![]() | Computer Modeling in Engineering & Sciences | ![]() |
DOI: 10.32604/cmes.2022.017539
ARTICLE
Flow and Melting Thermal Transfer Enhancement Analysis of Alumina, Titanium Oxide-Based Maxwell Nanofluid Flow Inside Double Rotating Disks with Finite-Element Simulation
1Chongqing Water Resources and Electric Engineering Collage, Chongqing, 402160, China
2Department of Mathematics, Government College Women University, Faisalabad, 38000, Pakistan
3Department of Mathematics, Government College University Faisalabad, Layyah Campus, Layyah, 31200, Pakistan
4Department of Mathematics, College of Sciences, King Khalid University, Abha, 61413, Saudi Arabia
5Department of Mathematics, Government College University, Faisalabad, 38000, Pakistan
*Corresponding Authors: Madeeha Tahir. Email: dr.madeeha.2017@gmail.com; Muhammad Imran Email: drmimranranchaudhry@gmail.com
Received: 19 May 2021; Accepted: 17 September 2021
Abstract: The energy produced by the melting stretching disks surface has a wide range of commercial applications, including semi-conductor material preparation, magma solidification, permafrost melting, and frozen land refreezing, among others. In view of this, in the current communication we analyzed magnetohydrodynamic flow of Maxwell nanofluid between two parallel rotating disks. Nanofluids are important due to their astonishing properties in heat conduction flows and in the enhancement of electronic and manufacturing devices. Furthermore, the distinct tiny-sized particles
Keywords: Maxwell nanofluid; melting phenomenon; thermal radiation; revolving stretching disks; finite element method (FEM)
| Nomenclature | |
| Magnetic field strength | |
| Nusselt number | |
| Pressure | |
| Dimensionless temperature | |
| Stretching parameter at upper disk | |
| Prandtl number | |
| Ambient temperature attained | |
| Radiative heat flux | |
| Fluid temperature | |
| Radiation parameter | |
| Skin friction coefficient | |
| Reynolds number | |
| Base fluid density | |
| Nanoparticle mass density | |
| dimensionless stream function | |
| Nanofluid heat capacitance | |
| Gravitational acceleration | |
| Nanofluid density | |
| Viscosity of fluid | |
| Stream function | |
| Coefficient of mean absorption | |
| Constant | |
| Electric conductivity | |
| Stephan-Boltzmann constant | |
| Thermal conductivity of nanoparticles | |
| Pressure parameter | |
| Magnetic parameter | |
| Shear stress | |
| Thermal diffusivity of base fluid | |
| Maxwell parameter | |
| Similarity variable | |
| Angular velocities | |
| Nanofluid thermal conductivity | |
| Different stretching rates | |
Advanced technologies realize the critical value of a unique type of energy transport fluids known as nanoliquid, because of the growing requirements of heat. The most significant aspect of the heat transfer system is the heat efficiency of the base fluid. Since non-metallic materials have poorer thermal efficiency than metallic substances. High thermal efficiency nanoparticles dispersed in regular fluids, which are typically made up of metals and oxides, greatly improve the heat proficiency of the host liquid. Therefore, metals are more useful to improving the thermal transfer rate. Choi and Eastman in (1995) coined the term “nanofluid” to describe the regular fluid that contained very tiny (1–100 nm) nanomaterials. Hayat et al. [1] reviewed the analysis of activation in Ree-Eyring nanofluid flow inside double disks. Qayyum et al. [2] scrutinized the entropy production inspirations on Williamson nanoliquid flow insides double rotating disks. Muhammad et al. [3] observed the slip impacts with activation energy across a three-dimensional sheet. Rafiq et al. [4] examined the numerical computations effects of nanofluid containing six different particles namely
The development of hybrid nanofluids, which are essentially an aqueous mixture of two or more forms of nanostructures in mixture or composite shape, is the next advancement in nanofluids technology. Hybrid nanofluids are being developed to solve the drawbacks of single suspension and to take benefit of nanoparticle synergy. Hybrid nanomaterials demonstrated that nanofluids have enhanced energy transfer and thermal conductivity, resulting in cost savings in commercial applications. There is little experimental, theoretical, and computational research on hybrid nanofluids. Li et al. [12] simulated the fractional study of hybrid nanoliquid flow across a spinning disk. Gul et al. [13] highlights the conical gap between cone and disk under hybrid nanofluid flow by adopting Homotopy analysis method. Waqas et al. [14] introduced the hybrid nanofluid flow over radiative disk. Shafee et al. [15] introduced the Entropy generation effects along NEPCM charging mechanics utilizing hybrid nanomaterials. Armaghani et al. [16] discussed the role of magnetized hybrid nanofluid flow through L-shape cavity. Shoaib et al. [17] explored the joule heating effects on magneto hybrid nanofluid over radiative rotating disk. The significance of magnetic dipole in hybrid nanofluid across stretchable surface is illustrated by Gul et al. [18]. Several evaluations have been discussed and presented in the literature, see for illustration [19,20].
Magnetohydrodynamics (MHD) is a class of physics that describes the magnetic properties of electrically interacting liquids. It usually influences thermal transport and manifests itself as Joule heating and Lorentz strength. MHD includes things like refrigerator cooling, saltwater, plasma, tumor therapy,
The concept of porous media is used in various fields of technology and applied science, including mechanics, filtration, petroleum engineering, construction engineering, hydrogeology, and biophysics. MHD
The thermal radiation behavior in thermal transfer has applications in a variety of thermal engineering fields, including hybrid power solar systems, rocket propulsion, nuclear reactors, rockets, aircraft, and communication technology. It is worth noting that linear radiation is adequate to produce thermal equipment and is widely used in several technological processes. Hayat et al. [27] analyzed the impacts of thermal radiation on
Melting heat has piqued the interest of scientists and researchers owing to its various uses in novel industrial processes. In recent times, scientists have concentrated their efforts on creating more long-term, reliable, and affordable energy storing technologies. Unintended thermal efficiency, solar energy and power are all examples of such technologies. Roberts [31] the first to depict the nature of melting thermal transfer in a hot air stream of ice surface. The behavior of melting impact with bioconvection in generalized second grade nanofluid configured by stretching surface is illustrated by Waqas et al. [32]. Hayat et al. [33] introduced the melting thermal transport in stagnation point flow of nanofluid with zero mass flux condition across a stretching surface. Ullah et al. [34] discussed the numerical solution of
As reviewed above, the non-Newtonian nature of nanofluid has vital applications. The key determination of this article is to scrutinize the MHD flow and melting heat transfer for a nanofluid model through a two parallel rotating disks. Novelty of the communication is firstly to scrutinize the axisymmetric flow of Maxwell-water based nanofluid with thermal radiation. Secondly the numerical solution of current problem is solved numerically by applied Finite element method. The numerical solutions are obtained and the role of physical factors on the subjective dimensionless profiles is scrutinized and reflected by graphs.
2.1 Mathematical and Physical Flow Description
Considerable the effect of steady incompressible, axisymmetric electromagnetic flow with heat transformation by using different particles based on Maxwell nanofluid between both revolving stretching disks at the distance h from upper to lower disks. The upper and lower disks have the distinct angular velocities denoted by

Figure 1: Physical configuration of flow issue
2.2 Dimensional Governing Boundary Flow Expressions
The governing flow equations are given bellow [36,37]:
With,
The melting condition is addressed as
Here the electrical conductivity represented by
where
Now by employing the Rosseland evaluation of radiative heat flux
Here consider that the heat transfers in the flow field are such that the expression
In above Eq. (8) eliminate the terms of multi order and outer the first degree in
Now putting Eq. (9) into Eq. (7) then we have,
2.3 Similarity Transformations
The stream function
The transformations are as follows:
After applying the similarity variables, we obtain the non-dimensional expressions are as follows:
With
2.5 Non-Dimensional Parameters
The dimension-less sundry parameters are given bellow:
Here the Eq. (13) differentiated w.r.t. to
Through Eqs. (13) and (17) the parameter
The above Eq. (15) integrated with respect to
The Physical industrial inters in which the coefficients of skin frictions
Here we take stress
The skin frictions coefficients in non-dimensional forms are
And the coefficients of Nusselt numbers in non-dimensional forms are
Here the total shear stress
3 Numerical Process: Finite Element Method (FEM)
Here, the nonlinear dimensionless ODE's (14)–(16) and (19) with specific boundary conditions (17) are tackled by utilizing the finite element method (FEM) or finite element analysis (FEA). These ODEs are highly nonlinear, so analytical techniques are not useful to solve these expressions. Therefore, the (FEM) is used to compute the solution of highly nonlinear system. The FEM is more effective than other technique.
3.1 Finite Element Technique (FET)
We get the exact solution through the finite element analysis the coupled nonlinearly ODE's structure (14)–(16) and (19) with specified boundary conditions (17) firstly we let
With
The variational method associated with the expressions (28)–(32) by typical linear component
Here
3.3 Finite-Element Description
Substitute finite element estimation of the form declared below; the finite element method may be attained from the abovementioned expressions:
By
For typical components
The structure of finite-element method for nonlinear governing equations is mentioned as:
Here

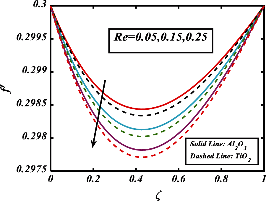
We used finite element method for tackling the nonlinear set of ODEs. Because fewer nodes are required in finite element, less memory is required to perform the full program, resulting in improved accuracy and, as a result, a shorter calculation time than FEM. Physical features like density, heat capacity, thermal conductivity and electrical conductivity of some particles and base liquid are given in Table 1. Characteristics for some physical properties of nanofluids are given in Table 2. For validation of code we compare current outcomes with the numerical outcomes found by Lance et al. [40], Turkyilmazoglu [41] and Kumar et al. [42] for the rotation parameter


Fig. 2 indicates the radial velocity profile

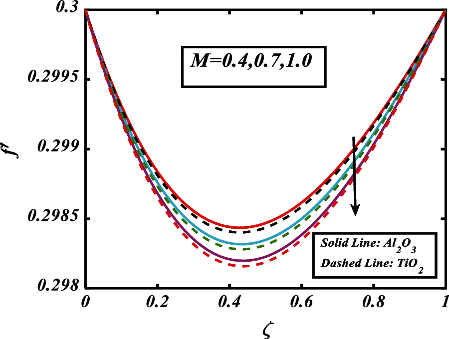
Figure 2: Importance of M via

Figure 3: Importance of

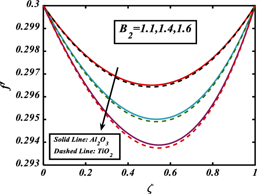
Figure 4: Importance of

Figure 5: Importance of

Figure 6: Importance of

Figure 7: Importance of

Figure 8: Importance of K via

Figure 9: Importance of

Figure 10: Importance of
The effect of thermal radiation parameter

Figure 11: Importance of

Figure 12: Importance of

Figure 13: Importance of

Figure 14: Importance of
The current study novelty is recent progress in melting heat transfer transportation of Maxwell
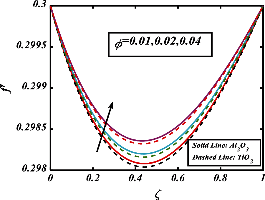
• An increase in radial velocity of single Maxwell water-based nanofluid is analyzed vs. an improvement in nanoparticles volume friction.
• Tlhe radial velocity of nanofluid is reducing function of larger magnitudes of the melting parameter.
• The fluid flow declines with fluid parameter.
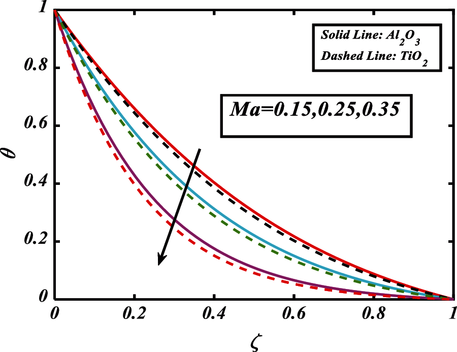
• The significant value of the tangential velocity is noticed via stretching parameter for upper disk.
• Temperature distribution raises for thermal radiation parameter.
• The thermal field of the fluid reduces as Prandtl number [44] increases.
• Larger solid volume friction decreases the temperature distribution.
Acknowledgement: This work was sponsored in part by National Natural Science Foundation of China (No. 51869031); and Science and Technology Research Program of Chongqing Municipal Education Commission (Grant No. KJQN201903801) and Huzhou Key Laboratory of Green Building Technology.
Funding Statement: This work is financially supported by the Government College University, Faisalabad and Higher Education Commission, Pakistan.
Conflicts of Interest: The authors declare that they have no conflicts of interest to report regarding the current analysis.
1. Hayat, T., Khan, S. A., Khan, M. I., Alsaedi, A. (2019). Theoretical investigation of Ree–Eyring nanofluid flow with entropy optimization and arrhenius activation energy between two rotating disks. Computer Methods and Programs in Biomedicine, 177, 57–68. DOI 10.1016/j.cmpb.2019.05.012. [Google Scholar] [CrossRef]
2. Qayyum, S., Khan, M. I., Hayat, T., Alsaedi, A., Tamoor, M. (2018). Entropy generation in dissipative flow of williamson fluid between two rotating disks. International Journal of Heat and Mass Transfer, 127, 933–942. DOI 10.1007/s11771-019-4082-y. [Google Scholar] [CrossRef]
3. Muhammad, T., Waqas, H., Khan, S. A., Ellahi, R., Sait, S. M. (2021). Significance of nonlinear thermal radiation in 3D Eyring–Powell nanofluid flow with arrhenius activation energy. Journal of Thermal Analysis and Calorimetry, 143(2), 929–944. DOI 10.1007/s10973-020-09459-4. [Google Scholar] [CrossRef]
4. Rafiq, T., Mustafa, M. (2020). Computational analysis of unsteady swirling flow around a decelerating rotating porous disk in nanofluid. Arabian Journal for Science and Engineering, 45(2), 1143–1154. DOI 10.1007/s13369-019-04257-z. [Google Scholar] [CrossRef]
5. Hassan, M., Marin, M., Ellahi, R., Alamri, S. Z. (2018). Exploration of convective heat transfer and flow characteristics synthesis by Cu–Ag/water hybrid-nanofluids. Heat Transfer Research, 49(18), 1837–1848. DOI 10.1615/heattransres.2018025569. [Google Scholar] [CrossRef]
6. Sheikholeslami, M., Ellahi, R. (2015). Electrohydrodynamic nanofluid hydrothermal treatment in an enclosure with sinusoidal upper wall. Applied Sciences, 5(3), 294–306. DOI 10.3390/app5030294. [Google Scholar] [CrossRef]
7. Shah, Z., Sheikholeslami, M., Kumam, P. (2020). Influence of nanoparticles inclusion into water on convective magneto hydrodynamic flow with heat transfer and entropy generation through permeable domain. Case Studies in Thermal Engineering, 21, 100732. DOI 10.1016/j.csite.2020.100732. [Google Scholar] [CrossRef]
8. Arefmanesh, A., Najafi, M., Nikfar, M. (2010). MLPG application of nanofluid flow mixed convection heat transfer in a wavy wall cavity. Computer Modeling in Engineering & Sciences, 69(2), 91–118. DOI 10.3970/cmes.2010.069.091. [Google Scholar] [CrossRef]
9. Ashraf, M. U., Qasim, M., Wakif, A., Afridi, M. I., Animasaun, I. L. (2020). A generalized differential quadrature algorithm for simulating magnetohydrodynamic peristaltic flow of blood-based nanofluid containing magnetite nanoparticles: A physiological application. Numerical Methods for Partial Differential Equations, 2020, 1–27. DOI 10.1002/num.22676. [Google Scholar] [CrossRef]
10. Ullah, M. Z., Muhammad, T., Mallawi, F. (2021). On model for Darcy–Forchheimer 3D nanofluid flow subject to heat flux boundary condition. Journal of Thermal Analysis and Calorimetry, 143(3), 2411–2418. DOI 10.1007/s10973-020-09892-5. [Google Scholar] [CrossRef]
11. Lu, L., Liu, L. H., Li, X. X. (2014). Investigation of squeezing unsteady nanofluid flow using the modified decomposition method. Computer Modeling in Engineering & Sciences, 101(1), 1–15. DOI 10.3970/cmes.2014.101.001. [Google Scholar] [CrossRef]
12. Li, Y. X., Muhammad, T., Bilal, M., Khan, M. A., Ahmadian, A. et al. (2021). Fractional simulation for darcy-forchheimer hybrid nanoliquid flow with partial slip over a spinning disk. Alexandria Engineering Journal, 60(5), 4787–4796. DOI 10.1016/j.aej.2021.03.062. [Google Scholar] [CrossRef]
13. Gul, T., Bilal, M., Alghamdi, W., Asjad, M. I., Abdeljawad, T. (2021). Hybrid nanofluid flow within the conical gap between the cone and the surface of a rotating disk. Scientific Reports, 11(1), 1–19. DOI 10.1038/s41598-020-80750-y. [Google Scholar] [CrossRef]
14. Waqas, H., Farooq, U., Naseem, R., Hussain, S., Alghamdi, M. (2021). Impact of MHD radiative flow of hybrid nanofluid over a rotating disk. Case Studies in Thermal Engineering, 26, 101015. DOI 10.1016/j.csite.2021.101015. [Google Scholar] [CrossRef]
15. Shafee, A., Jafaryar, M., Alghamdi, M., Tlili, I. (2020). Entropy generation for spiral heat exchanger with considering NEPCM charging process using hybrid nanomaterial. The European Physical Journal Plus, 135(3), 1–15. DOI 10.1140/epjp/s13360-020-00284-0. [Google Scholar] [CrossRef]
16. Armaghani, T., Sadeghi, M. S., Rashad, A. M., Mansour, M. A., Chamkha, A. J. et al. (2021). MHD mixed convection of localized heat source/sink in an Al2O3-cu/water hybrid nanofluid in L-shaped cavity. Alexandria Engineering Journal, 60(3), 2947–2962. DOI 10.1016/j.aej.2021.01.031. [Google Scholar] [CrossRef]
17. Shoaib, M., Raja, M. A. Z., Sabir, M. T., Awais, M., Islam, S. et al. (2021). Numerical analysis of 3-D MHD hybrid nanofluid over a rotational disk in presence of thermal radiation with joule heating and viscous dissipation effects using lobatto IIIA technique. Alexandria Engineering Journal, 60(4), 3605–3619. DOI 10.1016/j.aej.2021.02.015. [Google Scholar] [CrossRef]
18. Gul, T., Khan, A., Bilal, M., Alreshidi, N. A., Mukhtar, S. et al. (2020). Magnetic dipole impact on the hybrid nanofluid flow over an extending surface. Scientific Reports, 10(1), 1–13. DOI 10.1038/s41598-020-65298-1. [Google Scholar] [CrossRef]
19. Waini, I., Ishak, A., Groşan, T., Pop, I. (2020). Mixed convection of a hybrid nanofluid flow along a vertical surface embedded in a porous medium. International Communications in Heat and Mass Transfer, 114, 104565. DOI 10.1016/j.icheatmasstransfer.2020.104565. [Google Scholar] [CrossRef]
20. Ahmad, S., Nadeem, S., Khan, M. N. (2021). Enhanced transport properties and its theoretical analysis in two-phase hybrid nanofluid. Applied Nanoscience, 2021, 1–8. DOI 10.1007/s13204-020-01634-1. [Google Scholar] [CrossRef]
21. Reddy, P. S., Sreedevi, P., Chamkha, A. J. (2017). MHD boundary layer flow, heat and mass transfer analysis over a rotating disk through porous medium saturated by Cu-water and Ag-water nanofluid with chemical reaction. Powder Technology, 307, 46–55. DOI 10.1016/j.powtec.2016.11.017. [Google Scholar] [CrossRef]
22. Wakif, A., Boulahia, Z., Ali, F., Eid, M. R., Sehaqui, R. (2018). Numerical analysis of the unsteady natural convection MHD couette nanofluid flow in the presence of thermal radiation using single and two-phase nanofluid models for Cu–water nanofluids. International Journal of Applied and Computational Mathematics, 4(3), 1–27. DOI 10.1007/S40819-018-0513-Y. [Google Scholar] [CrossRef]
23. Mumraiz, S., Ali, A., Awais, M., Shutaywi, M., Shah, Z. (2021). Entropy generation in electrical magnetohydrodynamic flow of Al2O3–Cu/H2O hybrid nanofluid with non-uniform heat flux. Journal of Thermal Analysis and Calorimetry, 143(3), 2135–2148. DOI 10.1007/s10973-020-09603-0. [Google Scholar] [CrossRef]
24. Sheikholeslami, M. (2018). Cuo-water nanofluid flow due to magnetic field inside a porous media considering brownian motion. Journal of Molecular Liquids, 249, 921–929. DOI 10.1016/j.molliq.2017.11.118. [Google Scholar] [CrossRef]
25. Waqas, H., Shehzad, S. A., Khan, S. U., Imran, M. (2019). Novel numerical computations on flow of nanoparticles in porous rotating disk with multiple slip effects and microorganisms. Journal of Nanofluids, 8(7), 1423–1432. DOI 10.1166/jon.2019.1702. [Google Scholar] [CrossRef]
26. Riaz, A., Khan, S. U. D., Zeeshan, A., Khan, S. U., Hassan, M. et al. (2021). Thermal analysis of peristaltic flow of nanosized particles within a curved channel with second-order partial slip and porous medium. Journal of Thermal Analysis and Calorimetry, 143(3), 1997–2009. DOI 10.1007/s10973-020-09454-9. [Google Scholar] [CrossRef]
27. Hayat, T., Ijaz, M., Farooq, M., Alsaedi, A., Yasmeen, T. (2017). Impact of marangoni convection in the flow of carbon–water nanofluid with thermal radiation. International Journal of Heat and Mass Transfer, 106, 810–815. DOI 10.1016/j.ijheatmasstransfer.2016.08.115. [Google Scholar] [CrossRef]
28. Sheikholeslami, M., Shamlooei, M. (2017). Fe3O4–H2O nanofluid natural convection in presence of thermal radiation. International Journal of Hydrogen Energy, 42(9), 5708–5718. DOI 10.1016/j.ijhydene.2017.02.031. [Google Scholar] [CrossRef]
29. Li, Y., Hassan, W., Muhammad, I., Umar, F., Fouad, M. et al. (2020). A numerical exploration of modified second-grade nanofluid with motile microorganisms, thermal radiation, and Wu's slip. Symmetry, 12(3), 393. DOI 10.3390/sym12030393. [Google Scholar] [CrossRef]
30. Naqvi, S. M. R. S., Muhammad, T., Asma, M. (2020). Hydromagnetic flow of casson nanofluid over a porous stretching cylinder with newtonian heat and mass conditions. Physica A: Statistical Mechanics and its Applications, 550, 123988. DOI 10.1016/j.physa.2019.123988. [Google Scholar] [CrossRef]
31. Roberts, L. (1958). On the melting of a semi-infinite body of ice placed in a hot stream of air. Journal of Fluid Mechanics, 4(5), 505–528. DOI 10.1017/S002211205800063X. [Google Scholar] [CrossRef]
32. Waqas, H., Khan, S. A., Farooq, U., Khan, I., Alotaibi, H. et al. (2021). Melting phenomenon of non-linear radiative generalized second grade nanoliquid. Case Studies in Thermal Engineering, 26, 101011. DOI 10.1016/j.csite.2021.101011. [Google Scholar] [CrossRef]
33. Hayat, T., Shah, F., Alsaedi, A., Waqas, M. (2018). Numerical simulation for magneto nanofluid flow through a porous space with melting heat transfer. Microgravity Science and Technology, 30(3), 265–275. DOI 10.1007/s12217-018-9595-8. [Google Scholar] [CrossRef]
34. Ullah, I., Hayat, T., Alsaedi, A., Fardoun, H. M. (2021). Numerical treatment of melting heat transfer and entropy generation in stagnation point flow of hybrid nanomaterials (SWCNT-mWCNT/engine oil). Modern Physics Letters B, 35(6), 2150102. DOI 10.1142/S0217984921501025. [Google Scholar] [CrossRef]
35. Sharma, R. P., Acharya, N., Das, K. (2020). On the impact of variable thickness and melting transfer of heat on magnetohydrodynamics nanofluid flow past a slandering stretching sheet. Indian Journal of Geo-Marine Sciences, 49(4), 641–648. [Google Scholar]
36. Jyothi, K., Reddy, P. S., Reddy, M. S. (2018). Influence of magnetic field and thermal radiation on convective flow of SWCNTs-water and MWCNTs-water nanofluid between rotating stretchable disks with convective boundary conditions. Powder Technology, 331, 326–337. DOI 10.1016/j.powtec.2018.03.020. [Google Scholar] [CrossRef]
37. Reddy, P. S., Jyothi, K., Reddy, M. S. (2018). Flow and heat transfer analysis of carbon nanotubes-based Maxwell nanofluid flow driven by rotating stretchable disks with thermal radiation. Journal of the Brazilian Society of Mechanical Sciences and Engineering, 40(12), 1–16. DOI 10.1007/s40430-018-1494-9. [Google Scholar] [CrossRef]
38. Khan, M., Rasheed, A. (2021). Slip velocity and temperature jump effects on molybdenum disulfide MoS2 and silicon oxide SiO2 hybrid nanofluid near irregular 3D surface. Alexandria Engineering Journal, 60(1), 1689–1701. DOI 10.1016/j.aej.2020.11.019. [Google Scholar] [CrossRef]
39. Ahmed, J., Shahzad, A., Farooq, A., Kamran, M., Khan, S. U. D. et al. (2021). Thermal analysis in swirling flow of titanium dioxide–aluminum oxide water hybrid nanofluid over a rotating cylinder. Journal of Thermal Analysis and Calorimetry, 144(6), 2175–2185. DOI 10.1007/s10973-020-10190-3. [Google Scholar] [CrossRef]
40. Lance, G. N., Rogers, M. H. (1962). The axially symmetric flow of a viscous fluid between two infinite rotating disks. Proceedings of the Royal Society of London. Series A. Mathematical and Physical Sciences, 266(1324), 109–121. DOI 10.1098/rspa.1962.0050. [Google Scholar] [CrossRef]
41. Turkyilmazoglu, M. (2016). Flow and heat simultaneously induced by two stretchable rotating disks. Physics of Fluids, 28(4), 043601. DOI 10.1063/1.4945651. [Google Scholar] [CrossRef]
42. Kumar, R., Seth, G. S., Bhattacharyya, A. (2019). Entropy generation of von karman's radiative flow with Al2O3 and Cu nanoparticles between two coaxial rotating disks: A finite-element analysis. The European Physical Journal Plus, 134(12), 1–20. DOI 10.1140/epjp/i2019-13086-0. [Google Scholar] [CrossRef]
43. Ahmad, F., Waqas, H., Ayed, H., Hussain, S., Farooq, S. et al. (2021). Numerical treatment with lobatto-iIIa scheme magneto-thermo-natural convection flow of casson nanofluid (MoS2−Cu/SA) configured by a stretching cylinder in porous medium with multiple slips. Case Studies in Thermal Engineering, 26, 101132. DOI 10.1016/j.csite.2021.101132. [Google Scholar] [CrossRef]
44. Sreedevi, P., Reddy, P. S., Sheremet, M. (2020). A comparative study of Al2O3 and TiO2 nanofluid flow over a wedge with non-linear thermal radiation. International Journal of Numerical Methods for Heat & Fluid Flow, 30(3), 1291–1317. DOI 10.1108/HFF-05-2019-0434. [Google Scholar] [CrossRef]
We have
Putting all required values in Eq. (A1) we, have
Hence equation of continuity trivially satisfied.
![]() | This work is licensed under a Creative Commons Attribution 4.0 International License, which permits unrestricted use, distribution, and reproduction in any medium, provided the original work is properly cited. |