that the RRKPM has better accuracy and stability than that of the RKPM.

Figure 3: The relative errors of the THCP for the RRKPM and the RKPM in x = 0.5 and at t = 0.1 s
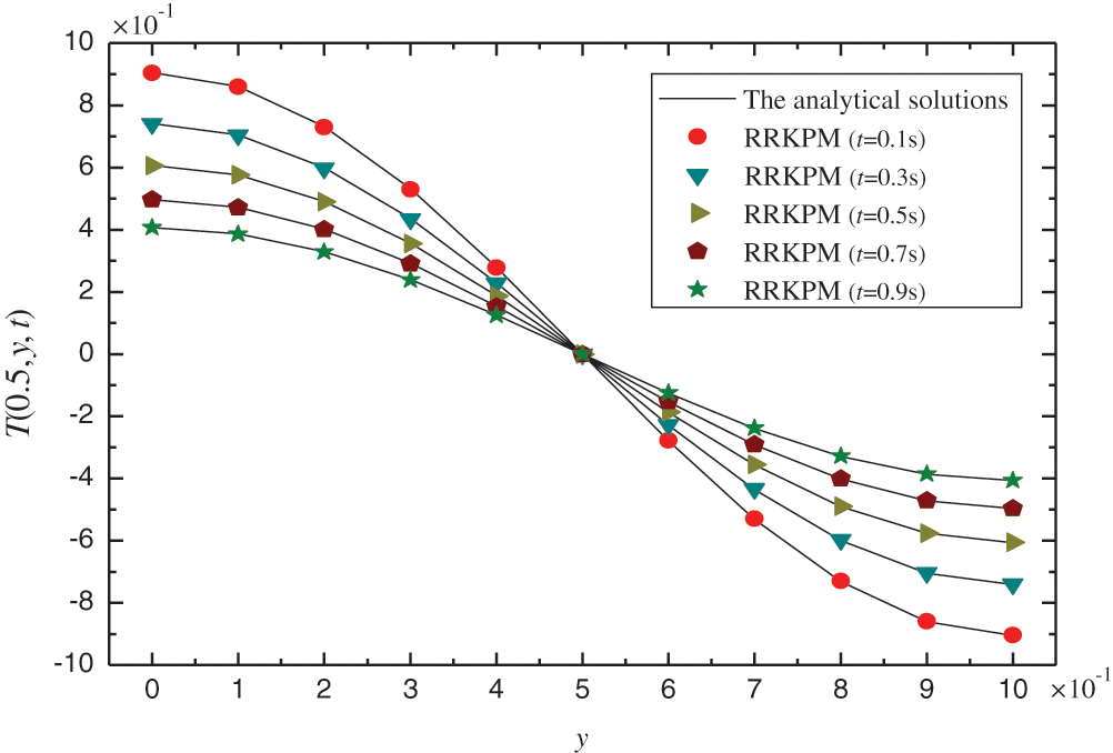
Because the kernel function 1 has better accuracy than the kernel function 2, the kernel function 1 is used in the following analysis. Fig. 4 compares the temperatures between the analytical solution and the RRKPM in x = 0.5 and at t = 0.1, 0.3, 0.5, 0.7, 0.9 s, and it can be found that the solution of RRKPM agrees well with the analytical solution.

Figure 4: The temperature of the THCP for the RRKPM and the RKPM at different time in x = 0.5
Fig. 5 discusses the temperature among the analytical solution, the RKPM and the RRKPM in y = 0.7 and at t = 0.1 s. Fig. 6 analyzes the relative errors of the RKPM and the RRKPM. The maximum relative errors are 0.4400% and 1.8012% for the RRKPM and the RKPM, respectively, and it can be found that the RRKPM is in better agreement with the analytical solution.

Figure 5: The temperature of the THCP for the RRKPM and the RKPM in y = 0.7 and at t = 0.1 s

Figure 6: The relative errors between the RRKPM and the RKPM in y = 0.7 and at t = 0.1 s
Fig. 7 compares the temperature between the analytical solution and the RRKPM in y = 0.7 and at t = 0.1, 0.3, 0.5, 0.7, 0.9 s. The maximum relative error is 0.0795% for the RRKPM, and it can also be found that the RRKPM is consistent with the analytical solution.
The calculation results of the RRKPM are in better agreement with the analytical solutions, which shows that the calculation accuracy of the RRKPM is higher than that of RKPM. When different kernel functions are used for calculation, the calculated values of the RRKPM are consistent, but the RKPM has a large deviation. Meanwhile, the numerical results also show that the calculating accuracy of the RRKPM is not affected by kernel function, and its stability is better than that of RKPM.

Figure 7: The temperature for the RRKPM and the RKPM in y = 0.7 at different time
5.2 Transient Temperature Field of the THCP in a Semi-Circular Ring Plate
The governing equation of the THCP in semi-circular ring plate is
Based on the boundary conditions
and the initial condition
The analytical solution of the THCP is written as
Fig. 8 is the node distribution in the THCP domain

Figure 8: Node distribution in the semi-circular ring plate
The temperature in θ = π/4 and at t = 0.1 s is calculated by the analytical solution, the RRKPM and the RKPM, respectively (shown as Fig. 9). In order to prove the effectiveness of the RRKPM, Fig. 10 gives the relative errors of the RRKPM and the RKPM in θ = π/4 and at t = 0.1 s. It can be found from Fig. 10 that the maximum relative error is 0.4421% for the RRKPM, and 1.7556% for the RKPM. The results illustrate that the RRKPM has a higher accuracy than the RKPM.

Figure 9: The temperature of the THCP for the RRKPM and the RKPM in θ = π/4 and at t = 0.1 s

Figure 10: The relative errors of the RRKPM and the RKPM for the THCP in θ = π/4 and at t = 0.1 s
Fig. 11 compares the temperatures between the analytical solution and the RRKPM in θ = π/2 and at t = 0.1, 0.3, 0.5, 0.7, 0.9 s. The maximum relative error is 0.4256% for the RRKPM, and it can be illustrated that the RRKPM is consistent with the analytical solution.

Figure 11: The temperature of the THCP for the RRKPM in θ = π/2 at different time
Fig. 12 discusses the temperature among the analytical solution, the RKPM and the RRKPM in r = 1.8 and at t = 0.1 s. Fig. 13 analyzes the relative errors of the RRKPM and the RKPM. The maximum relative error is 0.4512% for the RRKPM, and 1.8179% for the RKPM, so the RRKPM agrees well with the analytical solution.

Figure 12: The temperature of the THCP for the RRKPM and the RKPM in r = 1.8 and at t = 0.1 s

Figure 13: The relative errors of the THCP for the RRKPM and the RKPM
Fig. 14 discusses the temperature among the analytical solution, the RKPM and the RRKPM in r = 1.5 and at t = 0.1, 0.3, 0.5, 0.7, 0.9 s. The maximum relative error is 0.4186% for the RRKPM, and 1.7241% for the RKPM. It can be illustrated that the solution of RRKPM is consistent with the analytical solution.

Figure 14: The temperature of the THCP for the RRKPM and the RKPM in r = 1.5 under different time
From above calculations, it can be shown that the calculation accuracy of the meshfree RRKPM is higher than that of the RKPM. When different kernel functions are used for calculation, the calculated values of the meshfree RRKPM are consistent, but the RKPM has a large deviation. So the numerical result of the meshfree RRKPM cannot be affected by the kernel function, and its stability is better than that of the RKPM.
A novel meshfree analysis of the RRKPM is developed for the THCP in this paper. The discrete governing equation of the THCP is established by the Galerkin weak form, and the corresponding equations of the meshfree RRKPM for the THCP are derived. From several examples of the THCP, it can be found that the meshfree analysis of the RRKPM has better calculating accuracy and convergence than that of the RKPM for solving the THCP. Meanwhile, the meshfree RRKPM can also be applied to many other interesting problems, such as complex structure dynamics, crack propagation and fracture, etc. These problems need to be further researched in the future work.
Availability of Data and Materials: The data and material used to support the findings of this study are available from the corresponding author upon request.
Authorship Contribution Statement: Hongfen Gao: Methodology, Software, Formal Analysis, Validation, Writing-Original Draft, Investigation. Gaofeng Wei: Conceptualization, Data Curation, Funding Acquisition, Writing-Review & Editing.
Acknowledgement: The first author is made possible through support from the Docking Industrial Collaborative Innovation Center of “Internet Plus Intelligent Manufacturing” of Shandong Universities.
Funding Statement: The first author is supported by the Natural Science Foundation of Shandong Province (Grant No. ZR2017MA028). The second author is supported by the Natural Science Foundation of Shandong Province (Grant No. ZR2020MA059).
Conflicts of Interest: The authors declare that they have no conflicts of interest to report regarding the present study.
1. Gao, H. F., Wei, G. F. (2019). Numerical solution of potential problems using radial basis reproducing kernel particle. Results in Physics, 13, 102122. DOI 10.1016/j.rinp.2019.02.058. [Google Scholar] [CrossRef]
2. Ren, H. P., Cheng, Y. M., Zhang, W. (2009). An improved boundary element-free method (IBEFM) for two-dimensional potential problems. Chinese Physics B, 18(10), 4065–4073. DOI 10.1088/1674-1056/18/10/002. [Google Scholar] [CrossRef]
3. Peng, M. J., Cheng, Y. M. (2009). A boundary element-free Galerkin (BEFG) for two-dimensional potential problems. Engineering Analysis with Boundary Elements, 33, 77–82. DOI 10.1016/j.enganabound.2008.03.005. [Google Scholar] [CrossRef]
4. Mirzajani, M., Khaji, N., Hori, M. (2018). Stress wave propagation analysis in one-dimensional micropolar rods with variable cross-section using micropolar wave finite element method. International Journal of Applied Mechanics, 10(4), 1850039. DOI 10.1142/S1758825118500394. [Google Scholar] [CrossRef]
5. Kim, J., Dargush, G. F., Roh, H., Ryu, J., Kim, D. (2017). Unified space–time finite element methods for dissipative continua dynamics. International Journal of Applied Mechanics, 9(2), 1750019. DOI 10.1142/S1758825117500193. [Google Scholar] [CrossRef]
6. Liu, M. B., Liu, G. R. (2006). Restoring particle consistency in smoothed particle hydrodynamics. Applied Numerical Mathematics, 56, 19–36. DOI 10.1016/j.apnum.2005.02.012. [Google Scholar] [CrossRef]
7. Huang, R., Zheng, S. J., Liu, Z. S., Ng, T. Y. (2020). Recent advances of the constitutive models of smart materials-hydrogels and shape memory polymers. International Journal of Applied Mechanics, 12(2), 2050014. DOI 10.1142/S1758825120500143. [Google Scholar] [CrossRef]
8. Liu, F. B., Wu, Q., Cheng, Y. M. (2019). A meshfree method based on the nonsingular weight functions for elastoplastic large deformation problems. International Journal of Applied Mechanics, 11(1), 1950006. DOI 10.1142/S1758825119500066. [Google Scholar] [CrossRef]
9. Liu, Z., Wei, G. F., Qin, S. P., Wang, Z. M. (2022). The elastoplastic analysis of functionally graded materials using a meshfree RRKPM. Applied Mathematics and Computation, 413, 126651. DOI 10.1016/j.amc.2021.126651. [Google Scholar] [CrossRef]
10. Gao, H. F., Wei, G. F. (2017). Complex variable meshfree manifold method for transient heat conduction problems. International Journal of Applied Mechanics, 9(5), 1750067. DOI 10.1142/S1758825117500673. [Google Scholar] [CrossRef]
11. Gao, H. F., Cheng, Y. M. (2009). Complex variable numerical manifold method for elasticity. Acta Mechanica Sinica (Chinese), 41(4), 480–488. [Google Scholar]
12. Gao, H. F., Wei, G. F. (2014). Stress intensity factor for interface cracks in bimaterials using complex variable meshless manifold method. Mathematical Problems in Engineering, 2014, 353472. DOI 10.1155/2014/353472. [Google Scholar] [CrossRef]
13. Peixoto, R. G., Penna, S. S., Pitangueira, R. L. S., Ribeiro, G. O. (2019). A non-local damage approach for the boundary element method. Applied Mathematical Modelling, 69, 63–76. DOI 10.1016/j.apm.2018.11.053. [Google Scholar] [CrossRef]
14. Duan, W. Y., Liu, R. Z., Chen, J. K., Ma, S. (2020). Hydrodynamic analysis of floating breakwater with perforated structure based on the Taylor expansion boundary element method. Ocean Engineering, 200, 107044. DOI 10.1016/j.oceaneng.2020.107044. [Google Scholar] [CrossRef]
15. Cheng, J. (2021). Residential land leasing and price under public land ownership. Journal of Urban Planning and Development, 147(2), 05021009. DOI 10.1061/(ASCE)UP.1943-5444.0000701. [Google Scholar] [CrossRef]
16. Cheng, J. (2021). Analysis of commercial land leasing of the district governments of Beijing in China. Land Use Policy, 100, 104881. DOI 10.1016/j.landusepol.2020.104881. [Google Scholar] [CrossRef]
17. Cheng, J. (2021). Mathematical models and data analysis of residential land leasing behavior of district governments of Beijing in China. Mathematics, 9, 2314. DOI 10.3390/math9182314. [Google Scholar] [CrossRef]
18. Liu, M. B., Liu, G. R. (2010). Smoothed particle hydrodynamics (SPHAn overview and recent developments arch. Archives Computational Methods in Engineering, 17, 25–76. DOI 10.1007/s11831-010-9040-7. [Google Scholar] [CrossRef]
19. Liu, M. B., Zhang, Z. L., Feng, D. L. (2017). A Density-adaptive SPH method with kernel gradient correction for modeling explosive welding. Computational Mechanics, 4, 1–17. DOI 10.1007/s00466-017-1420-5. [Google Scholar] [CrossRef]
20. Cheng, Y. M., Bai, F. N., Peng, M. J. (2014). A novel interpolating element-free Galerkin (IEFG) method for two-dimensional elastoplasticity. Applied Mathematical Modelling, 38, 5187–5197. DOI 10.1016/j.apm.2014.04.008. [Google Scholar] [CrossRef]
21. Cheng, Y. M., Bai, F. N., Liu, C., Peng, M. J. (2016). Analyzing nonlinear large deformation with an improved element-free Galerkin method via the interpolating moving least-squares method. International Journal of Computational Materials Science and Engineering, 5, 1650023. DOI 10.1142/S2047684116500238. [Google Scholar] [CrossRef]
22. Liu, Y. H., Chen, J., Yu, S., Li, C. X. (2008). Numerical simulation of three-dimensional bulk forming processes by the element-free Galerkin method. International Journal of Advanced Manufacturing Technology, 36(5–6), 442–450. DOI 10.1007/s00170-006-0865-z. [Google Scholar] [CrossRef]
23. Zheng, G. D., Cheng, Y. M. (2020). The improved element-free Galerkin method for diffusional drug release problems. International Journal of Applied Mechanics, 12(8), 2050096. DOI 10.1142/S1758825120500969. [Google Scholar] [CrossRef]
24. Chen, L., Liu, C., Ma, H. P., Cheng, Y. M. (2014). An interpolating local Petrov–Galerkin method for potential problems. International Journal of Applied Mechanics, 6(1), 1450009. DOI 10.1142/S1758825114500094. [Google Scholar] [CrossRef]
25. Dai, B. D., Zheng, B. J., Liang, Q. X., Wang, L. H. (2013). Numerical solution of transient heat conduction problems using improved meshfree local Petrov-Galerkin method. Applied Mathematics and Computation, 219, 10044–10052. DOI 10.1016/j.amc.2013.04.024. [Google Scholar] [CrossRef]
26. Wu, Q., Peng, P. P., Cheng, Y. M. (2021). The interpolating element-free Galerkin method for elastic large deformation problems. Science China Technological Sciences, 64, 364–374. DOI 10.1007/s11431-019-1583-y. [Google Scholar] [CrossRef]
27. Liu, M. B., Xie, W. P., Liu, G. R. (2005). Modeling incompressible flows using a finite particle method. Applied Mathematical Modelling, 29, 1252–1270. DOI 10.1016/j.apm.2005.05.003. [Google Scholar] [CrossRef]
28. Chen, L., Cheng, Y. M., Ma, H. P. (2010). The complex variable reproducing kernel particle method for the analysis of Kirchhoff plates. Computational Mechanics, 55, 591–602. DOI 10.1007/s00466-015-1125-6. [Google Scholar] [CrossRef]
29. Liu, W. K., Jun, S., Li, S., Adee, J., Belytschko, T. (1995). Reproducing kernel particle methods for structural dynamics. International Journal of Numerical Methods for Engineering, 38, 1655–1679. DOI 10.1002/(ISSN)1097-0207. [Google Scholar] [CrossRef]
30. Liu, W. K., Li, S., Belytschko, T. (1997). Moving least square reproducing kernel method. (I) Methodology and convergence. Computer Methods in Applied Mechanics and Engineering, 143, 113–154. DOI 10.1016/S0045-7825(96)01132-2. [Google Scholar] [CrossRef]
31. Žilinskas, A. (2010). On similarities between two models of global optimization: Statistical models and radial basis functions. Journal of Global Optimization, 48, 173–182. DOI 10.1007/s10898-009-9517-9. [Google Scholar] [CrossRef]
32. Lin, S. B., Liu, X., Rong, Y. H., Xu, Z. B. (2014). Almost optimal estimates for approximation and learning by radial basis function networks. Machine Learning, 95, 147–164. DOI 10.1007/s10994-013-5406-z. [Google Scholar] [CrossRef]
33. Gao, H. F., Cheng, Y. M. (2010). A complex variable meshfree manifold method for fracture problems. International Journal of Computational Methods, 7(1), 55–81. DOI 10.1142/S0219876210002064. [Google Scholar] [CrossRef]
34. Huang, Z. Y., Yang, X. (2011). Tailored finite point method for first order wave equation. Journal of Scientific Computing, 49, 351–366. DOI 10.1007/s10915-011-9468-4. [Google Scholar] [CrossRef]
35. Tatari, M., Kamranian, M., Dehghan, M. (2011). The finite point method for the p-Laplace equation. Computational Mechanics, 48, 689–697. DOI 10.1007/s00466-011-0613-6. [Google Scholar] [CrossRef]
36. Cui, X. Y., Liu, G. R., Li, G. Y. (2011). A smoothed Hermite radial point interpolation method for thin plate analysis. Archive of Applied Mechanics, 81, 1–18. DOI 10.1007/s00419-009-0392-0. [Google Scholar] [CrossRef]
37. Liu, Y., Hon, Y. C., Liew, K. M. (2006). A meshfree Hermite-type radial point interpolation method for Kirchhoff plate problems. International Journal for Numerical Methods in Engineering, 66, 1153–1178. DOI 10.1002/(ISSN)1097-0207. [Google Scholar] [CrossRef]
38. Rocca, A. L., Power, H. (2006). A hermite radial basis function collocation approach for the numerical simulation of crystallization processes in a channel. Communications Numerical Methods Engineering, 22, 119–135. DOI 10.1002/cnm.801. [Google Scholar] [CrossRef]
39. Ma, J. C., Wei, G. F., Liu, D. D., Liu, G. T. (2017). The numerical analysis of piezoelectric ceramics based on the Hermite-type RPIM. Applied Mathematics and Computation, 309, 170–182. DOI 10.1016/j.amc.2017.03.045. [Google Scholar] [CrossRef]
40. Mantegh, I., Jenkin, M. R. M., Goldenberg, A. A. (2010). Path planning for autonomous mobile robots using the boundary integral equation method. Journal of Intelligent & Robotic Systems, 59, 191–220. DOI 10.1007/s10846-010-9394-y. [Google Scholar] [CrossRef]
41. Xie, G. Z., Zhang, J. M., Huan, C., Lu, C. J., Li, G. Y. (2014). A direct traction boundary integral equation method for three-dimension crack problems in infinite and finite domains. Computational Mechanics, 53, 575–586. DOI 10.1007/s00466-013-0918-8. [Google Scholar] [CrossRef]
42. Liu, Z., Wei, G. F., Wang, Z. M. (2020). Geometrically nonlinear analysis of functionally graded materials based on reproducing kernel particle method. International Journal of Mechanics and Materials in Design, 16, 487–502. DOI 10.1007/s10999-019-09484-8. [Google Scholar] [CrossRef]
43. Liu, Z., Wei, G. F., Wang, Z. M. (2019). Numerical analysis of functionally graded materials using reproducing Kernel particle method. International Journal of Applied Mechanics, 11(6), 1950060. DOI 10.1142/S1758825119500601. [Google Scholar] [CrossRef]
44. Qin, S. P., Wei, G. F., Liu, Z., Shen, X. H. (2021). Elastodynamic analysis of functionally graded beams and plates based on meshless RKPM. International Journal of Applied Mechanics, 13(4), 2150043. DOI 10.1142/S1758825121500435. [Google Scholar] [CrossRef]
45. Young, D. L., Chen, K. H., Lee, C. W. (2005). Novel meshless method for solving the potential problems with arbitrary domain. Journal of Computational Physics, 209, 290–321. DOI 10.1016/j.jcp.2005.03.007. [Google Scholar] [CrossRef]
46. Chen, T., Raju, I. S. (2003). A coupled finite element and meshless local Petrov-Galerkin method for two-dimensional potential problems. Computer Methods in Applied Mechanics and Engineering, 192, 4533–4550. DOI 10.1016/S0045-7825(03)00421-3. [Google Scholar] [CrossRef]
47. Deng, Y. J., Chao, L., Peng, M. J., Cheng, Y. M. (2015). The interpolating complex variable element-free Galerkin method for temperature field problems. International Journal of Applied Mechanics, 7(2), 1550017. DOI 10.1142/S1758825115500179. [Google Scholar] [CrossRef]
![]() | This work is licensed under a Creative Commons Attribution 4.0 International License, which permits unrestricted use, distribution, and reproduction in any medium, provided the original work is properly cited. |