![]() | Computer Modeling in Engineering & Sciences | ![]() |
DOI: 10.32604/cmes.2021.014950
ARTICLE
Quadratic Finite Volume Element Schemes over Triangular Meshes for a Nonlinear Time-Fractional Rayleigh-Stokes Problem
1Graduate School of China Academy of Engineering Physics, Beijing, 100088, China
2School of Data and Computer Science, Sun Yat-Sen University, Guangzhou, 510275, China
3Institute of Applied Physics and Computational Mathematics, Beijing, 100088, China
*Corresponding Author: Jiming Wu. Email: wu_jiming@iapcm.ac.cn
Received: 11 November 2020; Accepted: 15 January 2021
Abstract: In this article, we study a 2D nonlinear time-fractional Rayleigh-Stokes problem, which has an anomalous sub-diffusion term, on triangular meshes by quadratic finite volume element schemes. Time-fractional derivative, defined by Caputo fractional derivative, is discretized through
Keywords: Quadratic finite volume element schemes; anomalous sub-diffusion term; L2 error estimate; quadratic finite element scheme
Recently, due to the widespread use of fractional partial differential equations (FPDEs), such as dispersion in a porous medium, statistical mechanics, mathematical biology and so on, numerical solution of FPDEs becomes one of the frontier fields in the research. Fractional partial differential equations can be roughly classified into three categories: Space FPDEs [1–10], time FPDEs [11–29] and space-time FPDEs [30–34]. Anomalous sub-diffusion equations, one type of time FPDEs, arise in some physical and biological processes. And the study of FPDEs with anomalous sub-diffusion terms, such as modified anomalous sub-diffusion equations [17,18], fractional Cable equations [11,16] or others, is also meaningful and popular. The problem considered in this article, which belongs to a nonlinear time-fractional Rayleigh-Stokes problem [19–22] applied in some non-Newtonian fluids, is a variant of the Stokes’ first problems and Rayleigh-Stokes problems [35–38], and it is important in physics and engineering.
At present, numerical simulation is an important and effective way to solve partial differential equations, and the relevant numerical methods can be finite difference methods [7,8,14–17], finite element methods (FEMs) [1,2,9,11–13,21,29,31–33,39], meshless methods [40,41], finite volume methods [3–6,42–54] and so on. Of course, the research for FPDEs by finite volume element methods (FVEMs) [10,23–28] has no exception for the local conservation and simple implementation. Sayevand et al. [23] presented a spatially semi-discrete piecewise linear FVEM for the time-fractional sub-diffusion problem and obtained some error estimates of the solution in both FEMs and FVEMs. A linear finite volume element scheme for the 2D time-fractional anomalous sub-diffusion equations was studied and analyzed by Karaa et al. [24], where the convergence rate was of order
There are some research about quadratic finite volume element methods for solving partial differential equations on triangular meshes. Tian et al. [42] presented quadratic element generalized differential methods to solve elliptic equations where two parameters of the quadratic element were
In this article, the quadratic finite volume element method is proposed to solve one class of FPDEs, that is, a 2D nonlinear time-fractional Rayleigh-Stokes problem with the time-fractional derivative defined by Caputo fractional derivative. In spatial direction, this problem is solved by a class of quadratic finite volume element schemes with two parameters
The outline of this paper is as follows. In Section 2, we describe in details the specific algorithm steps of the quadratic finite volume element schemes over triangular meshes, and finally obtain the fully discrete schemes. In Section 3, some numerical experiments are performed to investigate the performance of the quadratic finite volume element schemes. The numerical results are also compared with those of an existing quadratic finite element scheme. A brief conclusion ends this article in last section.
2 Quadratic Finite Volume Element Schemes
In this article, we construct a family of quadratic finite volume element schemes to solve the following 2D nonlinear time-fractional Rayleigh-Stokes problem:
where
For the numerical solution of Eqs. (1)–(3), the space domain

Figure 1: The primary mesh and dual mesh
In order to define the test function space, we need to construct a dual mesh associated with
while
where k is a periodic index with Period 3. Using the above notations, K can be further partitioned into six subcells, i.e., three quadrilaterals and three pentagons, see Fig. 2. Let

Figure 2: Partition of the triangular element K
In this part, we propose the following spatial discrete formulation of Eq. (1),
By the divergence theorem and the definition of Vh, we have,
where
For the computation of the terms in Eq. (7), we introduce the following affine mapping that transforms K onto
where

Figure 3: The reference element
where
Next we introduce the fully discrete schemes at time
Lemma 2.1. ([14], Lemma 2) Suppose
Lemma 2.2. ([11], Lemma 2) Assume that
Lemma 2.3. ([15], Lemma 2) Suppose
where
Based on Lemmas 2.1–2.3, we propose the following fully discrete schemes by the Eq. (9) at time
for n = 1,
for
where
Let the basis functions of the trial function space Uh be denoted as
for n = 1,
for
where
mass matrix
where
For the above finite volume element schemes, we emphasize that the nonlinear term is approximated by using the linearized difference scheme in Lemma 2.2, and none nonlinear iteration is involved. The whole algorithm is summarized below.

In this section, we use Eqs. (15)–(20) to solve four examples on uniform triangular mesh (Mesh I) and random triangular mesh (Mesh II), respectively, see Figs. 4, 5. The first level of Mesh II is constructed from Mesh I by the following random distortion of the interior vertices,
• First scheme (QFVE-1):
• Second scheme (QFVE-2):
• Third scheme (QFVE-3):
• Fourth scheme (QFVE-4):

Figure 4: Uniform triangular mesh (Mesh I)

Figure 5: Random triangular mesh (Mesh II)
We remark that the counterparts of the above schemes for elliptic problems have been studied in [42,43,46,47], respectively. The L2 errors Eu and convergence orders
Solve Eqs. (1)–(3) with the nonlinear term f(u) = u2 and the source term

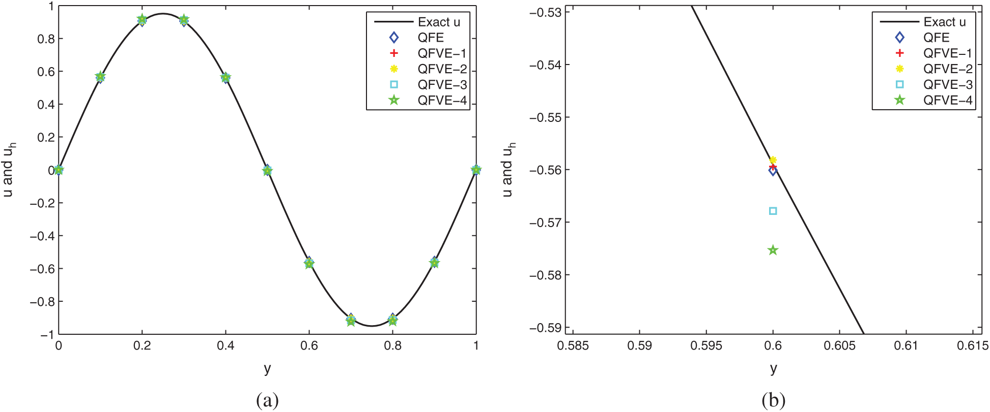
Figure 6: Comparison of the numerical solutions and the exact solution for Example 1 on Mesh I. (a) A full profile; (b) A local enlarged profile
Table 1: Error results and spatial convergence orders with

Table 2: Error results and spatial convergence orders with


Figure 7: L2 errors of the numerical solution on Mesh I in Example 1. (a)

Figure 8: L2 errors of the numerical solution on Mesh II in Example 1. (a)
Table 3: Error results and temporal convergence orders with h = 1/160 on Mesh I in Example 1

Table 4: Error results and temporal convergence orders with h = 1/160 on Mesh II in Example 1

Solve Eqs. (1)–(3) with
Table 5: Error results and spatial convergence orders with

Table 6: Error results and spatial convergence orders with


Figure 9: L2 errors of the numerical solution on Mesh II in Example 2. (a) QFE; (b) QFVE-1; (c) QFVE-2; (d) QFVE-3; (e) QFVE-4

Figure 10: Contour plots of |u − uh| on Mesh I in Example 3. (a) QFE; (b) QFVE-1; (c) QFVE-2; (d) QFVE-3; (e) QFVE-4
Table 7: Numerical results with

Table 8: Numerical results with

Table 9: Numerical results with

The exact solution to this example is:
Analogously, we calculate the L2 errors and spatial convergence orders for several kinds of quadratic finite volume element schemes and quadratic finite element scheme, see Tabs. 5, 6. The convergence behavior is similar to that for Example 1. Moreover, when
We take the space-time domain
In numerical calculation of this example, we use
In the last example, we choose the nonlinear term f(u) = u3 − u and the source term g(x, t) = 0 with initial condition
In this article, we study a nonlinear time-fractional Rayleigh-Stokes problem by using the quadratic finite volume element method combined with a specific time discretization. In temporal direction, we use a two step scheme to approximate the equation at time
Acknowledgement: The authors would like to thank the editor and the anonymous reviewers for their valuable suggestions.
Funding Statement: This work was partially supported by the National Natural Science Foundation of China (No. 11871009).
Conflicts of Interest: The authors declare that they have no conflicts of interest to report regarding the present study.
1. Ma, J. T., Liu, J. Q., Zhou, Z. Q. (2014). Convergence analysis of moving finite element methods for space fractional differential equations. Journal of Computational and Applied Mathematics, 255(285), 661–670. DOI 10.1016/j.cam.2013.06.021. [Google Scholar] [CrossRef]
2. Bu, W. P., Tang, Y. F., Yang, J. Y. (2014). Galerkin finite element method for two-dimensional Riesz space fractional diffusion equations. Journal of Computational Physics, 276, 26–38. DOI 10.1016/j.jcp.2014.07.023. [Google Scholar] [CrossRef]
3. Wang, H., Du, N. (2013). A superfast-preconditioned iterative method for steady-state space-fractional diffusion equations. Journal of Computational Physics, 240(E), 49–57. DOI 10.1016/j.jcp.2012.07.045. [Google Scholar] [CrossRef]
4. Liu, F., Zhuang, P., Turner, I., Burrage, K., Anh, V. (2014). A new fractional finite volume method for solving the fractional diffusion equation. Applied Mathematical Modelling, 38(15–16), 3871–3878. DOI 10.1016/j.apm.2013.10.007. [Google Scholar] [CrossRef]
5. Feng, L. B., Zhuang, P., Liu, F., Turner, I. (2015). Stability and convergence of a new finite volume method for a two-sided space-fractional diffusion equation. Applied Mathematics and Computation, 257(1), 52–65. DOI 10.1016/j.amc.2014.12.060. [Google Scholar] [CrossRef]
6. Pan, J. Y., Ng, M. K., Wang, H. (2016). Fast iterative solvers for linear systems arising from time-dependent space-fractional diffusion equations. SIAM Journal on Scientific Computing, 38(5), 2806–2826. DOI 10.1137/15M1030273. [Google Scholar] [CrossRef]
7. Li, C., Zhao, S. (2016). Efficient numerical schemes for fractional water wave models. Computers & Mathematics with Applications, 71(1), 238–254. DOI 10.1016/j.camwa.2015.11.018. [Google Scholar] [CrossRef]
8. Cheng, X. J., Duan, J. Q., Li, D. F. (2019). A novel compact ADI scheme for two-dimensional Riesz space fractional nonlinear reaction-diffusion equations. Applied Mathematics and Computation, 346(6), 452–464. DOI 10.1016/j.amc.2018.10.065. [Google Scholar] [CrossRef]
9. Yin, B. L., Liu, Y., Li, H., He, S. (2019). Fast algorithm based on TT-M FE system for space fractional Allen-Cahn equations with smooth and non-smooth solutions. Journal of Computational Physics, 379(1), 351–372. DOI 10.1016/j.jcp.2018.12.004. [Google Scholar] [CrossRef]
10. Yazdani, A., Mojahed, N., Babaei, A., Cendon, E. V. (2020). Using finite volume-element method for solving space fractional advection-dispersion equation. Progress in Fractional Differentiation and Applications, 6(1), 55–66. DOI 10.18576/pfda/060106. [Google Scholar] [CrossRef]
11. Wang, Y. J., Liu, Y., Li, H., Wang, J. F. (2016). Finite element method combined with second-order time discrete scheme for nonlinear fractional Cable equation. European Physical Journal Plus, 131(61), 1–16. DOI 10.1140/epjp/i2016–16061-3. [Google Scholar] [CrossRef]
12. Liu, Y., Yu, Z. D., Li, H., Liu, F. W., Wang, J. F. (2018). Time two-mesh algorithm combined with finite element method for time fractional water wave model. International Journal of Heat and Mass Transfer, 120(1), 1132–1145. DOI 10.1016/j.ijheatmasstransfer.2017.12.118. [Google Scholar] [CrossRef]
13. Yin, B. L., Liu, Y., Li, H. (2020). A class of shifted high-order numerical methods for the fractional mobile/immobile transport equations. Applied Mathematics and Computation, 368(3), 124799. DOI 10.1016/j.amc.2019.124799. [Google Scholar] [CrossRef]
14. Gao, G. H., Sun, H. W., Sun, Z. Z. (2015). Stability and convergence of finite difference schemes for a class of time-fractional sub-diffusion equations based on certain superconvergence. Journal of Computational Physics, 280, 510–528. DOI 10.1016/j.jcp.2014.09.033. [Google Scholar] [CrossRef]
15. Alikhanov, A. A. (2015). A new difference scheme for the time fractional diffusion equation. Journal of Computational Physics, 280(1), 424–438. DOI 10.1016/j.jcp.2014.09.031. [Google Scholar] [CrossRef]
16. Lin, Y. M., Li, X. J., Xu, C. J. (2011). Finite difference/spectral approximations for the fractional Cable equation. Mathematics of Computation, 80(275), 1369–1396. DOI 10.1090/S0025-5718-2010-02438-X. [Google Scholar] [CrossRef]
17. Liu, F., Yang, C., Burrage, K. (2009). Numerical method and analytical technique of the modified anomalous subdiffusion equation with a nonlinear source term. Journal of Computational and Applied Mathematics, 231(1), 160–176. DOI 10.1016/j.cam.2009.02.013. [Google Scholar] [CrossRef]
18. Cao, X. N., Cao, X. X., Wen, L. P. (2016). The implicit midpoint method for the modified anomalous sub-diffusion equation with a nonlinear source term. Journal of Computational and Applied Mathematics, 318, 199–210. DOI 10.1016/j.cam.2016.10.014. [Google Scholar] [CrossRef]
19. Tuan, N. H., Zhou, Y., Thach, T. N., Can, N. H. (2019). Initial inverse problem for the nonlinear fractional Rayleigh-Stokes equation with random discrete data. Communications in Nonlinear Science and Numerical Simulation, 78(5), 104873. DOI 10.1016/j.cnsns.2019.104873. [Google Scholar] [CrossRef]
20. Zhou, Y., Wang, J. N. (2019). The nonlinear Rayleigh-Stokes problem with Riemann–Liouville fractional derivative. Mathematical Methods in the Applied Sciences, 1–8(3), 2431–2438. DOI 10.1002/mma.5926. [Google Scholar] [CrossRef]
21. Guan, Z., Wang, X. D., Ouyang, J. (2020). An improved finite difference/finite element method for the fractional Rayleigh-Stokes problem with a nonlinear source term. Journal of Applied Mathematics and Computing, 65, 1–29. DOI 10.1007/s12190-020-01399-4. [Google Scholar] [CrossRef]
22. Bao, N. T., Hoang, L. N., van, A. V., Nguyen, H. T., Zhou, Y. (2020). Existence and regularity of inverse problem for the nonlinear fractional Rayleigh-Stokes equations. Mathematical Methods in the Applied Sciences, 44(1), 1–27. DOI 10.1002/mma.6162. [Google Scholar] [CrossRef]
23. Sayevand, K., Arjang, F. (2016). Finite volume element method and its stability analysis for analyzing the behavior of sub-diffusion problems. Applied Mathematics and Computation, 290(2), 224–239. DOI 10.1016/j.amc.2016.06.008. [Google Scholar] [CrossRef]
24. Karaa, S., Mustapha, K., Pani, A. K. (2016). Finite volume element method for two-dimensional fractional subdiffusion problems. IMA Journal of Numerical Analysis, 37, 945–964. DOI 10.1093/imanum/drw010. [Google Scholar] [CrossRef]
25. Karaa, S., Pani, A. K. (2018). Error analysis of a finite volume element method for fractional order evolution equations with nonsmooth initial data. ESAIM Mathematical Modelling and Numerical Analysis, 52(2), 773–801. DOI 10.1051/m2an/2018029. [Google Scholar] [CrossRef]
26. Badr, M., Yazdani, A., Jafari, H. (2018). Stability of a finite volume element method for the time-fractional advection-diffusion equation. Numerical Methods for Partial Differential Equations, 34(5), 1459–1471. DOI 10.1002/num.22243. [Google Scholar] [CrossRef]
27. Zhao, J., Li, H., Fang, Z. C., Liu, Y. (2019). A mixed finite volume element method for time-fractional reaction-diffusion equations on triangular grids. Mathematics, 7(7), 600. DOI 10.3390/math7070600. [Google Scholar] [CrossRef]
28. Zhao, J., Fang, Z. C., Li, H., Liu, Y. (2020). Finite volume element method with the WSGD formula for nonlinear fractional mobile/immobile transport equations. Advances in Difference Equations, 360, 1–20. DOI 10.1186/s13662–020-02786-8. [Google Scholar] [CrossRef]
29. Zhang, Y. L., Yin, B. L., Cao, Y., Liu, Y., Li, H. (2020). A numerical algorithm based on quadratic finite element for two-dimensional nonlinear time fractional thermal diffusion model. Computer Modeling in Engineering & Sciences, 122(3), 1081–1098. DOI 10.32604/cmes.2020.07822. [Google Scholar] [CrossRef]
30. Wu, G. C. (2011). A fractional characteristic method for solving fractional partial differential equations. Applied Mathematics Letters, 24(7), 1046–1050. DOI 10.1016/j.aml.2011.01.020. [Google Scholar] [CrossRef]
31. Li, C. P., Zhao, Z. G., Chen, Y. Q. (2011). Numerical approximation of nonlinear fractional differential equations with subdiffusion and superdiffusion. Computers & Mathematics with Applications, 62(3), 855–875. DOI 10.1016/j.camwa.2011.02.045. [Google Scholar] [CrossRef]
32. Feng, L. B., Zhuang, P., Liu, F., Turner, I., Gu, Y. T. (2015). Finite element method for space-time fractional diffusion equation. Numerical Algorithms, 72(3), 749–767. DOI 10.1007/s11075-015-0065-8. [Google Scholar] [CrossRef]
33. Fan, W. P., Liu, F. W., Jiang, X. Y., Turner, I. (2017). A novel unstructured mesh finite element method for solving the time-space fractional wave equation on a two-dimensional irregular convex domain. Fractional Calculus and Applied Analysis, 20(2), 352–383. DOI 10.1515/fca-2017-0019. [Google Scholar] [CrossRef]
34. Zhang, H., Jiang, X. Y., Yang, X. (2018). A time-space spectral method for the time-space fractional Fokker–Planck equation and its inverse problem. Applied Mathematics and Computation, 320(1), 302–318. DOI 10.1016/j.amc.2017.09.040. [Google Scholar] [CrossRef]
35. Fetecau, C., Zierep, J. (2001). On a class of exact solutions of the equations of motion of a second grade fluid. Acta Mechanica, 150(1–2), 135–138. DOI 10.1007/BF01178551. [Google Scholar] [CrossRef]
36. Tan, W. C., Masuoka, T. (2005). Stokes’ first problem for a second grade fluid in a porous half-space with heated boundary. International Journal of Non-Linear Mechanics, 40(4), 515–522. DOI 10.1016/j.ijnonlinmec.2004.07.016. [Google Scholar] [CrossRef]
37. Shen, F., Tan, W. C., Zhao, Y. H., Masuoka, T. (2006). The Rayleigh-Stokes problem for a heated generalized second grade fluid with fractional derivative model. Nonlinear Analysis: Real World Applications, 7(5), 1072–1080. DOI 10.1016/j.nonrwa.2005.09.007. [Google Scholar] [CrossRef]
38. Zierep, J., Fetecau, C. (2007). Energetic balance for the Rayleigh-Stokes problem of a Maxwell fluid. International Journal of Engineering Science, 45(2), 617–627. DOI 10.1016/j.ijengsci.2007.04.015. [Google Scholar] [CrossRef]
39. Parvizi, M., Khodadadian, A., Eslahchi, M. (2020). Analysis of Ciarlet-Raviart mixed finite element methods for solving damped Boussinesq equation. Journal of Computational and Applied Mathematics, 379(1), 112818. DOI 10.1016/j.cam.2020.112818. [Google Scholar] [CrossRef]
40. Abbaszadeh, M., Dehghan, M., Khodadadian, A., Heitzinger, C. (2019). Analysis and application of the interpolating element free Galerkin (IEFG) method to simulate the prevention of groundwater contamination with application in fluid flow. Journal of Computational and Applied Mathematics, 368(155), 112453. DOI 10.1016/j.cam.2019.112453. [Google Scholar] [CrossRef]
41. Abbaszadeh, M., Dehghan, M., Khodadadian, A., Noii, N., Heitzinger, C. et al. (2020). A reduced-order variational multiscale interpolating element free Galerkin technique based on proper orthogonal decomposition for solving Navier–Stokes equations coupled with a heat transfer equation: Nonstationary incompressible Boussinesq equations. Journal of Computational Physics, 426(2), 109875. DOI 10.1016/j.jcp.2020.109875. [Google Scholar] [CrossRef]
42. Tian, M. Z., Chen, Z. Y. (1991). Quadratic element generalized differential methods for elliptic equations. Numerical Mathematics a Journal of Chinese Universities, 13, 99–113. DOI http://dx.doi.org/CNKI: SUN: GDSX.0.1991-02-000. [Google Scholar]
43. Liebau, F. (1996). The finite volume element method with quadratic basis functions. Computing, 57(4), 281–299. DOI 10.1007/BF02252250. [Google Scholar] [CrossRef]
44. Xu, J. C., Zou, Q. S. (2009). Analysis of linear and quadratic simplicial finite volume methods for elliptic equations. Numerische Mathematik, 111(3), 469–492. DOI 10.1007/s00211-008-0189-z. [Google Scholar] [CrossRef]
45. Chen, Z. Y., Wu, J. F., Xu, Y. S. (2012). Higher-order finite volume methods for elliptic boundary value problems. Advances in Computational Mathematics, 37(2), 191–253. DOI 10.1007/s10444-011-9201-8. [Google Scholar] [CrossRef]
46. Wang, X., Li, Y. H. (2016). L2 error estimates for high order finite volume methods on triangular meshes. SIAM Journal on Numerical Analysis, 54(5), 2729–2749. DOI 10.1137/140988486. [Google Scholar] [CrossRef]
47. Zou, Q. S. (2017). An unconditionally stable quadratic finite volume scheme over triangular meshes for elliptic equations. Journal of Scientific Computing, 70(1), 112–124. DOI 10.1007/s10915-016-0244-3. [Google Scholar] [CrossRef]
48. Zhou, Y. H., Wu, J. M. (2020). A family of quadratic finite volume element schemes over triangular meshes for elliptic equations. Computers & Mathematics with Applications, 79(9), 2473–2491. DOI 10.1016/j.camwa.2019.11.017. [Google Scholar] [CrossRef]
49. Zhou, Y. H., Wu, J. M. (2020). A unified analysis of a class of quadratic finite volume element schemes on triangular meshes. Advances in Computational Mathematics, 46(5), 777. DOI 10.1007/s10444-020-09809-8. [Google Scholar] [CrossRef]
50. Wang, P., Zhang, Z. Y. (2010). Quadratic finite volume element method for the air pollution model. International Journal of Computer Mathematics, 87(13), 2925–2944. DOI 10.1080/00207160802680663. [Google Scholar] [CrossRef]
51. Jin, G. H., Li, H. G., Zhang, Q. H., Zou, Q. S. (2016). Linear and quadratic finite volume methods on triangular meshes for elliptic equations with singular solutions. International Journal of Numerical Analysis and Modeling, 13(2), 244–264. [Google Scholar]
52. Xiong, Z. G., Deng, K. (2017). A quadratic triangular finite volume element method for a semilinear elliptic equation. Advances in Applied Mathematics and Mechanics, 9(1), 186–204. DOI 10.4208/aamm.2014.m63. [Google Scholar] [CrossRef]
53. Du, Y. W., Li, Y. H., Sheng, Z. Q. (2019). Quadratic finite volume method for a nonlinear elliptic problem. Advances in Applied Mathematics and Mechanics, 11(4), 838–869. DOI 10.4208/aamm.OA-2017-0231. [Google Scholar] [CrossRef]
54. Zhou, Y. H. (2020). A class of bubble enriched quadratic finite volume element schemes on triangular meshes. International Journal of Numerical Analysis and Modeling, 17(6), 872–899. [Google Scholar]
![]() | This work is licensed under a Creative Commons Attribution 4.0 International License, which permits unrestricted use, distribution, and reproduction in any medium, provided the original work is properly cited. |